分享:
分享到微信朋友圈
X
基础研究
磁共振成像评估大鼠蛛网膜下腔出血早期脑损伤时期海马体损伤的实验性研究
章宵 王凯 姜李平 李哲 秦雷

Cite this article as: ZHANG X, WANG K, JIANG L P, et al. Experimental study on evaluation of the hippocampal injury during early brain injury after subarachnoid hemorrhage in rats using magnetic resonance imaging[J]. Chin J Magn Reson Imaging, 2025, 16(9): 153-161, 168.本文引用格式:章宵, 王凯, 姜李平, 等. 磁共振成像评估大鼠蛛网膜下腔出血早期脑损伤时期海马体损伤的实验性研究[J]. 磁共振成像, 2025, 16(9): 153-161, 168. DOI:10.12015/issn.1674-8034.2025.09.023.


[摘要] 目的 评估大鼠蛛网膜下腔出血(subarachnoid hemorrhage, SAH)模型后早期脑损伤(early brain injury, EBI)时期不同时间点海马体损伤情况。材料与方法 于2023年1月至12月将72只斯普拉格-道利(Sprague-Dawley, SD)大鼠,分为假手术组(Sham operation group, Sham)(36只)和SAH组(36只),每组进一步分为术后3、6、12、24、48、72 h共6个亚组(每亚组6只)。采用枕大池二次注血法构建SAH模型,Sham组以等量生理盐水替代血液注射。造模后,于各时间点进行全脑MRI扫描,测量海马体表观扩散系数(apparent diffusion coefficient, ADC)值;采用改良Garcia评分标准评估神经功能;采用常规分级量表评估SAH严重程度;取海马组织行苏木精-伊红染色(hematoxylin-eosin, HE)观察病理变化,并通过酶联免疫吸附试验(enzyme-linked immunosorbent assay, ELISA)检测白细胞介素-1β(interleukin-1β, IL-1β)表达水平。结果 与Sham组相比,SAH组海马体ADC值在12 h和24 h差异具有统计学意义(P<0.05);与Sham组相比,各SAH组大鼠神经功能评分减低、SAH严重程度评分升高、IL-1β表达升高(P均<0.05);与Sham组相比,SAH组病理局部周围见神经元密度增高、细胞拥挤及神经元变性;海马体ADC值与IL-1β蛋白浓度及SAH严重程度评分呈负相关性(P均<0.05,r=-0.695,r=-0.624),与神经功能评分呈正相关性(P<0.05,r=0.568);IL-1β蛋白浓度与神经功能评分呈负相关性(P<0.05,r=-0.419),与SAH严重程度评分呈正相关性(P<0.05,r=0.568);SAH 严重程度评分与神经功能评分呈负相关性(P<0.05,r=-0.680)。结论 SAH后的EBI阶段,大鼠海马体ADC 值的降低、IL-1β 蛋白浓度的升高、神经功能评分的降低及SAH严重程度评分的升高,在SAH造模后12 h和24 h时间点表现更为显著,SAH后12~24 h可能是海马体损伤的高峰期,海马体ADC值可以为临床提供新的治疗思路和方向。
[Abstract] Objective To evaluate the hippocampal injury at different time points during early brain injury (EBI) period following the induction of a subarachnoid hemorrhage (SAH) model in rats.Materials and Methods From January to December 2023, 72 Sprague-Dawley (SD) rats were divided into a Sham operation group (Sham) (36 rats) and a SAH group (36 rats). Each group was further divided into six subgroups based on postoperative time points of 3, 6, 12, 24, 48, and 72 hours (6 rats per subgroup). The SAH model was established using the twice cisterna magna blood injection method, with the Sham group receiving an equal volume of normal saline instead of blood. After modeling, whole-brain MRI scanning was performed at each time point to measure the apparent diffusion coefficient (ADC) values of the hippocampus. Neurological function was evaluated using the modified Garcia scoring scale. The severity of SAH was evaluated using a conventional grading scale. Hippocampal tissues were subjected to hematoxylin-eosin (HE) staining to observe pathological changes, and the expression level of interleukin-1β (IL-1β) was detected by enzyme-linked immunosorbent assay (ELISA).Results Compared with the Sham group, the hippocampal ADC values in the SAH group showed significant differences at 12 and 24 hours (P < 0.05). Compared with the Sham group, in each SAH group, the neurological function scores of rats were decreased, the SAH severity scores were increased, and the expression of IL-1β was elevated (all P < 0.05). Compared with the Sham group, the expression of IL-1β in rats of each SAH group was elevated (P < 0.05). Compared with the Sham group, the SAH group exhibited increased neuronal density, cellular crowding, and neuronal degeneration around the pathological lesions. The ADC value of the hippocampus was negatively correlated with the IL-1β protein concentration and the SAH severity score (all P < 0.05, r = -0.695, r = -0.624), and positively correlated with the neurological function score (P < 0.05, r = 0.568); the IL-1β protein concentration was negatively correlated with the neurological function score (P < 0.05, r = -0.419) and positively correlated with the SAH severity score (P < 0.05, r = 0.568); the SAH severity score was negatively correlated with the neurological function score (P < 0.05, r = -0.680).Conclusions During the EBI phase after SAH, the decrease in ADC values of the rat hippocampus, the increase in IL-1β protein concentration, the decrease in neurological function scores and the increase in the SAH severity scores were more pronounced at 12 and 24 hours after SAH modeling. The period of 12 to 24 hours after SAH may be the peak period for hippocampal injury, and the hippocampal ADC values could provide new therapeutic ideas and directions for clinical practice.
[关键词] 蛛网膜下腔出血;早期脑损伤;扩散张量成像;磁共振成像;白细胞介素-1β;海马体
[Keywords] subarachnoid hemorrhage;early brain injury;diffusion tensor imaging;magnetic resonance imaging;interleukin-1β;hippocampus

章宵 1, 2   王凯 1, 2   姜李平 2, 3   李哲 1, 2   秦雷 1, 4*  

1 蚌埠医科大学第一附属医院放射科,蚌埠 233004

2 蚌埠医科大学研究生院,蚌埠 233004

3 蚌埠医科大学第二附属医院放射科,蚌埠 233004

4 蚌埠医科大学医学影像学院影像诊断学教研室,蚌埠 233004

通信作者:秦雷,E-mail: 391599298@qq.com

作者贡献声明::秦雷设计本研究方案,对稿件重要内容进行修改;章宵进行实验设计,起草和撰写稿件,获取、分析和解释本研究数据;王凯、姜李平和李哲获取、分析及解释本研究数据,对稿件重要内容进行了修改。秦雷获得了安徽省重点研究与开发计划项目的资助;章宵获得了蚌埠医科大学2024年度研究生科研创新计划项目资助;全体作者均同意发表最后的修改稿,同意对本研究的所有方面负责,确保本研究的准确性和诚信。


基金项目: 安徽省重点研究与开发计划项目 202204295107020036 蚌埠医科大学2024年度研究生科研创新计划项目 Byycx24107
收稿日期:2025-04-28
接受日期:2025-09-02
中图分类号:R445.2  R-332 
文献标识码:A
DOI: 10.12015/issn.1674-8034.2025.09.023
本文引用格式:章宵, 王凯, 姜李平, 等. 磁共振成像评估大鼠蛛网膜下腔出血早期脑损伤时期海马体损伤的实验性研究[J]. 磁共振成像, 2025, 16(9): 153-161, 168. DOI:10.12015/issn.1674-8034.2025.09.023.

0 引言

       蛛网膜下腔出血(subarachnoid hemorrhage, SAH)作为一种致死率和致残率极高的急性脑血管疾病,约30%~50%的存活患者会遗留长期认知障碍,表现为记忆减退、注意力缺陷及执行功能下降等,严重影响生活质量[1, 2, 3]。早期脑损伤(early brain injury, EBI)的特征是SAH后72 h内发生的一系列急性病理生理变化[4],涉及血脑屏障破坏、微循环障碍、氧化应激、神经炎症及多种细胞死亡,早期脑损伤被认为是不良结局的关键阶段[5]。海马体作为大脑边缘系统的核心结构,负责情景记忆编码与空间认知,其神经元对缺血缺氧高度敏感,且SAH后血液分解产物引发的氧化应激、炎症反应及血脑屏障破坏可选择性损伤海马神经元,尤其是对缺血最敏感的CA1亚区(Cornu Ammonis 1 subregion of the hippocampus)[6]。表观扩散系数(apparent diffusion coefficient, ADC)由扩散加权成像(diffusion-weighted imaging, DWI)原始数据计算得出,可量化水分子在组织内的扩散能力,是反映早期细胞毒性水肿和神经元损伤的敏感指标。在缺血性脑组织中,离子梯度的丧失和水从细胞外到细胞内的易位,水的流动性受限,导致ADC值降低[7, 8]。类似地,SAH后,海马体神经元肿胀和细胞外间隙缩小也会限制水分子的流动性,进而导致ADC值下降,其动态变化与神经元坏死程度及血脑屏障通透性密切相关[9, 10, 11],提示ADC值可能成为评估SAH后认知障碍的潜在影像学标志物。目前关于SAH后海马ADC值变化与认知障碍的因果关系仍不明确,尤其是ADC值所反映的细胞毒性水肿、轴突损伤及胶质细胞反应如何共同作用于海马依赖性认知功能,仍需深入探讨。而在SAH相关研究领域,长期以来学界的关注重点多集中于迟发性脑缺血(delayed cerebral ischemia, DCI)时期,但近年来,随着临床数据与基础实验的深入,越来越多研究证实[12, 13, 14],EBI内发生的急性病理生理变化才是决定患者短期病情恶化与长期预后不良的关键环节。在SAH后EBI时期的影像学评估中,ADC值虽已被证实与EBI密切相关,但现有研究对其在EBI时期多数研究仅聚焦SAH后离散时间点[15, 16, 17],缺乏系统的时间维度分析ADC值的动态变化。现有SAH相关研究对海马体这一认知功能核心脑区的关注度不足,也无法解释SAH患者认知障碍的病理机制[1, 18],同时也缺乏评估海马体损伤的特异性指标,临床难以通过现有研究结果预测患者远期认知预后。SAH后EBI时期的病理机制仍处于“多因素叠加但未明确核心通路”的状态,尚未形成完整清晰的机制框架。现有研究已证实,EBI的发生与血脑屏障破坏、微循环障碍、氧化应激、神经炎症等多种因素相关,但这些因素之间的关系尚未明确,其具体机制需要进一步研究[19, 20, 21]。因此,本研究通过建立大鼠枕大池注血模型,结合MRI动态监测EBI时期海马ADC值,同步评估神经功能评分、SAH严重程度评分和炎症因子IL-1β的表达,填补了该时期海马体损伤时程特征领域的空白。这一创新性研究有望为SAH后EBI时期的诊疗提供新的影像学思路和方法,并为临床干预提供潜在评估手段,具有重要的理论和实践意义。

1 材料与方法

       本实验于2023年1月至12月期间开展,动物实验已获得蚌埠医学院实验管理和伦理委员会批准,批准文号:伦动科批字[2022]第471号。

1.1 试剂、设备、动物及分组

       成年SPF级健康成年雄性斯普拉格-道利(Sprague-Dawley, SD)大鼠85只,8周龄,体质量(290±10)g,购自辽宁长生生物技术股份有限公司。其中49只大鼠用于SAH模型构建,8只大鼠因穿刺过深损伤延髓而死亡,2只大鼠死于重度 SAH,1只死于麻醉并发症,2只大鼠因SAH严重程度评分小于8分而被排除,最终成功造模共36只,记为SAH组。同时,选取36只大鼠作为对照,记为Sham组。每组进一步细分为术后3、6、12、24、48和72 h六个亚组,每亚组6只。实验设计遵循“3R”原则,即替代(replacement)、减少(reduction)和优化(refinement)。所有动物都单独饲养在受控环境中,环境温度为(22±1)°C、相对湿度为(55±10)%,以及光周期为明/暗条件各12 h,灯光从上午7:00开始,食物和水可以随意获得。适应性喂养一段时间后进行SAH造模实验。

1.2 SAH动物模型建立

       运用经典的枕大池二次注血手段来制备SAH模型。首先,对实验对象实施3%戊巴比妥钠(艾康生物医药研发有限公司,中国)以35 mg/kg的剂量进行腹膜内麻醉。在无菌条件下,将注射器插入股动脉以抽血。随后,将大鼠俯卧位固定于仪器上,剃除并消毒枕颈部毛发。调整大鼠至侧卧位,头部低位,下颏内收,使其正中平面对准双乳突连线中点的寰枕交界处。在Resona 7超声诊断仪(迈瑞生物医疗电子股份有限公司,中国)引导下,使用26G穿刺针(普沃医疗科技有限公司,中国)经环枕筋膜穿刺进入枕大池,并缓慢注入约0.30 mL血液。注射完毕后留置针头约1 min后拔出,并保持大鼠头部低位30 min,以促进血液随脑脊液循环均匀分布。Sham组在同样操作下使用0.30 mL生理盐水完成造模。整个造模过程由1名放射科主治医师(具有7年诊断工作经验)和1名放射科住院医师(具有3年诊断工作经验)共同操作完成。

1.3 MRI扫描

       大鼠麻醉后使用3.0 T磁共振机(GE Healthcare Signa Pioneer3.0T,GE Healthcare,美国)配合8通道小动物专用线圈(苏州众志)进行扫描,将大鼠迅速置于扫描仪中,以俯卧位进行MRI扫描。采集参数如下:TE 3.7 ms,TR 1500 ms,翻转角度9°。T2WI:FOV 70 mm×70 mm,激励次数4.00,矩阵256×256;单次激发的SE,扩散张量成像(diffusion tensor imaging, DTI):FOV 110 mm×110 mm,激励次数4.00,矩阵128×128,b值500 s/mm2,方向数16。扫描时间点为SAH后3、6、12、24、48和72 h。

       DTI图像及ADC值均通过设备自带的ReadView(GE Healthcare,美国)软件获取。定位将海马体选择为感兴趣区(region of interest, ROI)。ROI的选择由1名放射科主治医师(具有7年诊断工作经验)进行勾画,该医师对实验过程及动物分组情况不知情,同时由放射科副主任医师(具有10年以上诊断工作经验)审查图像,确定ROI勾画区域的一致性。测量时通过T2WI与ADC序列融合图像为主要定位依据,辅助参考T2-FLAIR序列区分海马体与周围脑区,清晰显示海马体“C”形结构的完整轮廓,确保选择的ROI位于明确的海马体解剖边界内,避免包含海马体周围的脑脊液、血管或水肿区域,以海马体最大截面层面为勾画层面,ROI为类圆形,勾画双侧海马体主体区域,双侧ROI基本对称,面积2~3 m2,分别获取两侧海马体测量值,并对两次测量值取平均值。见图1

图1  SAH后大鼠海马区MRI图像。1A:大鼠原始T2-FLAIR序列图,白色圈为双侧海马体最大截面;1B:大鼠原始ADC序列图,于海马体对称位置勾画ROI(白圈);1C:T2-FLAIR与ADC序列图融合图像,蓝圈为勾画双侧海马体ROI;1D:大鼠原始DWI序列图;1E:大鼠原始ADC伪彩图;1F:大鼠脑DTI纤维束图。SAH:蛛网膜下腔出血。T2-FLAIR:T2加权液体衰减反转恢复序列;ADC:表观扩散系数;ROI:感兴趣区;DWI:扩散加权成像;DTI:扩散张量成像。
Fig. 1  MRI images of the rat hippocampus following SAH. 1A: The raw T2-FLAIR sequence images of rats, with white circles represent the maximum cross-sections of the bilateral hippocampi; 1B: The raw ADC sequence images of rats, with ROIs delineated at the symmetric positions of the hippocampi (white circles); 1C: For the fused image of the T2-FLAIR and ADC sequence images, with blue circles delineating the ROI of the bilateral hippocampi; 1D: The raw DWI sequence image of the rat; 1E: Pseudocolor map of the rawl ADC in rats; 1F: Fiber tractography map of rat brain DTI. SAH: subarachnoid haemorrhage; T2-FLAIR: T2-weighted fluid-attenuated inversion recovery sequence; ADC: apparent diffusion coefficient; ROI: region of interest; DWI: diffusion-weighted imaging; DTI: diffusion tensor imaging.

1.4 评价指标

1.4.1 神经功能评分

       本研究借助改良Garcia神经功能评估量表[22]评估大鼠的运动和感觉功能,由1名放射科主治医师(具有7年诊断工作经验)和1名放射科住院医师(具有3年诊断工作经验)共同操作进行评分。测试内容包括动物的自发活动(0~3分)、肢体运动的对称性(0~3分)、前肢伸展(0~3分)、攀爬和握力(0~3分)、身体本体感觉的对称性(0~3分)和触须的感觉功能(0~3分)。评分范围划定在3~18分,评分数值越低,代表大鼠神经功能受损越明显。

1.4.2 SAH严重程度评分

       于预先设定的多个观测时间点,对大鼠执行安乐死操作并获取脑组织样本。之后,采用常规分级量表评估SAH严重程度[23],将大鼠基底池均分为六个区域,依据各区域血凝块的厚度状况开展分级评分工作:若未观察到SAH迹象,则评定为0分;若仅有少量出血现象,记为1分;有中等量血凝块且动脉仍可肉眼辨识记为2分;若血凝块完全覆盖导致动脉无法辨认,则记为3分。将6个区域的评分累加,所得总分即为SAH评分,总分为0~18分。Sham组大鼠SAH评分均为0~1分,而SAH评分低于8分的大鼠,因其损伤程度较轻,不纳入本研究范畴。评分由1名放射科主治医师(具有7年诊断工作经验)和1名放射科住院医师(具有3年诊断工作经验)共同操作完成。

1.5 取血液上清液及脑组织

       于动物模型建立后设定的时间段进行MRI检测,使用3%戊巴比妥钠(35 mg/kg)对大鼠进行麻醉,使其失去自主意识,随后通过心脏穿刺采集血清。接着开胸,从左心室插入灌注针,4%多聚甲醛(白鲨生物科技有限公司,中国)进行灌注,以清除血管内的血液并固定组织;随后沿颅顶正中切开头皮,去除颅骨,暴露脑组织,并从枕骨大孔处剪断脑神经,完整取出脑组织。将采集的血液置于离心管中,使用高速冷冻离心机(Fresco 21,Thermo Fisher Scientific,德国)4℃条件下1 2000 rpm离心20 min,收集上清液,-80℃冻存备用,取出的脑组织固定于福尔马林溶液(世泰实验器材有限公司,中国)中待测。整个过程需严格遵守动物实验伦理规范,操作要轻柔、迅速。

1.6 石蜡切片制作及HE染色

       分离海马组织后,4%多聚甲醛4℃下固定24 h。随后,依次用梯度乙醇(上海广诺化学科技有限公司,中国)脱水(70%→80%→95%→100%,各1 h,重复2次),再用二甲苯(天津市凯通化学试剂有限公司,中国)透明处理(每次10 min),接着在60℃下进行石蜡浸蜡(每次1 h,重复2次),最后将组织于生物组织包埋机(YB-7LF,亚光医用电子技术有限公司,中国)下包埋成蜡块。使用切片机(RM2016,上海徕卡仪器有限公司,中国)制备4~5 μm厚冠状切片,切片于40℃温水中展平,然后在60℃下烤片1 h。脱蜡复水步骤为:用二甲苯处理(每次5 min),再依次用梯度乙醇复水(各3 min)。之后,用HE核染套装(G1003,武汉赛维尔生物科技有限公司,中国)对样本进行染色,再次梯度脱水(80%→95%→100%,各2 min),用二甲苯透明处理(每次3 min),最后用中性树胶(国药集团化学试剂有限公司,中国)封片后显微镜(Nikon DS-U3,日本尼康)观察。HE染色(苏木精-伊红染色,Hematoxylin-Eosin Staining)由1名病理科主治医师(具有5年以上病理诊断工作经验)和2名放射科住院医师(具有2年以上诊断工作经验)共同操作完成。

1.7 ELISA检测IL-1β表达水平

       使用贝茵莱生物科技有限公司提供的鼠白细胞介素-1β(interleukin-1β, IL-1β)试剂盒(Rat IL-1β ELISA Kit,Bioswamp,中国),进行酶联免疫吸附试验(enzyme-linked immunosorbent assay, ELISA):首先检测细胞因子的血清浓度,通过添加上清液进行酶联免疫吸附测定,再使用ELISA 读数仪(Bio Tek Instruments,Inc.,美国),在450 nm的波长处通过分光光度法测定光密度(optical density, OD)。OD值与IL-1β的水平相关,将样品的OD值与参考曲线进行比较,以确定IL-1β蛋白浓度。实验由1名放射科主治医师(具有7年诊断工作经验)和2名放射科住院医师(具有2年以上诊断工作经验)共同操作完成。

1.8 统计学分析

       本研究采用SPSS 26.0进行统计学分析,采用GraphPad Prism 9.5.1用于数据的可视化绘图。所有计量资料采用Shapiro-Wilk方法进行正态性检验,数据符合正态分布及近似正态分布,以x¯±s的形式呈现。在研究设定的每个时间节点采用单因素方差分析(ANOVA检验)比较各亚组之间的差异,明确两组在单一时间点的差异是否具有统计学意义,本研究包含3、6、12、24、48、72 h共6个时间点的纵向追踪设计,对海马体ADC值及IL-1β蛋白浓度进一步采用重复测量方差分析,分析指标的主效应及交互效应,并对于统计学差异的数据开展LSD-t法多重比较。最后,对海马体ADC值、IL-1β蛋白浓度、神经功能评分及SAH严重程度评分之间进行相关性分析,数据符合正态分布用Pearson检验进行分析,否则用Spearman检验进行分析。本研究以P<0.05表示差异具有统计学意义。

2 结果

2.1 造模成功率

       本研究共使用了85只大鼠,其中36只为Sham组,49只大鼠接受SAH造模,注血成功率75%。

2.2 各组大鼠神经功能评分和SAH严重程度评分比较

       SAH组大鼠与 Sham组在各时间点的神经功能状态及SAH严重程度评分差异均具有统计学意义。SAH处理后各时间点神经功能评分均低于Sham组,差异具有统计学意义(P均<0.05),SAH处理后各时间点SAH严重程度评分均高于Sham组,差异具有统计学意义(P均<0.001)。进一步分析SAH组内情况,SAH 12 h组与 SAH 24 h组比较,两组间神经功能评分P<0.05,两组间SAH严重程度评分P<0.001,神经功能在12~24 h时间段进一步下降,并在24 h时间点表现最低,SAH严重程度评分在12~24 h时间段进一步增加,并在24 h时间点表现最高;SAH 48 h组与SAH 72 h组比较,两组间神经功能评分P<0.01,神经功能在48~72 h时间段神经功能有所恢复;SAH 24 h组与 SAH 48 h组比较,两组间SAH严重程度评分P<0.001,SAH严重程度评分在24 h峰值后开始下降。不同时间点的情况发现,相较于其他时间组,出血后24 h组大鼠的神经功能评分降至最低水平,同时SAH评分达到最高,且该组与其余各时间组比较差异均具有统计学意义,见表1

表1  6组大鼠神经功能和SAH严重程度评分比较
Tab. 1  Comparison of neurological score and SAH severity score in the 6 groups

2.3 DTI测量海马ADC值变化

       两组大鼠各时间点ADC值情况比较见表2图2

       与Sham组相比,SAH后3 h,海马体ADC值开始出现轻微下降,但与Sham组相比,差异无统计学意义(P>0.05)。随着时间的推移,到出血后6 h,SAH组海马体ADC值进一步轻度降低,与对照组相比,差异仍不具有统计学意义(P>0.05);在出血后12 h,海马体ADC值降低达到一个较为显著的程度,与对照组相比,差异具有统计学意义(P<0.001);出血后24 h,海马体ADC值降至最低水平,与Sham组相比,差异具有统计学意义(P<0.001);在出血后48 h和72 h,SAH组海马体ADC值有所回升,与Sham组相比差异无统计学意义(P>0.05)。

       进一步分析SAH组内比较,对比SAH组6 h与12 h时间点的ADC值,可见12 h时SAH组的ADC值呈现出显著低于6 h时的情况(P<0.001);进一步观察12 h与24 h时间点,SAH组24h时的ADC值较12 h时降低,差异具有统计学意义(P=0.025);分析24 h与48 h时间点的SAH组ADC值,可发现48 h时SAH组ADC值高于24 h时,差异具有统计学意义(P<0.001)。

       主体内效应分析:ADC值具有时间变化趋势(F组内=19.201,P<0.001);Sham组和SAH组的ADC值随时间变化的模式差异具有统计学意义(F组内*组间=21.500,P<0.001)。

       主体间效应分析:从整体上看,Sham组和SAH组ADC值的差异具有统计学意义(F组间=114.081,P<0.001)。

图2  各组大鼠蛛网膜下腔出血后海马体ADC值。▲表示SAH组与Sham组比较;★表示SAH组内相邻时间点比较。ADC:表观扩散系数;SAH:蛛网膜下腔出血;Sham:假手术。
Fig. 2  ADC values in the hippocampus after subarachnoid haemorrhage in various groups of rats. ▲ indicates the comparison between the SAH group and the Sham group; ★ indicates the comparison between adjacent time points within the SAH group. ADC: apparent diffusion coefficient; SAH: subarachnoid haemorrhage; Sham: Sham operation.
表2  两组大鼠各时间点ADC值情况比较
Tab. 2  Comparison of ADC values at various time points between the two groups of rats

2.4 IL-1β表达水平比较

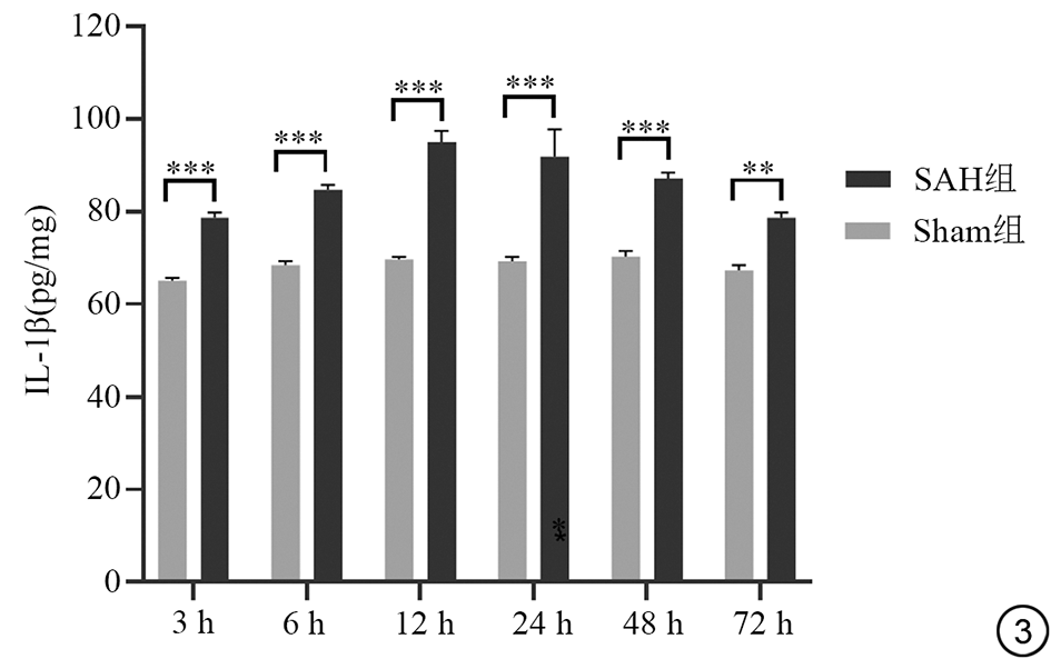
       两组大鼠各时间点IL-1β表达情况比较结果见表3图3

       ELISA检测结果显示,与Sham组比较,SAH组各时间大鼠海马神经元IL-1β蛋白表达水平明显升高,差异具有统计学意义(均P<0.05);SAH组各时间大鼠比较,SAH 12 h组IL-1β蛋白表达水平升高最明显(均P<0.05)。

       主体内效应分析:IL-1β蛋白浓度具有时间变化趋势(F组内=8.303,P<0.001);Sham组和SAH组的IL-1β蛋白浓度随时间的模式差异具有统计学意义(F组内*组间=85.346,P=0.009)。

       主体间效应分析:从整体上看,Sham组和SAH组IL-1β蛋白浓度的差异具有统计学意义(F组间=224.221,P<0.001)。

图3  各组大鼠蛛网膜下腔出血后各时间段海马组织IL-1β蛋白含量表达比较。***表示P<0.001;**表示0.001<P<0.01。IL-1β:白细胞介素-1β;SAH:蛛网膜下腔出血;Sham:假手术。
Fig. 3  Comparison of the expression of IL-1β protein content in hippocampal tissue at various time periods after subarachnoid haemorrhage in various groups of rats. ***: P<0.001; **: 0.001<P<0.01. IL-1β: interleukin-1β; SAH: subarachnoid haemorrhage; Sham: Sham operation.
表3  两组大鼠各时间点IL-1β表达情况比较
Tab. 3  Comparison of IL-1β expression at various time points between the two groups of rats

2.5 相关性分析

       海马体ADC值与IL-1β蛋白浓度及SAH严重程度评分呈负相关(r=-0.695,r=-0.624,P<0.001),与神经功能评分呈正相关(r=0.568,P<0.001);IL-1β蛋白浓度与神经功能评分呈负相关(r=-0.419,P<0.001),与SAH严重程度评分呈正相关(r=0.568,P<0.001);SAH严重程度评分与神经功能评分呈负相关性(r=-0.680,P<0.001)。具体结果见图4

图4  海马体ADC值与IL-1β蛋白浓度、神经功能评分及SAH严重程度评分的相关性分析图。ADC:表观扩散系数;IL-1β:白细胞介素-1β;SAH:蛛网膜下腔出血;Sham:假手术。
Fig. 4  Correlation analysis chart of hippocampal ADC values with IL-1β protein concentration, neurological function score, and SAH severity score. ADC: apparent diffusion coefficient; IL-1β:Interleukin-1β; SAH: subarachnoid haemorrhage; Sham: Sham operation.

2.6 病理结果

       大鼠脑大体观察:SAH 3 h组枕大池注血部位可见鲜红色液态血液及少量血凝块,新鲜血液沿蛛网膜下腔向四周扩散,覆盖小脑半球表面、脑干腹侧及枕叶底面。SAH 6 h组液转为暗红色,部分区域开始凝固,脑沟内形成薄层血凝膜,穿刺点周围可见血凝块沉积,呈颗粒状附着于脑膜表面。SAH 12 h组血液覆盖整个大脑凸面、基底池及脑干周围。SAH 24 h组血凝块向脑深部扩散,枕大池及大脑表面见较多陈旧的血凝块。SAH 48 h组大脑凸面血凝块开始收缩,脑沟轮廓部分显现,枕大池内血凝块仍占据大部分空间。SAH 72 h组枕大池未见明显血凝块。Sham组大脑表面未见明显血凝块。具体结果见图5

       在海马相关层面的HE染色冠状切片显微镜下观察海马细胞水肿及坏死情况,见图6

图5  SAH组与Sham组大鼠脑大体标本示意图。5A、5B:Sham组脑表面及枕大池区域无积血及血凝块;5C、5D:SAH组脑表面及枕大池区域发现积血及血凝块。SAH:蛛网膜下腔出血;Sham:假手术。
Fig. 5  Schematic diagram of the gross brain specimens of rats in the SAH and Sham groups. 5A, 5B: The brain surface and the region of the cisterna magna are free of hemorrhage and blood clots in the sham group; 5C, 5D: In contrast, hemorrhage and blood clots are observed in the brain surface and the region of the cisterna magna in the SAH group. SAH: subarachnoid haemorrhage; Sham: Sham operation.
图6  大鼠脑组织HE染色图片。Sham组(6A):神经元(白色箭头)排列整齐,形态正常;无水肿表现,血管形态正常,管壁无增厚,腔内无血栓或红细胞渗出(红色箭头),未见明显炎性细胞浸润;SAH组(6B):神经元(白色箭头)密度显著增高,细胞拥挤,部分神经元体积缩小,核深染,毛细血管(红色箭头)轻度扩张,内皮肿胀;SAH组(6C):神经元变性(白色箭头)、核固缩;毛细血管充血,部分血管内可见血栓(红色箭头),血管周围可见中性粒细胞(绿色箭头)浸润。HE:苏木精-伊红染色;SAH:蛛网膜下腔出血;Sham:假手术。
Fig. 6  HE staining image of brain tissues in rats. Sham group (6A): Neurons (indicated by white arrows) are arranged neatly and have normal morphology; there is no sign of edema. The blood vessels have normal morphology, with no thickening of the vessel walls and no thrombi or red blood cell extravasation within the lumen (indicated by red arrows). No significant inflammatory cell infiltration is observed; SAH group (6B): The density of neurons (indicated by white arrows) is significantly increased, with crowded cells. Some neurons show reduced cell volume and deeply stained nuclei. Capillaries (indicated by red arrows) are mildly dilated, with swollen endothelium; SAH group (6C): Neuronal degeneration (indicated by white arrows) and pyknosis of nuclei; capillary congestion with visible thrombi in some vessels (indicated by red arrows), and infiltration of neutrophils (indicated by green arrows) around the blood vessels. HE: hematoxylin-eosin; SAH: subarachnoid haemorrhage; Sham: Sham operation.

3 讨论

       本研究通过建立大鼠枕大池二次注血模型,结合多时间点MRI监测海马体ADC值,并同步评估神经功能评分及炎症因子IL-1β表达水平,系统分析了SAH后EBI阶段海马体损伤的时程特征。结果显示,SAH后12~24 h海马体ADC值显著降低,且IL-1β表达峰值与神经功能评分谷值同步出现,这表明该时段可能是海马体损伤的高峰期。本研究的创新点在于,通过多时间点系统分析大鼠SAH模型中EBI时期ADC值的动态变化,并同步监测炎症因子水平及神经功能评分,从磁共振影像学角度揭示早期脑损伤进程中的潜在变化规律,为后续解析其内在机制提供基础观测依据。临床价值方面,海马体 ADC 值有望成为预测SAH患者早期神经功能预后的潜在标志物,为精准把握干预窗口期的提供影像学支持。

3.1 SAH后EBI阶段不同时间点IL-1β的表达

       EBI是SAH后严重影响患者预后的关键阶段,其复杂的病理生理过程在出血后的数小时至数天内就会引发一系列有害变化,对脑实质造成不可逆的损害[24]。炎症反应在SAH后的早期脑损伤中起着关键作用,炎症反应还会吸引更多的免疫细胞浸润到脑组织中,进一步加重神经元的损伤[25, 26]。蛛网膜下腔的血液会激活免疫细胞,如小胶质细胞和巨噬细胞,它们会释放大量的炎性介质,如IL-1β、肿瘤坏死因子-α(TNF-α)和白细胞介素-6(IL-6)等[27]。这些炎性介质会导致血脑屏障的破坏,使血浆中的蛋白质和液体渗出到脑组织中,引起血管源性脑水肿[28]。其中,IL-1β是炎症反应的重要启动因子和介导者,在SAH后的炎症级联反应中处于核心位置。它能激活多种免疫细胞,促进其他炎症因子如TNF-α、IL-6等的释放,放大炎症反应,对血脑屏障的破坏、神经元损伤等病理过程产生重要影响[29]。本研究发现,SAH组大鼠海马体中炎症因子IL-1β自造模后3 h即开始升高,12 h达到表达峰值,此后虽呈逐渐下降趋势,但各时间点水平仍显著高于Sham组,提示SAH后IL-1β的持续异常表达对海马体存在损伤效应。与此同时,SAH组大鼠神经功能评分随时间推移显著降低,SAH严重程度评分则明显增高,且二者在12~24 h变化最为显著,提示该时段可能是SAH后海马体损伤的高峰期,进一步印证IL-1β与海马体损伤的关联。已有研究[30]表明,大鼠SAH后6~72 h会出现显著神经功能障碍、严重脑水肿及神经炎症反应,且IL-1β在出血后12 h达到表达峰值。

       既往研究多围绕炎症因子作用途径方面[31, 32, 33, 34]以及炎症因子抑制剂[29, 35]的研发与应用开展,而本研究则聚焦IL-1β这一代表性炎症因子,针对SAH后EBI时期对其进行动态监测与评估,能够更精准、全面地揭示EBI阶段IL-1β在海马体中的表达变化规律。

3.2 ADC值在SAH后EBI时期海马体损伤的应用

       MRI凭借其多序列成像的特点,能够从不同角度反映脑组织的生理和病理状态。其中,DWI及ADC值的测量对早期脑组织缺血具有极高的敏感性[36]。在SAH发生后,由于能量代谢障碍,细胞膜上的离子泵功能受损,导致细胞内水分子扩散受限。DWI可以检测到这种水分子扩散的变化,表现为高信号,而ADC值则能对水分子扩散的程度进行量化,缺血区域的ADC值会显著降低。与传统的影像学方法相比,功能成像能够在缺血发生后的数小时内检测到异常,为早期诊断和干预提供了宝贵的时间窗[37]。通过高分辨率的MRI扫描,可以清晰地显示海马体的形态和结构,而ADC值的测量则可以定量评估海马体内部的水分子扩散情况,从而准确判断海马体是否存在缺血损伤以及损伤的程度。

       本研究通过3、6、12、24、48、72 h多时间点追踪发现,SAH组海马体ADC值仅在12 h和24 h与Sham组差异具有统计学意义,且24 h时ADC值降至最低,48 h后逐步回升至接近Sham组水平。BUSCH等[38]研究发现,肝素化处理加剧出血后,全脑ADC值早期即下降且无恢复,非肝素化虽早期也出现ADC降低,但30 min后扩散异常程度逐渐减轻,这一研究表明了ADC的降低是可靠的,但是BUSCH等聚焦皮层ADC变化未关注海马体。研究[16, 39]发现,血液组和人工脑脊液(artificial cerebrospinal fluid, ACSF)组之间的海马体ADC值在第2天没有明显变化,本研究在该时间点与此相符,但是该研究仅设置的5 min、2天、7天离散时间点错过损伤高峰。本研究与另一项研究不一致,TIEBOSCH等[16]研究发现,在SAH发生后的第2天,同侧体感皮层区域观察到了ADC值的显著降低,这一现象的原因可能是体感皮层和海马体在功能和结构上的不同,体感皮层由于其位置和解剖结构的特点,可能更容易受到血液的直接影响。在一项犬双次SAH模型中,与正常对照相比,犬灰质和白质ADC值在第2天和第7天均显著增加。这似乎与本研究的结果相矛盾,但研究设计的根本差异可能解释了结果的差异,因为没有测量海马体ADC,并且存在动物模型的差异[40]。海马体容易受到SAH的影响,并且容易受到损伤[41, 42],这种损伤程度随SAH的严重程度而增加[43]。在本研究中组织学检测中观察到SAH组海马体神经元密度显著增高、细胞拥挤及核深染等多种损伤表现,考虑为SAH对海马体造成的损伤。海马体在学习、记忆和认知功能中起着核心作用,其神经元的损伤会导致患者出现认知障碍等严重的神经功能后遗症[44],Morris水迷宫实验发现,蛛网膜下腔出血与空间学习障碍有关[41]。本研究中,这种对特定区域的精准评估有助于深入研究SAH后神经功能障碍的发生机制,为开发针对性的治疗方法提供重要的影像学依据。

       从临床转化潜力来看,ADC值有望成为SAH后EBI时期海马体损伤评估及预后预测的潜在生物标志物。研究观察到,在SAH后的数小时内,脑内病变区域的ADC值就开始下降,尤其是在海马体等对缺血敏感的区域[17],SAH导致大量的长期神经认知缺陷,与海马体的神经炎症有关[45]。本研究中ADC值在12~24 h的显著降低,与IL-1β表达峰值、神经功能评分低谷、SAH严重程度评分高峰同步。由此猜测,12~24 h可能是细胞毒性水肿的主导阶段,三者在此时间段的同步损伤提示,IL-1β等炎症因子介导的炎症反应或许是该阶段病理改变的关键因素,也表明SAH后的神经损伤是多因素作用的结果。以IL-1β作为炎症反应的代表因子,其早期峰值与ADC值、神经功能的同步恶化,支持了“早期炎症控制可阻断后续损伤级联”的病理生理学假说[46],但是SAH后EBI时期病理机制仍然是个谜团,该机制仍需验证。

3.3 研究的局限性

       本研究仍有一定的局限性:(1)3.0 T磁场下DWI的扩散敏感度相对较低,对早期轻微细胞内水肿的检出敏感性不足,可能影响ADC值动态变化分析的精准度。因此,未来研究应考虑7.0 T动物专用高场强磁共振系统,提升海马体亚区损伤的可视化能力,更全面地反映细胞毒性水肿的分布与程度,为SAH后海马体损伤机制研究提供更精细的影像学依据。(2)大多数使用类似SAH模型的先前研究鲜有报道海马体并且报道称ADC没有或只有短暂(几分钟到几小时)变化。尽管ADC值具有潜在价值,但需在多中心临床研究中验证其作为预后标志物的可靠性,并建立标准化评估流程。(3)本研究关于海马体损伤的结论仅适用于枕大池出血这一特定造模方式,难以全面反映不同出血部位SAH对海马体的影响差异,今后应进一步研究。(4)本研究基于大鼠实验模型,其病理生理过程与人类SAH存在差异,需进一步验证。(5)海马体ADC值变化与小胶质细胞极化、血脑屏障修复等复杂机制的关系尚未完全阐明,需结合分子生物学技术深入探讨,同时并未对海马体进行分区做更精细的研究。(6)本研究没有分析其他可能的机制,例如远端血管自动调节障碍、微血栓、直接神经毒性作用、皮质扩散去极化和血脑屏障破坏[47, 48]

4 结论

       综上所述,本研究通过MRI评估了SAH大鼠模型在EBI时期ADC 值及IL-1β蛋白浓度的时程特征,同步评估神经功能评分及SAH严重程度评分。研究结果表明,ADC值与IL-1β蛋白浓度、神经功能评分及SAH严重程度评分相关,并观察到SAH后12~24 h的“损伤重合”现象,提示在EBI时期12~24 h可能是海马体损伤的高峰期。这些发现为临床评估SAH患者早期病情严重程度及个体化治疗方案提供了新的实验依据与影像学依据。未来需进一步探索其分子机制及临床转化路径,以提升SAH患者的预后管理水平。

[1]
ALFONSO M, AFTAB S, HAMADNEH T, et al. Understanding cognitive deficit after subarachnoid hemorrhage: a memory focused approach[J/OL]. Cureus, 2020, 12(11): e11513 [2025-04-27]. https://pubmed.ncbi.nlm.nih.gov/33354457/. DOI: 10.7759/cureus.11513.
[2]
LIU P, HAN C L, ZHANG T Y, et al. Alterations of oscillatory activity and cognitive function after aneurysmal subarachnoid hemorrhage[J]. Int J Surg, 2025, 111(2): 1919-1928. DOI: 10.1097/JS9.0000000000002190.
[3]
ROST N S, BRODTMANN A, PASE M P, et al. Post-stroke cognitive impairment and dementia[J]. Circ Res, 2022, 130(8): 1252-1271. DOI: 10.1161/CIRCRESAHA.122.319951.
[4]
KANAMARU H, KAWAKITA F, NISHIKAWA H, et al. Clarithromycin ameliorates early brain injury after subarachnoid hemorrhage via suppressing periostin-related pathways in mice[J]. Neurotherapeutics, 2021, 18(3): 1880-1890. DOI: 10.1007/s13311-021-01050-5.
[5]
YANG B S K, GUSDON A M, REN X S, et al. Update on strategies to reduce early brain injury after subarachnoid hemorrhage[J/OL]. Curr Neurol Neurosci Rep, 2024, 25(1): 14 [2025-04-27]. https://pubmed.ncbi.nlm.nih.gov/39722093/. DOI: 10.1007/s11910-024-01396-1.
[6]
HU J T, CHENG M X, JIANG C G, et al. Deferoxamine mitigates ferroptosis and inflammation in hippocampal neurons after subarachnoid hemorrhage by activating the Nrf2/TXNRD1 axis[J]. Mol Neurobiol, 2024, 61(2): 1044-1060. DOI: 10.1007/s12035-023-03525-2.
[7]
BRUNSER A M, MANSILLA E, NAVIA V, et al. Diffusion-weighted imaging as predictor of acute ischemic stroke etiology[J]. Arq Neuropsiquiatr, 2022, 80(4): 353-359. DOI: 10.1590/0004-282X-ANP-2021-0080.
[8]
LIU Y W, SOPPI V, MUSTONEN T, et al. Subarachnoid hemorrhage in the subacute stage: elevated apparent diffusion coefficient in normal-appearing brain tissue after treatment[J]. Radiology, 2007, 242(2): 518-525. DOI: 10.1148/radiol.2422051698.
[9]
SOLÁR P, ZAMANI A, LAKATOSOVÁ K, et al. The blood-brain barrier and the neurovascular unit in subarachnoid hemorrhage: molecular events and potential treatments[J/OL]. Fluids Barriers CNS, 2022, 19(1): 29 [2025-04-27]. https://pubmed.ncbi.nlm.nih.gov/35410231/. DOI: 10.1186/s12987-022-00312-4.
[10]
MICHINAGA S, KOYAMA Y. Pathogenesis of brain edema and investigation into anti-edema drugs[J]. Int J Mol Sci, 2015, 16(5): 9949-9975. DOI: 10.3390/ijms16059949.
[11]
OSTROWSKI R P, COLOHAN A R, ZHANG J H. Molecular mechanisms of early brain injury after subarachnoid hemorrhage[J]. Neurol Res, 2006, 28(4): 399-414. DOI: 10.1179/016164106X115008.
[12]
ROWLAND M J, GARRY P, EZRA M, et al. Early brain injury and cognitive impairment after aneurysmal subarachnoid haemorrhage[J/OL]. Sci Rep, 2021, 11(1): 23245 [2025-04-27]. https://pubmed.ncbi.nlm.nih.gov/34853362/. DOI: 10.1038/s41598-021-02539-x.
[13]
HOFMANN B B, DONALDSON D M, NEYAZI M, et al. Clinical outcome prediction of early brain injury in aneurysmal subarachnoid hemorrhage: the SHELTER-score[J]. Neurocrit Care, 2024, 40(2): 438-447. DOI: 10.1007/s12028-023-01879-y.
[14]
STRAGIER H, VANDERSMISSEN H, ORDIES S, et al. Pathophysiological mechanisms underlying early brain injury and delayed cerebral ischemia in the aftermath of aneurysmal subarachnoid hemorrhage: a comprehensive analysis[J/OL]. Front Neurol, 2025, 16: 1587091 [2025-04-27]. https://pubmed.ncbi.nlm.nih.gov/40488203/. DOI: 10.3389/fneur.2025.1587091.
[15]
BEAULIEU C, BUSCH E, DE CRESPIGNY A, et al. Spreading waves of transient and prolonged decreases in water diffusion after subarachnoid hemorrhage in rats[J]. Magn Reson Med, 2000, 44(1): 110-116. DOI: 10.1002/1522-2594(200007)44:1<110::aid-mrm16>3.0.co;2-n.
[16]
TIEBOSCH I A C W, VAN DEN BERGH W M, BOUTS M J R J, et al. Progression of brain lesions in relation to hyperperfusion from subacute to chronic stages after experimental subarachnoid hemorrhage: a multiparametric MRI study[J]. Cerebrovasc Dis, 2013, 36(3): 167-172. DOI: 10.1159/000352048.
[17]
WEIMER J M, JONES S E, FRONTERA J A. Acute cytotoxic and vasogenic edema after subarachnoid hemorrhage: a quantitative MRI study[J]. AJNR Am J Neuroradiol, 2017, 38(5): 928-934. DOI: 10.3174/ajnr.A5181.
[18]
CHEN F X, CAI J W, DAI L S, et al. Altered hippocampal functional connectivity after the rupture of anterior communicating artery aneurysm[J/OL]. Front Aging Neurosci, 2022, 14: 997231 [2025-04-27]. https://pubmed.ncbi.nlm.nih.gov/36420312/. DOI: 10.3389/fnagi.2022.997231.
[19]
LI X P, ZENG L, LU X Z, et al. Early brain injury and neuroprotective treatment after aneurysmal subarachnoid hemorrhage: a literature review[J/OL]. Brain Sci, 2023, 13(7): 1083 [2025-04-27]. https://pubmed.ncbi.nlm.nih.gov/37509013/. DOI: 10.3390/brainsci13071083.
[20]
TSO M K, MACDONALD R L. Subarachnoid hemorrhage: a review of experimental studies on the microcirculation and the neurovascular unit[J]. Transl Stroke Res, 2014, 5(2): 174-189. DOI: 10.1007/s12975-014-0323-4.
[21]
LLULL L, SANTANA D, MOSTEIRO A, et al. Blood-brain barrier disruption predicts poor outcome in subarachnoid hemorrhage: a dynamic contrast-enhanced MRI study[J]. Stroke, 2025, 56(9): 2633-2643. DOI: 10.1161/STROKEAHA.125.051455.
[22]
ZHU K Y, BI S J, ZHU Z C, et al. Edaravone dexborneol attenuates oxidative stress in experimental subarachnoid hemorrhage via Keap1/Nrf2 signaling pathway[J/OL]. Front Pharmacol, 2024, 15: 1342226 [2025-04-27]. https://pubmed.ncbi.nlm.nih.gov/38873422/. DOI: 10.3389/fphar.2024.1342226.
[23]
SHISHIDO H, EGASHIRA Y, OKUBO S, et al. A magnetic resonance imaging grading system for subarachnoid hemorrhage severity in a rat model[J/OL]. J Neurosci Meth, 2015, 243: 115-119 [2025-04-27]. https://pubmed.ncbi.nlm.nih.gov/25677406/. DOI: 10.1016/j.jneumeth.2015.01.035.
[24]
KANG J L, TIAN S L, ZHANG L, et al. Ferroptosis in early brain injury after subarachnoid hemorrhage: review of literature[J/OL]. Chin Neurosurg J, 2024, 10(1): 6 [2025-04-27]. https://pubmed.ncbi.nlm.nih.gov/38347652/. DOI: 10.1186/s41016-024-00357-4.
[25]
CORRIGAN F, MANDER K A, LEONARD A V, et al. Neurogenic inflammation after traumatic brain injury and its potentiation of classical inflammation[J/OL]. J Neuroinflammation, 2016, 13(1): 264 [2025-04-27]. https://pubmed.ncbi.nlm.nih.gov/27724914/. DOI: 10.1186/s12974-016-0738-9.
[26]
KIM J H, MICHIKO N, CHOI I S, et al. Aberrant activation of hippocampal astrocytes causes neuroinflammation and cognitive decline in mice[J/OL]. PLoS Biol, 2024, 22(7): e3002687 [2025-04-27]. https://pubmed.ncbi.nlm.nih.gov/38991663/. DOI: 10.1371/journal.pbio.3002687.
[27]
YANG L, WU J P, ZHANG F, et al. Microglia aggravate white matter injury via C3/C3aR pathway after experimental subarachnoid hemorrhage[J/OL]. Exp Neurol, 2024, 379: 114853 [2025-04-27]. https://pubmed.ncbi.nlm.nih.gov/38866102/. DOI: 10.1016/j.expneurol.2024.114853.
[28]
ALSBROOK D L, DI NAPOLI M, BHATIA K, et al. Neuroinflammation in acute ischemic and hemorrhagic stroke[J]. Curr Neurol Neurosci Rep, 2023, 23(8): 407-431. DOI: 10.1007/s11910-023-01282-2.
[29]
SOZEN T, TSUCHIYAMA R, HASEGAWA Y, et al. Role of interleukin-1beta in early brain injury after subarachnoid hemorrhage in mice[J]. Stroke, 2009, 40(7): 2519-2525. DOI: 10.1161/STROKEAHA.109.549592.
[30]
梁兆俊, 袁雨, 李佳仪, 等. 大鼠蛛网膜下腔出血早期脑损伤及炎症反应特点[J]. 中国医科大学学报, 2020, 49(1): 62-66. DOI: 10.12007/j.issn.0258-4646.2020.01.014.
LIANG Z J, YUAN Y, LI J Y, et al. Characteristics of early brain injury and inflammatory response in rats after subarachnoid hemorrhage[J]. J China Med Univ, 2020, 49(1): 62-66. DOI: 10.12007/j.issn.0258-4646.2020.01.014.
[31]
XU P F, TAO C R, ZHU Y Y, et al. TAK1 mediates neuronal pyroptosis in early brain injury after subarachnoid hemorrhage[J/OL]. J Neuroinflammation, 2021, 18(1): 188 [2025-04-27]. https://pubmed.ncbi.nlm.nih.gov/34461942/. DOI: 10.1186/s12974-021-02226-8.
[32]
LI F, ZHANG W F, WANG M, et al. The effect and clinical implications of IL-1β on the development of aneurysmal subarachnoid hemorrhage[J/OL]. Clin Lab, 2024, 70(11) [2025-04-27]. https://pubmed.ncbi.nlm.nih.gov/39506594/. DOI: 10.7754/Clin.Lab.2024.240608.
[33]
ZHANG J, NIE Y, PANG Q N, et al. Effects of stellate ganglion block on early brain injury in patients with subarachnoid hemorrhage: a randomised control trial[J/OL]. BMC Anesthesiol, 2021, 21(1): 23 [2025-04-27]. https://pubmed.ncbi.nlm.nih.gov/33472582/. DOI: 10.1186/s12871-020-01215-3.
[34]
KAJIMOTO R, IGARASHI T, MORO N, et al. Glibenclamide reduces secondary brain injury in a SAH rat model by reducing brain swelling and modulating inflammatory response[J]. J Neurosurg Sci, 2023, 67(4): 431-438. DOI: 10.23736/S0390-5616.22.05271-7.
[35]
ZHENG Y H, TANG W W, ZENG H H, et al. Probenecid-blocked pannexin-1 channel protects against early brain injury via inhibiting neuronal AIM2 inflammasome activation after subarachnoid hemorrhage[J/OL]. Front Neurol, 2022, 13: 854671 [2025-04-27]. https://pubmed.ncbi.nlm.nih.gov/35401398/. DOI: 10.3389/fneur.2022.854671.
[36]
AGGARWAL V, SHARMA A, SINHA V D. Role of diffusion-weighted imaging in detecting early ischemic brain injury following aneurysmal subarachnoid hemorrhage[J]. Asian J Neurosurg, 2018, 13(4): 1074-1077. DOI: 10.4103/ajns.AJNS_73_17.
[37]
ROBERTS T P L, ROWLEY H A. Diffusion weighted magnetic resonance imaging in stroke[J]. Eur J Radiol, 2003, 45(3): 185-194. DOI: 10.1016/s0720-048x(02)00305-4.
[38]
BUSCH E, BEAULIEU C, DE CRESPIGNY A, et al. Diffusion MR imaging during acute subarachnoid hemorrhage in rats[J]. Stroke, 1998, 29(10): 2155-2161. DOI: 10.1161/01.str.29.10.2155.
[39]
SUN Y, SHEN Q, WATTS L T, et al. Multimodal MRI characterization of experimental subarachnoid hemorrhage[J/OL]. Neuroscience, 2016, 316: 53-62 [2025-04-27]. https://pubmed.ncbi.nlm.nih.gov/26708744/. DOI: 10.1016/j.neuroscience.2015.12.027.
[40]
JADHAV V, SUGAWARA T, ZHANG J, et al. Magnetic resonance imaging detects and predicts early brain injury after subarachnoid hemorrhage in a canine experimental model[J]. J Neurotrauma, 2008, 25(9): 1099-1106. DOI: 10.1089/neu.2008.0518.
[41]
HAN S M, WAN H, KUDO G, et al. Molecular alterations in the hippocampus after experimental subarachnoid hemorrhage[J]. J Cereb Blood Flow Metab, 2014, 34(1): 108-117. DOI: 10.1038/jcbfm.2013.170.
[42]
SABRI M, AI J, LAKOVIC K, et al. Mechanisms of microthrombi formation after experimental subarachnoid hemorrhage[J/OL]. Neuroscience, 2012, 224: 26-37 [2025-04-27]. https://pubmed.ncbi.nlm.nih.gov/22902542/. DOI: 10.1016/j.neuroscience.2012.08.002.
[43]
YAMADA H, KASE Y, OKANO Y, et al. Subarachnoid hemorrhage triggers neuroinflammation of the entire cerebral cortex, leading to neuronal cell death[J/OL]. Inflamm Regen, 2022, 42(1): 61 [2025-04-27]. https://pubmed.ncbi.nlm.nih.gov/36514181/. DOI: 10.1186/s41232-022-00236-4.
[44]
CHANDRA S, SHARMA S, CHAUDHURI R, et al. Episodic and associative memory from spatial scaffolds in the hippocampus[J]. Nature, 2025, 638(8051): 739-751. DOI: 10.1038/s41586-024-08392-y.
[45]
CHEN P, LIN M H, LI Y X, et al. Bexarotene enhances astrocyte phagocytosis via ABCA1-mediated pathways in a mouse model of subarachnoid hemorrhage[J/OL]. Exp Neurol, 2022, 358: 114228 [2025-04-27]. https://pubmed.ncbi.nlm.nih.gov/36108713/. DOI: 10.1016/j.expneurol.2022.114228.
[46]
COULIBALY A P, PROVENCIO J J. Aneurysmal subarachnoid hemorrhage: an overview of inflammation-induced cellular changes[J]. Neurotherapeutics, 2020, 17(2): 436-445. DOI: 10.1007/s13311-019-00829-x.
[47]
ØSTERGAARD L, AAMAND R, KARABEGOVIC S, et al. The role of the microcirculation in delayed cerebral ischemia and chronic degenerative changes after subarachnoid hemorrhage[J]. J Cereb Blood Flow Metab, 2013, 33(12): 1825-1837. DOI: 10.1038/jcbfm.2013.173.
[48]
MACDONALD R L. Delayed neurological deterioration after subarachnoid haemorrhage[J]. Nat Rev Neurol, 2014, 10(1): 44-58. DOI: 10.1038/nrneurol.2013.246.

上一篇 基于DCE-MRI多参数影像组学模型分析中轴型脊柱关节炎炎症活动性的初步研究
下一篇 应用压缩感知黄金角径向稀疏平行采样序列优化方案提升屏气不佳患者肝脏动态增强磁共振成像质量的初步研究
  
诚聘英才 | 广告合作 | 免责声明 | 版权声明
联系电话:010-67113815
京ICP备19028836号-2