分享:
分享到微信朋友圈
X
临床研究
磁共振弥散张量成像评估孤独症儿童胼胝体发育状况的价值研究
李予欣 马丙祥 党伟利 周荣易 崔洁琼 贺俊景

Cite this article as: LI Y X, MA B X, DANG W L, et al. Value of diffusion tensor magnetic resonance imaging in assessing corpus callosum development in children with autism[J]. Chin J Magn Reson Imaging, 2025, 16(9): 1-7.本文引用格式:李予欣, 马丙祥, 党伟利, 等. 磁共振弥散张量成像评估孤独症儿童胼胝体发育状况的价值研究[J]. 磁共振成像, 2025, 16(9): 1-7. DOI:10.12015/issn.1674-8034.2025.09.001.


[摘要] 目的 通过分析1~12岁孤独症谱系障碍(autism spectrum disorder, ASD)儿童胼胝体(corpus callosum, CC)亚区影像学特征,总结ASD儿童CC各亚区的结构改变及其动态演变规律。材料与方法 回顾性收集2021年6月至2023年12月于河南中医药大学第一附属医院儿童脑病诊疗康复中心首次就诊且诊断为ASD的153名儿童的资料,按照其就诊年龄分为3组,分别为1~3岁组(47名,男36名,女11名)、3~6岁组(89名,男70名,女19名)和6~12岁组(17名,男14名,女3名)。然后进行头颅磁共振成像(magnetic resonance imaging, MRI)和弥散张量成像(diffusion tensor imaging, DTI)图像采集,采用DTI相关后处理软件,测量CC嘴部、膝部、体部、压部各向异性分数(fractional anisotropy, FA)、表观弥散系数(apparent diffusion coefficient, ADC),并比较ASD儿童在性别、各年龄段、CC各亚区间DTI参数的差异。结果 各年龄段FA值、ADC值不同性别间差异无统计学意义(P>0.05)。随着年龄增长,ASD儿童FA值逐渐增高,ADC值逐渐降低。CC亚区DTI参数与年龄的相关性分析发现:除CC嘴部(r=-0.064,P=0.433;r=-0.029,P=0.727),CC膝部、体部、压部FA值与年龄存在正相关(r=0.335,P=0.001;r=0.350,P=0.001;r=0.264,P=0.001),ADC值与年龄呈负相关(r=-0.466,P=0.001;r=-0.458,P=0.001;r=-0.482,P=0.001)。年龄组间DTI参数比较发现,CC嘴部参数在各年龄组间差异无统计学意义(P>0.05);CC膝部、体部、压部参数:1~3岁组与3~6岁组、1~3岁组与6~12岁组间差异有统计学意义(P<0.05);CC各亚区FA值、膝部及压部ADC值在3~6岁组与6~12岁组间差异无统计学意义(P>0.05)。各脑区间参数情况:FA值在CC压部、膝部、体部、嘴部依次降低;而ADC值在CC膝部、压部、体部、嘴部依次增高。年龄特异性差异分析发现,仅1~3岁组CC各亚区间FA值、ADC值差异有统计学意义(P<0.05);3~6岁组及6~12岁组部分脑区间差异无统计学意义(P>0.05)。结论 DTI可系统分析ASD儿童CC各亚区的结构改变及其动态演变规律,为ASD临床诊疗及探索ASD病理机制提供更客观、全面的神经影像学依据。
[Abstract] Objective By analyzing neuroimaging features of corpus callosum (CC) subregions in children aged 1 to 12 years with autism spectrum disorder (ASD), this study summarizes structural alterations and dynamic developmental trajectories of CC subregions in ASD children.Materials and Methods Retrospective data from 153 children diagnosed with ASD at their first visit of the Children's Brain Disease Diagnosis and Rehabilitation Center at the First Affiliated Hospital of Henan University of Chinese Medicine between June 2021 and December 2023 were collected. The children were divided into three groups based on their age at visit: the 1 to 3 years group (47 cases, 36 males, 11 females), the 3 to 6 years group (89 cases, 70 males, 19 females), and the 6 to 12 years group (17 cases, 14 males, 3 females). Subsequently, cranial magnetic resonance imaging (MRI) and diffusion tensor imaging (DTI) scans were performed. Using DTI-related post-processing software, the fractional anisotropy (FA) and apparent diffusion coefficient (ADC) were measured in the rostrum, genu, body, and splenium of the CC. The differences in DTI parameters were compared among ASD children by gender, age groups, and CC subregions.Results No significant differences were observed in FA and ADC values between different genders across all age groups (P > 0.05). With increasing age, FA values gradually increased and ADC values gradually decreased in children with ASD. Correlation analysis of DTI parameters in the CC subregions with age revealed that: except for the rostrum of CC (r = -0.064, P = 0.433; r = -0.029, P = 0.727), FA values in the genu, body, and splenium of CC showed positive correlations with age (r = 0.335, P = 0.001; r = 0.350, P = 0.001; r = 0.264, P = 0.001), while ADC values showed negative correlations with age (r = -0.466, P= 0.001; r = -0.458, P = 0.001; r = -0.482, P = 0.001). Age-related differences in DTI parameters: the rostrum parameters of the CC showed no statistically significant differences among age groups (P > 0.05). For the genu, body, and splenium of the CC: statistically significant differences existed between the 1 to 3 years group and the 3 to 6 years group, as well as between the 1 to 3 years group and the 6 to 12 years group (P < 0.05). FA values in all CC subregions, along with ADC values in the genu and splenium, showed no statistically significant differences between the 3 to 6 years group and the 6 to 12 years group (P > 0.05). Analysis of DTI parameters in subregions of the CC in children with ASD revealed that FA values decreased sequentially in the splenium, genu, body, and rostrum of the CC, while ADC values increased sequentially in the genu, splenium, body, and rostrum of the CC. Regarding age-specific differences: Only the 1 to 3 years group showed statistically significant differences (P < 0.05) in FA and ADC values across all CC subregions. In the 3 to 6 years and 6 to 12 years groups, differences in some brain regions were not statistically significant (P > 0.05).Conclusions DTI can systematically analyze structural alterations and dynamic evolution patterns in subregions of the CC in children with ASD, providing more objective and comprehensive neuroimaging evidence for clinical diagnosis and exploration of ASD pathological mechanisms.
[关键词] 孤独症谱系障碍;磁共振成像;弥散张量成像;胼胝体;儿童发育
[Keywords] autism spectrum disorder;magnetic resonance imaging;diffusion tensor imaging;corpus callosum;child development

李予欣 1, 2   马丙祥 1, 2*   党伟利 1   周荣易 1   崔洁琼 1   贺俊景 3  

1 河南中医药大学第一附属医院儿科,郑州 450046

2 河南中医药大学儿科医学院,郑州 450046

3 河南中医药大学第一附属医院磁共振科,郑州 450046

通信作者:马丙祥,E-mail: mbx1963@126.com

作者贡献声明::马丙祥设计本研究的方案,对稿件重要内容进行了修改,获得了国家自然科学基金项目、河南省中医药科学研究专项课题的资助;李予欣起草和撰写稿件,设计本研究的方案,获取、分析并解释本研究的数据,对稿件重要内容进行了修改;党伟利、贺俊景、周荣易、崔洁琼设计本研究的方案,获取、分析并解释本研究的数据,对稿件重要内容进行了修改,其中党伟利获得河南省中医药科学研究专项课题的资助;全体作者都同意最后的修改稿,同意对本研究的所有方面负责,确保本研究的准确性和诚信。


基金项目: 国家自然科学基金项目 81973904 河南省中医药科学研究专项课题 20-21ZY2111 河南省特色骨干学科中医学第二批学科建设项目 STG-ZYX03-202129
收稿日期:2024-12-16
接受日期:2025-08-28
中图分类号:R445.2  R322.81 
文献标识码:A
DOI: 10.12015/issn.1674-8034.2025.09.001
本文引用格式:李予欣, 马丙祥, 党伟利, 等. 磁共振弥散张量成像评估孤独症儿童胼胝体发育状况的价值研究[J]. 磁共振成像, 2025, 16(9): 1-7. DOI:10.12015/issn.1674-8034.2025.09.001.

0 引言

       孤独症谱系障碍(autism spectrum disorder, ASD)是一种神经发育障碍性疾病[1]。近年来ASD发病率逐年递增[2, 3],ASD高致残率对其家庭和社会造成严重的影响。目前ASD发病机制尚未明确[4],积极探讨ASD发病机制对寻求高特异性评估方法、实现早期诊断具有重要意义。

       磁共振成像(magnetic resonance imaging, MRI)技术是探讨ASD病因和发病机制的重要方法。ASD患者存在脑白质异常、髓鞘发育异常、轴突结构异常[5, 6, 7]。胼胝体(corpus callosum, CC)是连接两个大脑半球同源结构的最大白质通路[8],是ASD儿童与典型发育儿童脑白质及髓鞘发育差异最显著区域[9, 10]。研究表明,约1/3 CC发育不全患者存在ASD表现[11],且CC微观结构改变与ASD严重程度密切相关[12, 13]。但目前尚无对于各年龄段ASD患儿的CC各亚区发育特征研究[14],亟需进行相关研究进行补充。

       弥散张量成像(diffusion tensor imaging, DTI)是一种无创的影像学检测工具,其参数可定量描述脑白质纤维束完整性及脑发育情况,在ASD诊疗中具有较高的敏感性和特异性,有助于ASD与其他神经发育障碍性疾病进行鉴别诊断[15, 16, 17]。青春期前是儿童大脑发育关键时期,突触修剪与髓鞘化的高峰期,此阶段前额叶皮层和CC髓鞘化加速,干预可优化神经网络结构,提升信息传递速度与认知控制能力[18];此阶段前额叶结构性重组,白质完整性增强,发育异常将导致青春期执行功能障碍[19];青春期前大脑具有高可塑性,该时期环境干预可显著改变神经发育轨迹,促进髓鞘形成,提升学习效率,减少情绪障碍风险[20]

       既往研究主要对特定年龄段CC体积或CC前后分区进行研究[21],目前尚无纵向研究描绘1~12岁ASD儿童CC各亚区的FA、ADC值。本研究通过标准化分区、纵向追踪等设计,采用基于DTI的感兴趣区(region of interest, ROI)分析方法,评估1~12岁ASD儿童CC各亚区影像学特征,分析DTI参数在不同性别、年龄及CC各亚区发育情况,探究CC在ASD的诊疗价值,为ASD的病理机制提供更客观、全面的神经影像学依据。

1 材料与方法

1.1 研究对象

       本研究遵守《赫尔辛基宣言》,经河南中医药大学第一附属医院医学伦理委员会批准(批准文号:2021HL-108),免除受试者知情同意。

       本研究回顾性收集2021年6月至2023年12月首次于河南中医药大学第一附属医院儿科三区诊断为ASD的儿童资料。纳入标准:(1)符合《美国精神障碍诊断与统计手册》第5版(Diagnosticand Statistical Manual of Mental Disorders-Ⅴ, DSM-Ⅴ)[22]ASD诊断标准;(2)年龄1~12岁;(3)儿童孤独症评定量表[23](Childhood Autism Rating Scale, CARS)分值≥33分;(4)无惊厥史、无其他精神疾病史及外伤史。排除标准:(1)存在局灶性或弥漫性脑内病变;(2)存在明显出生缺陷。根据《实用中医儿科学》[24]分为3组,分别为1~3岁组、3~6岁组和6~12岁组。

1.2 扫描设备及方法

       采用荷兰飞利浦3.0 T磁共振扫描设备(Ingenia CX, Philips Healthcare, Best, the Netherlands),16通道颅神经线圈进行检查。针对不能配合检查的儿童给予镇静,所有程序严格参照婴幼儿MRI检查的国际指南标准执行[25]

       先行横断面T1W1扫描作为解剖定位,排除肉眼可见的神经系统器质性疾病。

       应用梯度回波序列进行头部矢状位T1W1扫描,参数如下:TR 7.7 ms,TE 3.7 ms,层厚2 mm,层间距1 mm,FOV 180 mm×240 mm×120 mm,矩阵260×260;轴位2D T2WI扫描参数如下:TR 4000 ms,TE 93 ms,层厚6 mm,层间隔0.6 mm,FOV 230 mm×220 mm×220 mm,矩阵256×256;轴位T2-FLAIR扫描,参数如下:TR 7000 ms,TE 120 ms,层厚6 mm,层间隔0.6 mm,FOV 230 mm×184 mm×118 mm,矩阵320×320;矢状位2D T2WI扫描,参数如下:TR 2500 ms,TE 225 ms,层厚2 mm,层间隔0 mm,FOV 240 mm×219 mm×120 mm,矩阵384×384。

       应用平面回波序列进行头部轴位DTI扫描,参数如下:b=800 s/mm2,激励2次,弥散敏感梯度方向16个,采集矩阵为112×110,TR 3966 ms,TE 94 ms,FOV 224 mm×224 mm×120 mm,层厚2 mm,层数60,间隔0 mm。

1.3 图像后处理的质量控制

       两名10年以上诊断经验的磁共振诊断副主任医师分别对ASD儿童的神经纤维束发育、走行情况及各FA值、ADC值进行独立双盲评估,双盲评估需满足Kappa一致性系数≥0.75;若未达标(如纤维束分类分歧),需启动协商流程直至完全一致,然后进行ROI分析。

1.4 图像处理及分析

       图像预处理步骤:(1)头动涡流校正;(2)梯度方向表校正;(3)脑组织提取;(4)张量重建,产生FA图。

       DTI图像数据后处理:在MRI主机上检查扫描DTI图像,将DTI图像经网络传输到飞利浦图像后处理工作站(Philips Vue PACS,操作系统Microsoft Windows XP,安装DTIT ask Card),并以数字影像和通信标准(DICOM)格式导出。

       DELLInspiron1440-202PC机[Intel(R)Core(TM),2.20GHz,2.19GHz,2GB内存,T6600,Microsoft Windows XP Professional]上下载和安装DiffusionToolkit、TrackVis后处理软件。利用Diffusion Toolkit对原始DTI数据进行条样滤波,anglethreshold取45o,Maskthreshold取auto,计算生成FA图,ColorFA图,ADC图,Tensor图,e1、e2、e3图以及trk格式文件。

1.5 CC ROI的选取

       参照FA图,ADC图、彩色编码FA图及T1解剖像,基于Witelson七分法于放大的正中矢状切面图像上选取CC嘴部、膝部、体部、压部做为研究对象,即以线段连接CC最前端和最后端,于CC最前端和最后端连一线段,然后以垂直这条线段的5条垂线(二等分、三等分及五等分)划分CC,分为七区(CC1–CC7:1区为嘴部,2区为膝部,3区至6区为体部,7区为压部)(图1)。于CC的正中状切面,以最小体素形测量工具,分别于嘴部、膝部、体部、压部勾画ROI,使其均处于解剖部位中心,为减少测量误差对统计结果的影响,对各参数三次测量数据取平均值(图2)。

图1  正中矢状面胼胝体Witelson七分法。
Fig. 1  Witelson's seven-division of the corpus callosum in the median sagittal plane.
图2  脑矢状面视图。2A:脑矢状面视图原始图,2B:ROI被标记后图像,红色代表CC嘴部,绿色代表CC膝部,黄色代表CC体部,蓝色代表CC压部。DTI:弥散张量成像;ROI:感兴趣区;CC:胼胝体。
Fig. 2  The sagittal view of the brain. 2A: The original sagittal view image; 2B: The image with the ROI marked, red indicates the rostrum of the CC, green represents the genu of the CC, yellow denotes the body of the CC, and blue marks the splenium of the CC. DTI: diffusion tensor imaging; ROI: region of interest; CC: corpus callosum.

1.6 统计学分析

       采用SPSS 25.0和GraphPad Prism 10进行统计学分析。首先采用Kolmogorov-Smirnov检验定量数据是否服从正态分布,通过Levene检验方差齐性。符合正态分布的参数用x¯±s表示,不符合正态分布以MP25,P75)表示。若数据满足正态分布且方差齐性,采用单因素方差分析(ANOVA),若数据非正态或方差不齐,改用Kruskal-Wallis秩和检验。方差分析后若存在显著差异,采用Bonferroni法进行事后两两比较;采用Pearson检验进行相关性分析。由于年龄分组样本比例不均衡,本研究采用倾向评分加权校正年龄分布差异,并采用单因素方差分析严格控制潜在混杂因素影响。P<0.05表明差异具有统计学意义。

2 结果

2.1 一般资料

       本研究纳入的研究对象共153例,分为1~3岁组(47名,男36名,女11名)、3~6岁组(89名,男70名,女19名)和6~12岁组(17名,男14名,女3名),本研究各年龄段男女比例约为3.6∶1。

2.2 ASD各年龄段CC亚区DTI参数情况

2.2.1 CC亚区DTI参数性别间差异

       结果表明,ASD儿童FA值、ADC值不同性别间差异无统计学意义(P>0.05)(表1表2表3)。

表1  1~3岁ASD儿童不同性别间CC亚区DTI参数比较
Tab. 1  Comparison of DTI parameters in CC subregions between genders in 1 to 3 years children with ASD
表2  3~6岁ASD儿童不同性别间CC亚区DTI参数比较
Tab. 2  Comparison of DTI parameters in CC subregions between genders in 3 to 6 years children with ASD
表3  6~12岁ASD儿童不同性别间CC亚区DTI参数比较
Tab. 3  Comparison of DTI parameters in CC subregions between genders in 6 to 12 years children with ASD

2.2.2 CC亚区DTI参数随年龄变化情况

       本研究发现ASD儿童各年龄段的FA均值不同,随着年龄增长,除CC嘴部,CC其余亚区FA值逐渐增高,ADC值逐渐降低;CC亚区DTI参数与年龄的相关性分析发现:除CC嘴部(r=-0.064,P=0.433;r=-0.029,P=0.727),CC膝部、体部、压部FA值与年龄存在正相关(r=0.335,P=0.001;r=0.350,P=0.001;r=0.264,P=0.001),ADC值与年龄呈负相关(r=-0.466,P=0.001;r=-0.458,P=0.001;r=-0.482,P=0.001)(表4表5)。

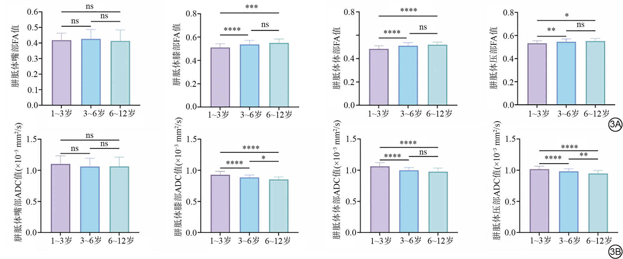
       单因素方差分析结果发现,不同年龄段间的CC嘴部DTI参数差异无统计学意义(P>0.05)(图3A图3B),图1, 图2, 图3岁与3~6岁、1~3岁与6~12岁年龄段间CC膝部、体部、压部的FA值、ADC值差异有统计学意义(P<0.05)(图3A图3B),而3~6岁与6~12岁年龄段间CC各亚区FA值差异无统计学意义(P>0.05)(图3A),图3~6岁与6~12岁年龄段间仅CC膝部、压部ADC值差异无统计学意义(P>0.05)(图3B)。

图3  各年龄段间CC各亚区DTI参数比较。3A:不同年龄段ASD患儿CC嘴部、膝部、体部、压部FA值;3B:不同年龄段ASD患儿CC嘴部、膝部、体部、压部ADC值。统计学分析采用单因素方差分析后进行多重比较。ns:差异无统计学意义(P>0.05),*表示P<0.05,**表示P<0.01,***表示P<0.001,****表示P<0.000 1;CC:胼胝体;DTI:弥散张量成像;ASD:孤独症谱系障碍;ADC:表观扩散系数;FA:各向异性分数。
Fig. 3  Comparison of DTI parameters in CC subregions across different age groups. 3A: FA values in the rostral, genu, body, and splenium of the CC among ASD children of different age groups. 3B: ADC values in the rostral, genu, body, and splenium of the CC among ASD children of different age groups. Statistical analysis is performed using one-way ANOVA followed by multiple comparisons. ns: not statistically significant (P > 0.05), * indicates P < 0.05,** indicates P < 0.01,*** indicates P < 0.001,**** indicates P < 0.000 1; CC: corpus callosum; DTI: diffusion tensor imaging; ASD: autism spectrum disorder; ADC: apparent diffusion coefficient; FA: fractional anisotropy.
表4  不同年龄段CC亚区DTI参数均值
Tab. 4  Mean values of DTI parameters in corpus callosum subregions across different age groups
表5  年龄与CC各区FA值、ADC值相关性
Tab. 5  Correlation between age and FA/ADC values in subregions of the corpus callosum

2.2.3 CC亚区间DTI参数情况

       分析ASD儿童CC亚区DTI参数发现:FA值在CC压部、膝部、体部、嘴部依次降低;而ADC值在CC膝部、压部、体部、嘴部依次增高。

       1~3岁ASD儿童CC亚区间FA值、ADC值差异有统计学意义(P<0.05)(图4A图4B)。而3~6岁CC膝部与压部间、6~12岁CC膝部与压部间、膝部与体部间、体部与压部间FA值差异无统计学意义(P>0.05)(图4A);1~3岁CC嘴部与体部间、3~6岁体部与压部间、6~12岁体部与压部间ADC值差异无统计学意义(P>0.05),其余CC亚区间FA值、ADC值差异有统计学意义(P<0.05)(图4B)。

图4  各年龄段CC各亚区间DTI参数比较。4A:各年龄段ASD患儿CC各区间FA值差异;4B:各年龄段ASD患儿CC各区间ADC值差异。统计学分析采用单因素方差分析后进行多重比较。ns:差异无统计学意义(P>0.05),*表示P<0.05,**表示P<0.01,***表示P<0.001,****表示P<0.000 1;CC:胼胝体;DTI:弥散张量成像;ASD:孤独症谱系障碍;ADC:表观扩散系数;FA:各向异性分数。
Fig. 4  Comparison of DTI parameters across CC subregions in different age groups. 4A: Differences in FA values across CC subregions in ASD children of different age groups. 4B: Differences in ADC values across CC subregions in ASD children of different age groups. Statistical analysis was performed using one-way ANOVA followed by multiple comparisons. ns: not statistically significant (P > 0.05), * indicates P < 0.05, ** indicates P < 0.01, *** indicates P < 0.001, **** indicates P < 0.000 1; CC: corpus callosum; DTI: diffusion tensor imaging; ASD: autism spectrum disorder; ADC: apparent diffusion coefficient; FA: fractional anisotropy.

3 讨论

       本研究采用纵向DTI-ROI分析方法,定量追踪1~12岁ASD儿童CC亚区微结构变化,分析不同性别、年龄及CC亚区FA、ADC值差异,发现CC亚区DTI参数性别间无性别差异;ASD儿童CC的FA值从压部、膝部、体部到嘴部依次降低,ADC值从膝部、压部、体部到嘴部依次增高;1~3岁与3~6岁、1~3岁与6~12岁间FA值、ADC值在CC膝部、体部、压部差异显著,3~6岁与6~12岁年龄段间ADC值在CC膝部、压部差异显著,3~6岁与6~12岁年龄段间CC各亚区FA值均差异无统计学意义。本研究首次将CC细分为嘴部、膝部、体部、压部等亚区,结合DTI参数动态评估ASD儿童CC各亚区发育状态,突破传统研究仅分析CC整体的局限,弥补横断研究无法捕捉动态演变的不足,旨在探究CC在ASD的诊疗价值。

3.1 ASD性别偏倚原因

       本研究发现ASD男女比例约为3.6∶1,与国外研究结果大致相同[3]。相关研究发现ASD女性由于轴突过度生长或/和轴突修剪障碍,其CC体积增加较男性更明显,病情更严重[26]。而ASD患病率存在性别偏倚,这可能与女性具有更高的遗传负担、具有性别特异性较高的相关基因突变、女性保护激素免疫激活及女性诊断不足有关[27, 28]。因此,在临床诊断中对疑似ASD的女童更加关注[29, 30]

3.2 CC亚区间DTI参数情况

       本研究分析ASD儿童CC亚区DTI参数发现:FA值在CC压部、膝部、体部、嘴部依次降低;而ADC值在CC膝部、压部、体部、嘴部依次增高,与崔书红等[31]、郭莉莉等[32]、卢磊等[33]研究一致,该现象与CC亚区发育时序差异有关。不同脑区髓鞘化发育顺序、成熟速度不同,正常髓鞘发育顺序是从尾端到头端[34],但CC亚区发育时序为妊娠第12周膝部最早发育,体部次之,压部随后,嘴部最晚孕20周完成。CC膝部和前压部连接顶叶和内侧颞叶的高级处理区,含有最大密度的薄轴突纤维[8]。出生后CC压部生长速度超过膝部,后部区域发育比前部区域更早进入峰值期[35];体部发育速度相对平稳,无明显年龄衰减[36],并且体部交叉纤维较多,纤维方向一致性较弱,可能解释压部和膝部FA值高于体部、压部FA值高于膝部情况。

3.3 各年龄段间CC亚区DTI参数

       本研究结果显示,随年龄增长,CC膝部、体部、压部FA值逐年增高,6岁前FA值增长速度较快,ADC值逐年降低,本研究结果可能与ASD儿童脑发育早期发育轨迹不典型有关[37, 38],即小年龄ASD儿童脑部髓鞘代偿性过度生长,FA值明显增高,随着年龄增长,低髓鞘化程度及白质完整性降低现象更加广泛,则大年龄阶段ASD患儿FA值表现为增长速度降低[38]

       本研究进一步分析发现各年龄段CC嘴部的DTI各参数差异无统计学意义。CC嘴部位于最前端,直接连接双侧前额叶皮层。ASD患儿CC面积及厚度显著增加[39, 40],ASD的CC嘴部尤其表现出与典型发育人群不同的发育轨迹,ASD儿童CC嘴部具有“早期快速发育、长期维持不变”发育模式,且不随年龄动态调整[41]

3.4 本研究局限性

       本研究尚存在不足:(1)本研究样本量有限导致结果泛化性受限,且没有年龄、智商相匹配的正常儿童作为对照,可能混淆变量干扰因果关系;(2)本研究对象主要是12岁以下的ASD儿童,未纳入大龄ASD患者,未来计划对ASD儿童进行定期随访、定期检查,以探索ASD患者全生命周期的CC发育情况及相关病理机制;(3)CC边界模糊性可能降低测量信度,尤其在纤维交叉或部分容积效应区域,故在今后的研究中,DTI图像数据建议先进行第三方处理,避免主观误差,提高可信度;(4)DTI技术参数差异可能导致跨研究结果的不可比性,不利于相关临床共识的形成。

4 结论

       DTI可系统分析ASD儿童CC各亚区的结构改变及其动态演变规律,为ASD临床诊疗及探索ASD病理机制提供更客观、全面的神经影像学依据。

[1]
CANALE R R, LARSON C, THOMAS R P, et al. Investigating frank autism: clinician initial impressions and autism characteristics[J/OL]. Mol Autism, 2024, 15(1): 48 [2024-12-15]. https://pubmed.ncbi.nlm.nih.gov/39538274/. DOI: 10.1186/s13229-024-00627-z.
[2]
MAENNER M J, WARREN Z, WILLIAMS A R, et al. Prevalence and characteristics of autism spectrum disorder among children aged 8 years-autism and developmental disabilities monitoring network, 11 sites, United States, 2020[J]. MMWR Surveill Summ, 2023, 72(2): 1-14. DOI: 10.15585/mmwr.ss7202a1.
[3]
SHAW K A, WILLIAMS S, PATRICK M E, et al. Prevalence and early identification of autism spectrum disorder among children aged 4 and 8 years - autism and developmental disabilities monitoring network, 16 sites, United States, 2022[J]. MMWR Surveill Summ, 2025, 74(2): 1-22. DOI: 10.15585/mmwr.ss7402a1.
[4]
KIM G S, CHANDIO B Q, BENAVIDEZ S M, et al. Mapping along-tract white matter microstructural differences in autism[J/OL]. bioRxiv, 2025: 2025.03.21.644498 [2024-12-15]. https://pubmed.ncbi.nlm.nih.gov/40196471/. DOI: 10.1101/2025.03.21.644498.
[5]
KIM J H, BAE H Y, WU W C, et al. SCN2A-linked myelination deficits and synaptic plasticity alterations drive auditory processing disorders in ASD[J/OL]. Res Sq, 2024: rs.3.rs-4925935 [2024-12-15]. https://pubmed.ncbi.nlm.nih.gov/39257993/. DOI: 10.21203/rs.3.rs-4925935/v1.
[6]
FARAJI R, GANJI Z, ZAMANPOUR S A, et al. Impaired white matter integrity in infants and young children with autism spectrum disorder: What evidence does diffusion tensor imaging provide?[J/OL]. Psychiatry Res Neuroimaging, 2023, 335: 111711 [2024-12-15]. https://pubmed.ncbi.nlm.nih.gov/37741094/. DOI: 10.1016/j.pscychresns.2023.111711.
[7]
ZHANG S J, JIANG L P, HU Z, et al. T1w/T2w ratio maps identify children with autism spectrum disorder and the relationships between myelin-related changes and symptoms[J/OL]. Prog Neuropsychopharmacol Biol Psychiatry, 2024, 134: 111040 [2024-12-15]. https://pubmed.ncbi.nlm.nih.gov/38806093/. DOI: 10.1016/j.pnpbp.2024.111040.
[8]
BLAAUW J, MEINERS L C. The splenium of the corpus callosum: embryology, anatomy, function and imaging with pathophysiological hypothesis[J]. Neuroradiology, 2020, 62(5): 563-585. DOI: 10.1007/s00234-019-02357-z.
[9]
WEBER C F, LAKE E M R, HAIDER S P, et al. Age-dependent white matter microstructural disintegrity in autism spectrum disorder[J/OL]. Front Neurosci, 2022, 16: 957018 [2024-12-15]. https://pubmed.ncbi.nlm.nih.gov/36161157/. DOI: 10.3389/fnins.2022.957018.
[10]
JUNG M, TU Y H, LANG C A, et al. Decreased structural connectivity and resting-state brain activity in the lateral occipital cortex is associated with social communication deficits in boys with autism spectrum disorder[J/OL]. Neuroimage, 2019, 190: 205-212 [2024-12-15]. https://pubmed.ncbi.nlm.nih.gov/28927730/. DOI: 10.1016/j.neuroimage.2017.09.031.
[11]
PAUL L K, CORSELLO C, KENNEDY D P, et al. Agenesis of the corpus callosum and autism: a comprehensive comparison[J]. Brain, 2014, 137(Pt 6): 1813-1829. DOI: 10.1093/brain/awu070.
[12]
ZHANG M X, HUANG Y, JIAO J, et al. Transdiagnostic symptom subtypes across autism spectrum disorders and attention deficit hyperactivity disorder: validated by measures of neurocognition and structural connectivity[J/OL]. BMC Psychiatry, 2022, 22(1): 102 [2024-12-15]. https://pubmed.ncbi.nlm.nih.gov/35139813/. DOI: 10.1186/s12888-022-03734-4.
[13]
QING P, ZHANG X D, LIU Q, et al. Structure-function coupling in white matter uncovers the hypoconnectivity in autism spectrum disorder[J/OL]. Mol Autism, 2024, 15(1): 43 [2024-12-15]. https://pubmed.ncbi.nlm.nih.gov/39367506/. DOI: 10.1186/s13229-024-00620-6.
[14]
SHIN Y S, CHRISTENSEN D, WANG J Y, et al. Transcallosal white matter and cortical gray matter variations in autistic adults aged 30-73 years[J/OL]. Mol Autism, 2025, 16(1): 16 [2024-12-15]. https://pubmed.ncbi.nlm.nih.gov/40050930/. DOI: 10.1186/s13229-025-00652-6.
[15]
李予欣, 党伟利, 周荣易, 等. 弥散张量成像在孤独症谱系障碍中的应用新进展[J]. 磁共振成像, 2022, 13(11): 119-124. DOI: 10.12015/issn.1674-8034.2022.11.023.
LI Y X, DANG W L, ZHOU R Y, et al. New progress in the application of diffusion tensor imaging in autism spectrum disorders[J]. Chin J Magn Reson Imag, 2022, 13(11): 119-124. DOI: 10.12015/issn.1674-8034.2022.11.023.
[16]
李予欣, 党伟利, 马丙祥, 等. 磁共振弥散张量成像评估针刺治疗儿童孤独症的疗效价值研究[J]. 磁共振成像, 2024, 15(1): 61-69. DOI: 10.12015/issn.1674-8034.2024.01.010.
LI Y X, DANG W L, MA B X, et al. Evaluation of the therapeutic efficacy of acupuncture in children with autism using DTI[J]. Chin J Magn Reson Imag, 2024, 15(1): 61-69. DOI: 10.12015/issn.1674-8034.2024.01.010.
[17]
SHAO H Y, LIU Q F, SAEED A, et al. Feasibility of diffusion tensor imaging in cervical spondylotic myelopathy using MUSE sequence[J]. Spine J, 2024, 24(8): 1352-1360. DOI: 10.1016/j.spinee.2024.03.015.
[18]
ZHANG S S, LARSEN B, SYDNOR V J, et al. In vivo whole-cortex marker of excitation-inhibition ratio indexes cortical maturation and cognitive ability in youth[J/OL]. Proc Natl Acad Sci USA, 2024, 121(23): e2318641121 [2024-12-15]. https://pubmed.ncbi.nlm.nih.gov/38814872/. DOI: 10.1073/pnas.2318641121.
[19]
李雯, 樊令仲, 宋明, 等. 儿童青少年大脑发育及脑图谱研究综述[J]. 中国图象图形学报, 2024, 29(6): 1555-1574. DOI: 10.11834/jig.240021.
LI W, FAN L Z, SONG M, et al. Review of brain development and brain atlases in children and adolescents[J]. J Image Graph, 2024, 29(6): 1555-1574. DOI: 10.11834/jig.240021.
[20]
WITTMANN M K, SCHEUPLEIN M, GIBBONS S G, et al. Local and global reward learning in the lateral frontal cortex show differential development during human adolescence[J/OL]. PLoS Biol, 2023, 21(3): e3002010 [2024-12-15]. https://pubmed.ncbi.nlm.nih.gov/36862726/. DOI: 10.1371/journal.pbio.3002010.
[21]
白芝兰, 戚威, 张晓娜, 等. 孤独症患儿胼胝体磁共振形态及扩散张量成像[J]. 中国医学影像技术, 2010, 26(5): 825-827. DOI: 10.13929/j.1003-3289.2010.05.031.
BAI Z L, QI W, ZHANG X N, et al. Structural MRI and diffusion tensor imaging of corpus callosum in autism[J]. Chin J Med Imag Technol, 2010, 26(5): 825-827. DOI: 10.13929/j.1003-3289.2010.05.031.
[22]
TANDON R, GAEBEL W, BARCH D M, et al. Definition and description of schizophrenia in the DSM-5[J]. Schizophr Res, 2013, 150(1): 3-10. DOI: 10.1016/j.schres.2013.05.028.
[23]
FULCERI F, CARUSO A, MICAI M, et al. Autism diagnosis in children and adolescents: a systematic review and meta-analysis of test accuracy[J/OL]. Neurosci Biobehav Rev, 2025, 173: 106164 [2024-12-15]. https://pubmed.ncbi.nlm.nih.gov/40274203/. DOI: 10.1016/j.neubiorev.2025.106164.
[24]
江育仁, 张奇文. 实用中医儿科学[M]. 上海: 上海科学技术出版社, 1995.
JIANG Y R, ZHANG Q W. Practical pediatrics of traditional Chinese medicine[M]. Shanghai: Shanghai Scientific & Technical Publishers, 1995.
[25]
BEAULIEU F P, ZUCKERBERG G, COLETTI K, et al. Sedation and anesthesia for imaging of the infant and neonate-a brief review[J]. Pediatr Radiol, 2024, 54(10): 1579-1588. DOI: 10.1007/s00247-024-05995-5.
[26]
ZHANG Y, QIN B, WANG L L, et al. Corpus callosum volumes in children with autism spectrum disorders: sex-associated differences[J]. J Autism Dev Disord, 2023, 53(6): 2421-2429. DOI: 10.1007/s10803-022-05538-7.
[27]
KIM S W, LEE H, SONG D Y, et al. Whole genome sequencing analysis identifies sex differences of familial pattern contributing to phenotypic diversity in autism[J/OL]. Genome Med, 2024, 16(1): 114 [2024-12-15]. https://pubmed.ncbi.nlm.nih.gov/39334436/. DOI: 10.1186/s13073-024-01385-6.
[28]
VIDRIALES-FERNÁNDEZ R, PLAZA-SANZ M, HERNÁNDEZ-LAYNA C, et al. Characterizing the physical and mental health profile of children, adolescents and adults with autism spectrum disorder in Spain[J/OL]. Front Psychiatry, 2023, 14: 1088727 [2024-12-15]. https://pubmed.ncbi.nlm.nih.gov/36970262/. DOI: 10.3389/fpsyt.2023.1088727.
[29]
HARROP C, TOMASZEWSKI B, PUTNAM O, et al. Are the diagnostic rates of autistic females increasing? An examination of state-wide trends[J]. J Child Psychol Psychiatry, 2024, 65(7): 973-983. DOI: 10.1111/jcpp.13939.
[30]
JIANG T T, LI X Q, ZHAO T T, et al. Advances in research on gender differences in autism spectrum disorders[J]. Chin J Contemp Pediatr, 2025, 27(4): 480-486. DOI: 10.7499/j.issn.1008-8830.2411142.
[31]
崔书红, 陆林, 任娜娜, 等. DTI联合DKI参数评估学龄前期孤独症儿童大脑异常[J]. 放射学实践, 2024, 39(12): 1660-1666. DOI: 10.13609/j.cnki.1000-0313.2024.12.018.
CUI S H, LU L, REN N N, et al. DTI combined with DKI parameters to evaluate brain abnormalities in preschool children with autism[J]. Radiol Pract, 2024, 39(12): 1660-1666. DOI: 10.13609/j.cnki.1000-0313.2024.12.018.
[32]
郭莉莉, 王德杭, 张辉, 等. 扩散张量成像在新生儿脑髓鞘发育中的初步研究[J]. 磁共振成像, 2019, 10(10): 748-751. DOI: 10.12015/issn.1674-8034.2019.10.006.
GUO L L, WANG D H, ZHANG H, et al. Diffusion tensor imaging for the development of neonatal brain myelin[J]. Chin J Magn Reson Imag, 2019, 10(10): 748-751. DOI: 10.12015/issn.1674-8034.2019.10.006.
[33]
卢磊, 周舒, 黄子迅, 等. 正常成人胼胝体膝部及压部弥散张量成像分析[J]. 江苏医药, 2019, 45(2): 156-159, 217. DOI: 10.19460/j.cnki.0253-3685.2019.02.015.
LU L, ZHOU S, HUANG Z X, et al. An analysis of diffusion tensor imaging of genu and splenium in adult corpus callosum[J]. Jiangsu Med J, 2019, 45(2): 156-159, 217. DOI: 10.19460/j.cnki.0253-3685.2019.02.015.
[34]
刘世莉, 周云舒, 陈晓华, 等. 集成磁共振技术在新生儿脑髓鞘发育中的应用价值[J]. 放射学实践, 2025, 40(1): 78-83. DOI: 10.13609/j.cnki.1000-0313.2025.01.014.
LIU S L, ZHOU Y S, CHEN X H, et al. Application of synthetic MRI in neonatal brain myelin development evaluation[J]. Radiol Pract, 2025, 40(1): 78-83. DOI: 10.13609/j.cnki.1000-0313.2025.01.014.
[35]
MAH A, GEERAERT B, LEBEL C. Detailing neuroanatomical development in late childhood and early adolescence using NODDI[J/OL]. PLoS One, 2017, 12(8): e0182340 [2024-12-15]. https://pubmed.ncbi.nlm.nih.gov/28817577/. DOI: 10.1371/journal.pone.0182340.
[36]
曹立智. 学龄期胼胝体形态发育研究[D]. 北京:中国科学院大学, 2022.
CAO L Z. Study on morphological development of corpus callosum in school-age period[D]. Beijing: University of Chinese Academy of Sciences, 2022.
[37]
LI M, IZUMOTO M, WANG Y D, et al. Altered white matter connectivity of ventral language networks in autism spectrum disorder: an automated fiber quantification analysis with multi-site datasets[J/OL]. Neuroimage, 2024, 297: 120731 [2024-12-15]. https://pubmed.ncbi.nlm.nih.gov/39002786/. DOI: 10.1016/j.neuroimage.2024.120731.
[38]
LI M, WANG Y D, TACHIBANA M, et al. Atypical structural connectivity of language networks in autism spectrum disorder: a meta-analysis of diffusion tensor imaging studies[J]. Autism Res, 2022, 15(9): 1585-1602. DOI: 10.1002/aur.2789.
[39]
DUAN K K, EYLER L, PIERCE K, et al. Language, social, and face regions are affected in toddlers with autism and predictive of language outcome[J/OL]. Res Sq, 2023: rs.3.rs-2451837 [2024-12-15]. https://pubmed.ncbi.nlm.nih.gov/36778379/. DOI: 10.21203/rs.3.rs-2451837/v1.
[40]
DUAN K K, EYLER L, PIERCE K, et al. Differences in regional brain structure in toddlers with autism are related to future language outcomes[J/OL]. Nat Commun, 2024, 15(1): 5075 [2024-12-15]. https://pubmed.ncbi.nlm.nih.gov/38871689/. DOI: 10.1038/s41467-024-48952-4.
[41]
徐滢莹, 孙秉玺, 吉兆正, 等. 12~18岁孤独症谱系障碍患者皮层下脑结构改变[J]. 中国医学影像学杂志, 2023, 31(12): 1239-1243. DOI: 10.3969/j.issn.1005-5185.2023.12.001.
XU Y Y, SUN B X, JI Z Z, et al. Subcortical structural alterations in autism spectrum disorder aged 12-18 years old[J]. Chin J Med Imag, 2023, 31(12): 1239-1243. DOI: 10.3969/j.issn.1005-5185.2023.12.001.

上一篇 人工智能压缩感知技术的MRI临床应用进展
下一篇 经皮耳迷走神经刺激调节经前期综合征大脑三网络模型功能连接的fMRI研究
  
诚聘英才 | 广告合作 | 免责声明 | 版权声明
联系电话:010-67113815
京ICP备19028836号-2