分享:
分享到微信朋友圈
X
临床研究
基于深度学习分割肿瘤区域的影像组学特征预测直肠癌区域淋巴结状态
赵婉婷 李婉清 郝勇飞 乔小爱 侯国瑞 杜少华 张广文 张劲松

Cite this article as: ZHAO W T, LI W Q, HAO Y F, et al. Prediction of regional lymph node status in rectal cancer with radiomics features based on deep learning segmented tumor area[J]. Chin J Magn Reson Imaging, 2025, 16(10): 60-67.本文引用格式:赵婉婷, 李婉清, 郝勇飞, 等. 基于深度学习分割肿瘤区域的影像组学特征预测直肠癌区域淋巴结状态[J]. 磁共振成像, 2025, 16(10): 60-67. DOI:10.12015/issn.1674-8034.2025.10.010.


[摘要] 目的 探讨基于深度学习的肿瘤自动分割与影像组学在预测直肠癌区域淋巴结转移中的应用价值。材料与方法 回顾性纳入了两种磁共振设备采集的282例直肠癌患者的T2加权成像(T2-weighted imaging, T2WI)和扩散加权成像(diffusion weighted imaging, DWI)图像。分别基于3D U-Net、3D V-Net和nnU-Net v2构建深度学习自动分割模型,计算Dice相似系数(dice similarity coefficient, DSC)对其性能进行评估。影像组学特征分别从基于人工分割的感兴趣区(manual-based volume of interest, MbV)以及基于深度学习自动分割的感兴趣区(deep learning-based volume of interest, DbV;选取DSC最高的模型结果)中提取。在完成特征归一化与筛选后,使用五种机器学习算法建立影像组学模型,预测直肠癌淋巴结转移风险。最终通过计算影像组学模型曲线下面积(area under the curve, AUC)、准确率、特异度和敏感度等指标对模型性能进行全面评估。结果 在直肠癌自动分割测试集中,nnU-Net v2的DSC显著高于3D U-Net和3D V-Net(T2WI:0.886 vs. 0.548 vs. 0.616,P<0.001;DWI:0.906 vs. 0.583 vs. 0.433,P<0.001)。在淋巴结转移预测方面,采用逻辑回归算法并基于DbV的影像组学模型性能与相应基于MbV的影像组学模型性能大致相当,差异无统计学意义(T2WI:0.700 vs. 0.633,P=0.638;DWI:0.667 vs. 0.700,P=0.544;T2WI+DWI:0.800 vs. 0.833,P=0.248)。结论 基于nnU-net v2分割肿瘤区域的影像组学特征(T2WI和DWI)可以有效预测直肠癌淋巴结转移。
[Abstract] Objective To predict regional lymph node metastasis (LNM) in rectal cancer (RC) using deep learning-based tumor auto-segmentation and radiomics.Materials and Methods This single-center research retrospectively analyzed T2WI and DWI of 282 rectal cancers from two MR scanners. The deep learning-based auto-segmentation models were constructed on T2WI and DWI with 3D U-Net, 3D V-Net, and nnU-Net v2 and assessed with the dice similarity coefficient (DSC). Radiomics features on manual-based volume of interest (MbV) and deep learning-based volume of interest (DbV, with the highest DSC) were extracted respectively. After feature normalization and selection, five machine learning algorithms were used for radiomics model building and then for LNM prediction. The optimal model was evaluated with area under the curve (AUC), accuracy, specificity, and sensitivity.Results The DSC of the nnU-Net v2 was significantly higher than that of the 3D U-Net and 3D V-Net (T2WI: 0.886 vs. 0.548 vs. 0.616, P < 0.001; DWI: 0.906 vs. 0.583 vs. 0.433, P < 0.001) in test set. The AUC of DbV based-radiomics models constructed with logistic regression algorithm were comparable to those of the corresponding MbV-based radiomics models (T2WI: 0.700 vs. 0.633, P = 0.638; DWI: 0.667 vs. 0.700, P = 0.544; T2WI + DWI: 0.800 vs. 0.833, P = 0.248) in LNM prediction in validation set.Conclusions Radiomics features of T2WI and DWI based on nnU-net v2 segmented tumor area showed a reliable performance in predicting LNM in RC.
[关键词] 直肠癌;深度学习;影像组学;磁共振成像;淋巴结转移
[Keywords] rectal cancer;deep learning;radiomics;magnetic resonance imaging;lymph node metastasis

赵婉婷    李婉清    郝勇飞    乔小爱    侯国瑞    杜少华    张广文    张劲松 *  

空军军医大学西京医院放射诊断科,西安 710032

通信作者:张劲松,E-mail:stspine@163.com

作者贡献声明:张劲松设计本研究的方案,参与数据收集、整理、分析及结果解释,对稿件重要内容进行了修改,获得了国家自然科学基金项目及西京医院临床新技术项目资助;赵婉婷起草和撰写稿件,获取、分析和解释本研究的数据;郝勇飞、李婉清、乔小爱参与设计本研究的方案,对稿件重要内容进行了修改,获取、解释本研究的数据;侯国瑞以及杜少华获取、分析和解释本研究的数据,对稿件重要内容进行了修改;张广文参与本研究的数据收集及统计分析,并对稿件重要内容进行核对、修改;全体作者都同意发表最后的修改稿,同意对本研究的所有方面负责,确保本研究的准确性和诚信。


基金项目: 国家自然科学基金项目 82371918 西京医院临床新技术项目 2024XJSY43
收稿日期:2025-07-30
接受日期:2025-10-10
中图分类号:R445.2  R735.37 
文献标识码:A
DOI: 10.12015/issn.1674-8034.2025.10.010
本文引用格式:赵婉婷, 李婉清, 郝勇飞, 等. 基于深度学习分割肿瘤区域的影像组学特征预测直肠癌区域淋巴结状态[J]. 磁共振成像, 2025, 16(10): 60-67. DOI:10.12015/issn.1674-8034.2025.10.010.

0 引言

       目前在全球癌症中,结直肠癌的发病率位居第三,死亡率则居第二[1]。直肠癌患者的区域淋巴结状态是制订治疗策略和评估预后的重要依据[2]。研究表明,无淋巴结转移患者的5年生存率可达70%~80%,而存在淋巴结转移的患者其5年生存率则下降至30%~60%[3, 4, 5]。美国国立综合癌症网络(national comprehensive cancer network, NCCN)直肠癌指南建议:区域淋巴结转移的患者应接受新辅助治疗,而未接受新辅助治疗且行全直肠系膜切除术的患者术后需对至少12枚淋巴结进行病理检查[6]。目前,直肠癌治疗前的淋巴结状态评估主要依赖于影像学检查。影像学评估通常依据淋巴结的大小(短轴直径)及其形态特征(如形状、边缘及内部信号强度)进行判断。MRI诊断淋巴结转移的敏感度和特异度分别为66%和76%,而计算机体层成像(computed tomography, CT)诊断淋巴结转移的敏感度和特异度分别为55%和74%[7, 8, 9]。传统影像学方法在诊断准确性方面仍存在不足,主要受限于良恶性淋巴结在影像特征上的重叠性以及评估过程中的主观因素影响[10]。因此,提高直肠癌淋巴结转移诊断的准确性,对于推动个体化治疗和改善患者临床预后具有重要意义。

       影像组学能通过自动化、高通量方法从影像数据中提取大量定量特征[11, 12],进而对疾病进行诊断、疗效评估及预后分析等。目前多数直肠癌相关影像组学研究依赖人工[13, 14, 15]或半自动[16]方法分割肿瘤区域,而这些分割方法耗时且需要操作者具备丰富的解剖知识。因此,在处理复杂成像场景的图像时,往往会导致肿瘤分割效果不佳、影像组学特征提取的可重复性降低[17]。近年来,深度学习推动了医学图像自动分割领域的快速发展,该技术具备高效、便捷和减少观察者间差异的优势,并已在脑部[18]、前列腺[19]和肺部肿瘤[20]等病灶分割中表现出色。然而,现有研究尚未充分探索深度学习自动分割与影像组学在直肠癌淋巴结转移预测中的协同效应。基于此,本研究提出了一种深度学习与影像组学相结合的直肠癌区域淋巴结转移预测流程,期望能够提高直肠癌区域淋巴结预测的效率及准确度。

1 材料与方法

1.1 研究对象

       本研究遵守《赫尔辛基宣言》,经西京医院伦理委员会批准,免除受试者知情同意,批准文号:KY20233011-1号。回顾性纳入了2017年1月至2022年12月期间在西京医院接受骨盆MRI检查的373名患者。纳入标准:(1)经病理确诊(包括活检或手术)为直肠癌;(2)术前两周内进行了盆腔MRI检查。排除标准:(1)存在多个肿瘤病灶;(2)患有其他类型的直肠癌,如黏液腺癌、神经内分泌癌或恶性黑色素瘤;(3)图像质量不佳(如出现严重伪影或图像变形);(4)有骨盆区域手术史。最终共有282名患者被纳入研究。

1.2 研究方法

       本研究分为两个阶段(图1):第一阶段为基于深度学习模型的肿瘤自动分割研究,第二阶段为基于人工和自动分割区域的影像组学特征提取和淋巴结预测模型构建研究。在阶段一中,将设备1采集的无淋巴结病理检测结果的患者数据(n=116)指定为自动分割的训练集,而将设备1采集的有淋巴结病理检测结果的数据(n=102)指定为自动分割的验证集,设备2采集的所有数据(n=64)指定为自动分割研究的测试集。在阶段二中,将设备1采集的有淋巴结病理检测结果的数据(n=102)定义为影像组学研究的训练集,将设备2采集的有淋巴结病理检测结果的数据(n=30)定义为影像组学研究的验证集。其中,有淋巴结病理结果指的是患者术前未接受任何抗肿瘤治疗而直接进行全直肠系膜切除术,且术后淋巴结病理检测数目不少于12枚。

图1  研究流程图。
Fig. 1  Flowchart of the experimental procedure.

1.3 仪器与方法

       本研究使用两台3.0 T MR扫描仪(美国GE Discovery MR750 3.0 T MR扫描仪,德国Simens TrioTim 3.0 T MR扫描仪),均采用8通道腹部相控阵线圈进行盆腔MRI。患者于检查前一天晚餐后禁食,并口服番泻叶溶液进行肠道准备。患者检查时呈仰卧位,扫描定位中心点为双侧髂前上棘连线中心与耻骨联合连线的中点。两台扫描仪序列一致,包括轴位T1WI平扫,斜轴位小视野快速恢复快速自旋回波T2WI(fast recovery fast spin echo small field of view T2-weighted imaging, FRFSE Small FOV T2WI)及扩散加权成像(diffusion-weighted imaging, DWI)(b=0、1000 s/mm2)。具体扫描参数见表1

表1  MRI序列扫描参数
Tab. 1  MRI scan sequence parameters

1.4 图像人工分割

       将直肠癌患者术前MRI图像导入ITK-SNAP软件(版本4.2.0,https://sourceforge.net/projects/itk-snap/source=directory),由一名具有8年腹部影像诊断经验的主治医师分别在T2WI和DWI上逐层手动勾画肿瘤。除肿瘤区域外,在T2WI上还手动勾画了相邻的正常直肠壁和腔内区域,而在DWI上标注了磁敏感伪影。然后由一名具有30年腹部影像诊断经验的主任医师进行审核,以确保人工勾画的准确性与可靠性。最终经过审核的人工勾画区域作为自动分割网络训练的金标准。由于使用了不同的MRI扫描仪,所有磁共振图像都进行了预处理,包括重采样、裁剪以确保区域大小匹配及调整灰度值分布。考虑到所采用的分割网络对输入尺寸的限制,原始T2WI和DWI图像被统一重采样为128×128×32的大小,对应的空间分辨率为0.4 mm×0.4 mm×3.3 mm。图像灰度值在[0,1]区间内进行了线性归一化处理。由于训练样本数量有限,本研究通过随机旋转、水平/垂直翻转等方法对原始数据进行了增强处理,以扩充训练集规模并提升模型的泛化能力。

1.5 基于深度学习的肿瘤自动分割

       分别在T2WI和DWI上对三种深度学习架构(3D U-Net、3D V-Net、nnU-Net v2)在直肠癌分割中的应用进行了研究。放射科医生手工标注的肿瘤区域作为模型训练和验证的基准。鉴于篇幅所限,本文重点将nnU-Net v2的网络架构及重要训练参数介绍如下。3D U-Net和3D V-Net网络架构和参数可参考SHAUKAT等[21]和MILLETARI等[22]的研究。nnU-Net v2是一种先进的、具备自我配置能力的生物医学图像分割框架[23]。数据预处理采用nnU-Net v2提供的DefaultPreprocessor模块,并应用了Z-score标准化方法。输入图像的中位尺寸设定为512.0,440.5,512.0,补丁大小为128,128,128,空间分辨率设定为(0.6,0.5,0.6)mm。训练过程中采用3D全分辨率建模策略,所使用的网络结构为nnU-Net v2中的PlainConvUNet,共包含6个编码与解码阶段。各阶段的特征图通道数依次为32、64、128、256、320、320,并采用3D卷积操作。每个阶段包含两个卷积层,通过调整卷积步长有效降低空间维度。优化器选用随机梯度下降,学习率为0.01,动量设为0.99,权重衰减系数为3×10⁻⁵。批量大小设置为2,并启用了深度监督机制以增强训练过程中的梯度传播效果。本研究采用交叉熵损失函数以优化多组织类别的分割性能。模型训练在支持CUDA 10.2的NVIDIA RTX 2080S GPU(8 GB)设备上进行,训练周期设定为500轮。通过Dice相似系数(dice similarity coefficient, DSC)来评估分割模型的性能。

1.6 影像组学特征提取和筛选

       本研究建立了6个模态数据集:T2WI+基于人工分割的感兴趣区(manual-based volume of interest, MbV)、T2WI+基于深度学习自动分割的感兴趣区(deep learning-based volume of interest, DbV)、DWI+MbV、DWI+DbV、T2WI+DWI+MbV以及T2WI+DWI+DbV。使用PyCharm软件的Pyradiomics包在不同数据集上提取影像组学特征。采用Z-score法对特征进行标准化处理后,利用U检验识别非转移性和转移性淋巴结组之间存在显著差异的特征。采用Pearson方法消除强相关特征(r>0.9)。在单模态中,利用最小冗余最大相关(minimum redundancy maximum relevance, mRMR)和最小绝对收缩和选择算子(least absolute shrinkage and selection operator, LASSO)来识别构建模型的最佳特征;而针对多模态(T2WI+DWI+MbV和T2WI+DWI+DbV)数据,在使用mRMR和LASSO方法筛选单模态数据保留的特征集上,再采用递归特征消除(recursive feature elimination, RFE)进一步筛选高度相关特征并减少数据维度,最终使模型保留的特征不高于训练集样本量的1/10,防止模型过拟合。

1.7 模型构建与评估

       基于最终保留的影像组学特征,研究采用五种机器学习算法,包括逻辑回归(logistic regression, LR)、支持向量机(support vector machines, SVM)、随机森林(random forest, RF)、K近邻(K-nearest neighbor, KNN)和分类回归树(classification and regression tree, CART),基于训练集中6种模态下的最优特征共计构建了30个影像组学模型。训练集采用5折交叉验证策略筛选最优模型,在验证集中进行性能评估。

1.8 统计学分析

       所有统计分析均使用SPSS 26.0、PyCharm(版本2023,Python版本3.0)和R软件(v4.4.1,https://www.Rproject.org)进行。计量资料(年龄)在进行正态性分布检测后符合正态分布并表示为均值±标准差,采用独立样本t检验比较组间差异。计数资料[性别、病理T分期(pT分期)、病理N分期(pN分期)]表示为数量(百分比),采用卡方检验比较组间差异。使用DSC评估三种深度学习架构(3D U-Net、3D V-Net和nnU-Net v2)在肿瘤分割中的性能。采用Friedman检验并结合Bonferroni校正法,对3D U-Net、3D V-Net和nnU-Net v2的DSC值进行比较。绘制影像组学模型的受试者工作特征(receiver operating characteristic, ROC)曲线,通过计算曲线下面积(area under the curve, AUC)、准确率、敏感度和特异度来评估影像组学模型预测术前淋巴结状态的性能。采用DeLong检验比较基于人工和自动分割区域(来自相同成像模态)构建的影像组学模型的AUC值的差异。双侧P值<0.05为差异具有统计学意义。

2 结果

2.1 一般资料

       所有患者的中位年龄为61岁(范围:28~88岁)。在研究阶段一中,训练集、验证集和测试集之间在临床和人口统计学特征(年龄:χ2=5.114,P=0.078;性别:χ2=1.560,P=0.458)方面均未发现差异具有统计学意义。表2展示了阶段二训练集(设备1,n=102)和验证集(设备2,n=30)的临床和人口统计学特征分布,其中,训练集和验证集之间pN分期的差异无统计学意义(P=0.650)。

表2  训练集和验证集临床资料比较
Tab. 2  Comparison of clinical data between the training set and the validation set

2.2 自动分割模型性能

       基于深度学习自动分割的肿瘤区域代表性示例见图2图3总结了三个深度学习模型在每个数据集中的分割性能。在测试集中,nnU-Net v2在T2WI(0.886±0.112,0.548±0.743,0.616±0.101,P <0.001)和DWI(0.906±0.065,0.583±0.187,0.433±0.166,P<0.001)图像上分割直肠癌的DSC值均显著高于3D U-Net和3D V-Net。因此,选择nnU-Net v2分割的肿瘤区域用于进一步分析。

图2  女,56 岁,直肠癌。展示了T2WI(上排)与DWI(下排)图像中肿瘤分割的示例结果。其中,肿瘤区域用红色标出,正常直肠壁用绿色标出,管腔则用蓝色标出。DWI:扩散加权成像;DSC:Dice 相似系数。
Fig. 2  Female, 56 years old, rectal cancer. Example of tumor segmentation on T2WI (upper row) and DWI (lower row). The tumor is delineated in red the normal rectal wall is delineated in green, and the lumen is delineated in blue. DWI: diffusion weighted imaging; DSC: dice similarity coefficient.
图3  深度学习自动分割模型在T2WI(3A~3C)和DWI(3D~3F)图像上分割直肠癌病灶的性能。纵坐标为Dice值,数值越接近1,表示模型的分割性能越高,横坐标为3种深度学习自动分割模型。在各数据集中,nnU-net v2的分割性能均优于3D U-net和3D V-net。统计分析采用Friedman检验,并通过Bonferroni校正法调整显著性值。DWI:扩散加权成像。
Fig. 3  The performance of deep learning automatic segmentation models in delineating rectal cancer lesions on T2WI (3A-3C) and DWI (3D-3F). The horizontal axis corresponds to three deep learning automatic segmentation models. The vertical axis represents the dice similarity coefficient, where values closer to 1 indicate superior segmentation performance of the model. In all datasets, the segmentation performance of nnU-Net v2 is consistently superior to that of both the 3D U-Net and 3D V-Net. The Friedman test is used with Bonferroni posthoc testing. DWI: diffusion weighted imaging

2.3 基于影像组学模型预测淋巴结转移

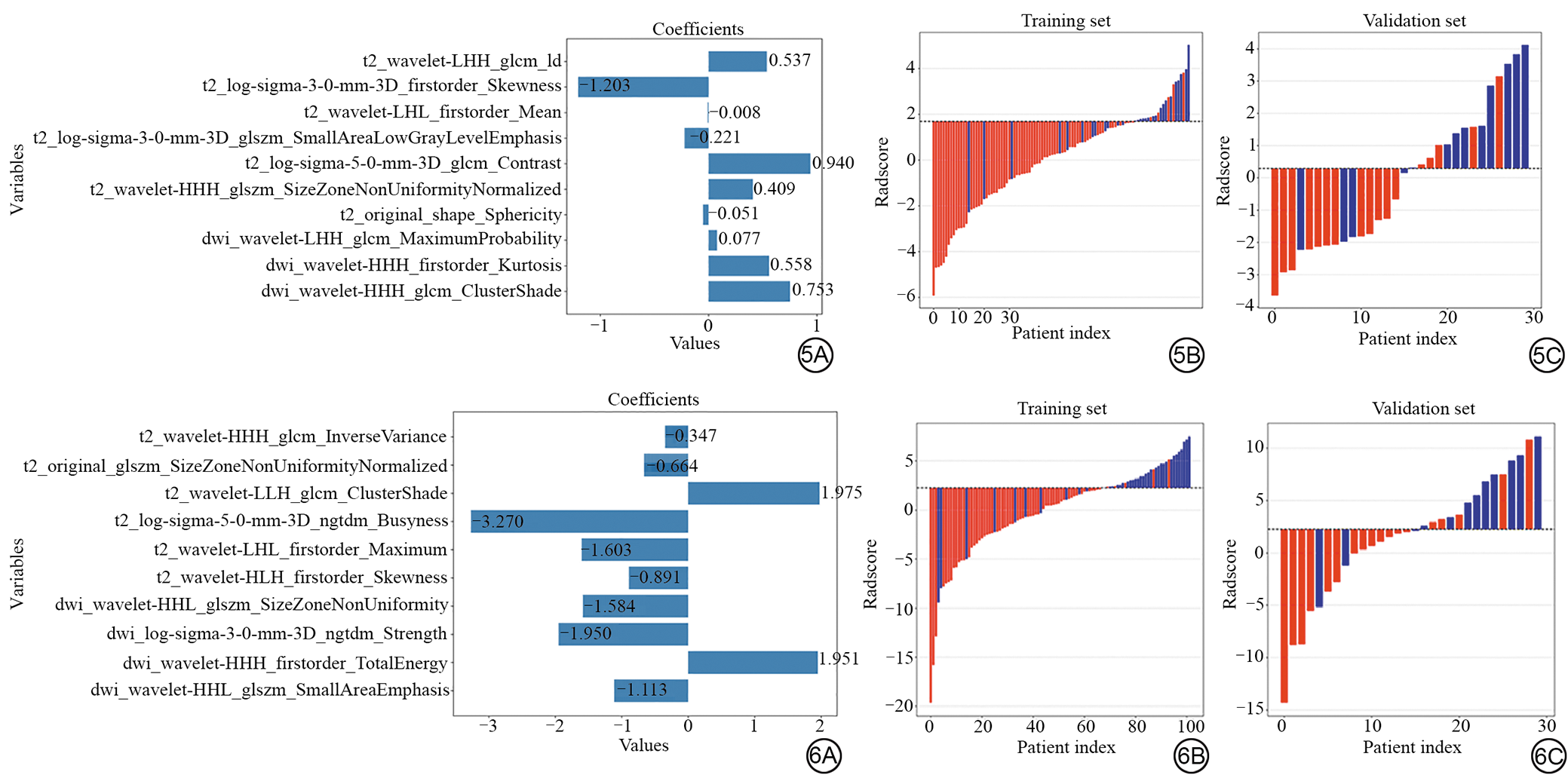
       分别基于MbV或DbV从每种MRI序列(T2WI和DWI)中各提取1036个影像组学特征。经过特征降维和选择后,6种数据集(T2WI+MbV、T2WI+DbV、DWI+MbV、DWI+DbV、T2WI+DWI+MbV和T2WI+DWI+DbV)中剩余的特征数量分别为9(2个形态学特征、4个小波特征、1个一阶直方图特征、2个纹理特征)、10(1个形态学特征、5个小波特征、1个一阶直方图特征、3个纹理特征)、11(8个小波特征、1个一阶直方图特征、2个纹理特征)、8(7个小波特征、1个纹理特征)、10 [7个T2图像特征(1个形态学特征、1个一阶直方图特征、2个纹理特征、3个小波特征)和3个DWI图像特征(3个小波特征)]、10 [6个T2WI图像特征(4个小波特征、2个纹理特征)和4个DWI图像特征(3个小波特征、1个纹理特征)]。在共计30个预测模型中,基于T2WI+DWI+MbV数据集并采用LR机器学习算法的模型在验证集的预测性能最佳(表3图4)。影像组学特征系数图及影像组学评分图见图5, 图6。对于相同的模态,基于DbV和MbV的影像组学模型性能非常接近,差异无统计学意义(DeLong检验,P均>0.05)。

图4  训练集(4A)和验证集(4B)中使用逻辑回归构建的影像组学模型预测淋巴结转移状态的ROC曲线。ROC:受试者工作特征;DWI:扩散加权成像;MbV:基于人工分割的感兴趣区;DbV:基于nnU-Net v2自动分割的感兴趣区。
Fig. 4  The receiver operating characteristics (ROC) curve of each radiomics-based model for lymph node metastasis prediction with LR in the training set (4A) and validation set (4B). ROC: receiver operating characteristics; DWI: diffusion weighted imaging; MbV: manual-based volume of interest; DbV: The volume of interest automatically segmented by nnU-Net v2.
图5  采用逻辑回归算法基于T2WI+DWI+MbV数据集构建的模型保留的最优特征权重系数图(5A),训练集(5B)和验证集各样本影像组学评分(5C)。
图6  采用逻辑回归算法基于T2WI+DWI+DbV数据集构建的模型保留的最优特征权重系数图(6A),训练集(6B)和验证集各样本影像组学评分(6C)。影像组学评分图中红色代表淋巴结转移阴性,蓝色代表淋巴结转移阳性。DWI:扩散加权成像;MbV:基于人工分割的感兴趣区;DbV:基于nnU-Net v2自动分割的感兴趣区。
Fig. 5  The optimal feature weight coefficient map (5A) of the model, which is constructed using the logistic regression algorithm based on the T2WI + DW I+ MbV dataset, along with the rad-score plot in the training (5B) and validation set (5C).
Fig. 6  The optimal feature weight coefficient map (6A) of the model, which is constructed using the logistic regression algorithm based on the T2WI + DWI + DbV dataset, along with the rad-score plot in the training (6B) and validation set (6C). Red represents negative lymph nodes, and blue represents positive lymph nodes in the Rad-score plot. DWI: diffusion weighted imaging; MbV: manual-based volume of interest; DbV: the volume of interest automatically segmented by nnU-Net v2.
表3  5种机器学习算法构建模型的预测效能对比
Tab. 3  Comparison of the predictive performance of models constructed by five machine learning algorithms

3 讨论

       本研究基于深度学习自动分割肿瘤区域提取的影像组学特征预测直肠癌淋巴结转移状态。研究结果显示,在同一成像序列下,采用深度学习进行肿瘤分割(DbV)所构建的影像组学模型均与采用人工分割区域(MbV)构建的预测模型性能接近,表明基于深度学习自动分割区域的影像组学特征预测直肠癌淋巴结状态具有可行性;且基于多模态影像组学特征的预测模型具有更好的预测性能,有望将研究者及临床工作者从耗时的手动分割工作中解脱出来,并提升直肠癌淋巴结状态的诊断准确性。

3.1 nnU-Net v2深度学习架构在医学影像分割中的应用价值

       在本研究中,nnU-Net v2在T2WI和DWI序列上对直肠癌的分割效果优于3D U-Net和3D V-Net,表现出更高的可靠性与准确性。因此在方法部分重点介绍了nnU-Net v2。值得注意的是,在测试集中3D U-Net和3D V-Net的Dice值较低(T2WI:0.548 vs. 0.616;DWI:0.583 vs. 0.433),可能由于训练数据量不足,模型过度拟合了训练集中特有的噪声与细节,未能有效学习数据的普遍规律,从而导致在未见过的测试集上泛化能力较弱。此外,这两种模型的鲁棒性可能不足,对输入图像中的细微变化表现出较高的敏感性。作为一个全自动、自适应且鲁棒性极强的医学图像分割框架,nnU-Net的核心优势在于全自动化无需人工干预和手动调整超参数,v2版本架构更是强化了这一特性。nnU-Net v2能根据输入数据的属性自动选择最适合的U-Net变体,从而在不同任务中均能实现接近最优的性能表现。这也可能是在测试集中,nnU-Net v2相较于其他两种传统模型展现出更优性能的原因。本研究结果与ZHENG等[24]研究发现一致:在动态对比增强磁共振图像上进行肝癌分割时,nnU-Net的外部测试集DSC值为0.783,显著高于3D U-Net的0.604。我们前期研究[25]探索了3D V-Net架构分割磁共振图像上直肠癌组织的性能,尽管取得了较高DSC值(T2WI为0.878,DWI为0.955),但由于未在独立数据集中进行验证,可能出现了模型过拟合的情况。相比之下,本研究采用了来自两个不同设备的MRI图像数据,在不同深度学习架构比较时纳入了独立验证集,增加了结果的可信度。nnU-net v2在脑肿瘤自动分割[26]、胎儿四腔心图像中的关键解剖结构分割[27]以及上颌窦分割中的出色表现也已得到验证,其DSC值分别为0.850、0.871和0.960。这些研究结果均表明,nnU-Net v2具有良好的泛化能力和稳定的模型性能。另外,无论使用单一模态还是多模态组合,在本研究中基于深度学习自动分割构建的影像组学模型在淋巴结转移预测方面的表现与基于人工分割的模型相当,进一步证实了nnU-Net v2在肿瘤自动分割中的准确性和稳健性。

3.2 不同机器学习算法在直肠癌淋巴结状态预测中的应用价值与性能对比分析

       本研究基于深度学习自动分割区域提取的影像组学特征,分别应用LR、SVM、RF、KNN及CART共5种机器学习算法构建了30个不同的预测模型进行性能比较,以筛选出最优模型。结果显示,LR在识别直肠癌患者的淋巴结转移方面表现最佳。这与其他直肠癌相关研究类似,在术前预测微卫星不稳定性[28]、术前分级[29]以及术前评估肠壁外脉管侵犯[30]等方面,LR同样展现出优越的预测性能。LR作为一种广义线性回归分析方法,具有计算效率高、无需复杂迭代过程、易于实现和解释等优势[31]。此外,SVM在训练集中的性能比较高,在多模态数据集中AUC为0.917。该算法通过引入核函数映射非线性特征,能够有效提升小样本数据集的分类性能[32]。然而在验证集中AUC降低明显表明,SVM虽然在高维特征空间表征能力强,但泛化性能可能受核函数选择与参数配置的影响从而容易导致过拟合。相比之下,基于CART构建的模型AUC值较低,可能因为CART在捕捉数据中的复杂非线性关系或高阶交互作用时存在局限性[33]。RF通过自助聚合和随机特征选择降低方差,通常比CART表现更好,在本研究中也是如此,但其性能略逊于其他算法,特别是在需要高复杂度模式识别时,RF往往表现不佳[34]。KNN在训练集中的表现出稳定的性能,但在验证集中则略有下降,可能是由于其对局部数据分布的强依赖和对参数调整的敏感性有关。综上所述,在实际临床应用过程中,建议尝试多种机器学习算法,来更好地应对复杂多变的数据特性和需求,进而增加预测结果的稳定性与可靠性。

3.3 多模态MRI影像组学特征在直肠癌淋巴结状态预测中的应用价值

       本研究所构建的多模态影像组学模型(T2WI+DWI+DbV)在验证集中对淋巴结转移的预测效果(AUC=0.800),与另一项研究[35]基于MRI的影像组学模型相当(AUC为0.785),并显著优于NIU等[35](AUC=0.721)和YUAN等[36](AUC=0.638)基于CT的影像组学模型。这一优势可能归因于T2WI在软组织分辨率方面的优异表现,能够更清晰地呈现解剖结构;同时,DWI提供的功能信息有助于更精确地检测和评估肿瘤异质性或侵袭性情况,而CT成像主要反映的是组织密度差异[37]。进一步研究分析表明,本研究中整合多模态MRI数据的复杂影像组学模型(T2WI+DWI+DbV)在淋巴结转移预测中的表现(验证集AUC=0.800)优于单模态影像组学模型,包括仅基于T2WI特征的模型(验证集AUC=0.700)和仅基于DWI特征的模型(验证集AUC=0.667)。该结果表明,融合不同成像模式的信息并通过交叉验证可有效提升模型的预测准确性和稳健性。值得注意的是,在本研究中,多模态模型的主要特征来源于小波变换特征,其占比超过保留特征的一半。在图像预处理阶段,通过小波滤波器提取图像的空间或时空特征,能够更好地描述肿瘤区域的信号强度分布或灰度级分布,从而更全面地反映肿瘤的生物学特性和异质性[38]。此前已有研究证实了MRI小波特征在直肠癌分级中的有效性[39]

3.4 研究的局限性和展望

       本研究存在一些局限性。首先,本研究为单中心回顾性研究,样本量相对有限,可能引发选择性偏倚,并在结果的推广性方面存在一定限制。为增强模型的稳健性,本研究采用了一种磁共振设备采集的图像数据进行模型训练,并使用另一种设备采集的图像数据进行验证,这在一定程度上保证了模型的泛化能力。其次,本研究未纳入传统的淋巴结视觉标准评估(如大小、形态及信号特征),主要原因是本研究的核心目标在于验证基于深度学习的肿瘤自动分割与影像组学相结合的方式在淋巴结转移预测中的可行性。未来研究将引入外部数据集以进一步评估模型的泛化能力,并整合传统视觉评估指标,以提升淋巴结转移评估的可靠性与全面性。最后,基于深度学习的淋巴结转移识别方法在可解释性方面存在一定局限,但随着可解释性人工智能技术的发展,未来值得探索以人工智能为主导、具备良好解释能力的模型,以提升临床应用的可信度与实用性。

4 结论

       综上所述,nnU-Net v2架构在T2WI和DWI图像上的直肠癌分割效果优于3D U-Net和3D V-Net,表现出更高的准确性与稳健性。基于nnU-Net v2分割结果构建的影像组学模型可用于直肠癌患者治疗前的淋巴结转移风险预测,具有良好的临床应用前景。

[1]
BRAY F, LAVERSANNE M, SUNG H, et al. Global cancer statistics 2022: GLOBOCAN estimates of incidence and mortality worldwide for 36 cancers in 185 countries[J]. CA Cancer J Clin, 2024, 74(3): 229-263. DOI: 10.3322/caac.21834.
[2]
DOSSA F, CHESNEY T R, ACUNA S A, et al. A watch-and-wait approach for locally advanced rectal cancer after a clinical complete response following neoadjuvant chemoradiation: a systematic review and meta-analysis[J]. Lancet Gastroenterol Hepatol, 2017, 2(7): 501-513. DOI: 10.1016/S2468-1253(17)30074-2.
[3]
LE VOYER T E, SIGURDSON E R, HANLON A L, et al. Colon cancer survival is associated with increasing number of lymph nodes analyzed: A secondary survey of intergroup trial INT-0089[J]. J Clin Oncol, 2003, 21(15): 2912-2919. DOI: 10.1200/JCO.2003.05.062.
[4]
ONG M L H, SCHOFIELD J B. Assessment of lymph node involvement in colorectal cancer[J]. World J Gastrointest Surg, 2016, 8(3): 179-192. DOI: 10.4240/wjgs.v8.i3.179.
[5]
赵婉婷, 张广文, 高慧, 等. 深度学习在预测结直肠癌淋巴结状态中的现状与挑战[J]. 磁共振成像, 2025, 16(1): 222-227. DOI: 10.12015/issn.1674-8034.2025.01.036.
ZHAO W T, ZHANG G W, GAO H, et al. Current status and challenges of deep learning in predicting lymph node status in colorectal cancer[J]. Chin J Magn Reson Imag, 2025, 16(1): 222-227. DOI: 10.12015/issn.1674-8034.2025.01.036.
[6]
BENSON A B, VENOOK A P, ADAM M, et al. NCCN guidelines® insights: rectal cancer, version 3.2024[J]. J Natl Compr Canc Netw, 2024, 22(6): 366-375. DOI: 10.6004/jnccn.2024.0041.
[7]
AO W Q, WU S K, WANG N, et al. Novel deep learning algorithm based MRI radiomics for predicting lymph node metastases in rectal cancer[J/OL]. Sci Rep, 2025, 15(1): 12089 [2025-09-22]. https://www.nature.com/articles/s41598-025-96618-y. DOI: 10.1038/s41598-025-96618-y.
[8]
BIPAT S, GLAS A S, SLORS F J M, et al. Rectal cancer: local staging and assessment of lymph node involvement with endoluminal US, CT, and MR imaging: A meta-analysis[J]. Radiology, 2004, 232(3): 773-783. DOI: 10.1148/radiol.2323031368.
[9]
NIU Y, WEN L, YANG Y H, et al. Diagnostic performance of Node Reporting and Data System (Node-RADS) for assessing mesorectal lymph node in rectal cancer by CT[J/OL]. BMC Cancer, 2024, 24(1): 716 [2025-09-22]. https://bmccancer.biomedcentral.com/articles/10.1186/s12885-024-12487-0. DOI: 10.1186/s12885-024-12487-0.
[10]
GRÖNE J, LOCH F N, TAUPITZ M, et al. Accuracy of various lymph node staging criteria in rectal cancer with magnetic resonance imaging[J]. J Gastrointest Surg, 2018, 22(1): 146-153. DOI: 10.1007/s11605-017-3568-x.
[11]
KOÇAK B, DURMAZ E Ş, ATEŞ E C, et al. Radiomics with artificial intelligence: a practical guide for beginners[J]. Diagn Interv Radiol, 2019, 25(6): 485-495. DOI: 10.5152/dir.2019.19321.
[12]
龙蝶, 华丽, 陈绍俊, 等. 影像组学在结直肠癌诊断的研究现状与展望[J]. 磁共振成像, 2024, 15(9): 211-217, 229. DOI: 10.12015/issn.1674-8034.2024.09.037.
LONG D, HUA L, CHEN S J, et al. Current status and prospects of radiomics in the diagnosis of colorectal cancer[J]. Chin J Magn Reson Imag, 2024, 15(9): 211-217, 229. DOI: 10.12015/issn.1674-8034.2024.09.037.
[13]
HAO Y F, ZHENG J Y, LI W Q, et al. Ultra-high b-value DWI in rectal cancer: image quality assessment and regional lymph node prediction based on radiomics[J]. Eur Radiol, 2025, 35(1): 49-60. DOI: 10.1007/s00330-024-10958-3.
[14]
MA C Y, FU Y, LIU L, et al. Radiation enteritis associated with temporal sequencing of total neoadjuvant therapy in locally advanced rectal cancer: a preliminary study[J/OL]. Radiat Oncol, 2025, 20(1): 118 [2025-09-22]. https://ro-journal.biomedcentral.com/articles/10.1186/s13014-025-02701-z. DOI: 10.1186/s13014-025-02701-z.
[15]
ZHONG J Y, HUANG T, JIANG R J, et al. MRI-based habitat, intra-, and peritumoral machine learning model for perineural invasion prediction in rectal cancer[J/OL]. Abdom Radiol (NY), 2025 [2025-09-22]. https://link.springer.com/article/10.1007/s00261-025-05095-4. DOI: 10.1007/s00261-025-05095-4.
[16]
YANG Y S, QIU Y J, ZHENG G H, et al. High resolution MRI-based radiomic nomogram in predicting perineural invasion in rectal cancer[J/OL]. Cancer Imaging, 2021, 21(1): 40 [2025-09-22]. https://cancerimagingjournal.biomedcentral.com/articles/10.1186/s40644-021-00408-4. DOI: 10.1186/s40644-021-00408-4.
[17]
王延, 赵宏跃, 高慧棋, 等. CT影像组学在结直肠癌诊疗中的研究进展[J]. 实用放射学杂志, 2025, 41(5): 870-873. DOI: 10.3969/j.issn.1002-1671.2025.05.034.
WANG Y, ZHAO H Y, GAO H Q, et al. Research progress of CT radiomics in the diagnosis and treatment of colorectal cancer[J]. J Pract Radiol, 2025, 41(5): 870-873. DOI: 10.3969/j.issn.1002-1671.2025.05.034.
[18]
GHAFOORIAN M, KARSSEMEIJER N, HESKES T, et al. Location sensitive deep convolutional neural networks for segmentation of white matter hyperintensities[J/OL]. Sci Rep, 2017, 7(1): 5110 [2025-09-22]. https://www.nature.com/articles/s41598-017-05300-5. DOI: 10.1038/s41598-017-05300-5.
[19]
PELLICER-VALERO O J, MARENCO JIMÉNEZ J L, GONZALEZ-PEREZ V, et al. Deep learning for fully automatic detection, segmentation, and Gleason grade estimation of prostate cancer in multiparametric magnetic resonance images[J/OL]. Sci Rep, 2022, 12(1): 2975 [2025-09-22]. https://www.nature.com/articles/s41598-022-06730-6. DOI: 10.1038/s41598-022-06730-6.
[20]
WANG S Q, MAHON R, WEISS E, et al. Automated lung cancer segmentation using a PET and CT dual-modality deep learning neural network[J]. Int J Radiat Oncol Biol Phys, 2023, 115(2): 529-539. DOI: 10.1016/j.ijrobp.2022.07.2312.
[21]
SHAUKAT Z, FAROOQ Q U A, TU S S, et al. A state-of-the-art technique to perform cloud-based semantic segmentation using deep learning 3D U-Net architecture[J/OL]. BMC Bioinformatics, 2022, 23(1): 251 [2025-09-22]. https://bmcbioinformatics.biomedcentral.com/articles/10.1186/s12859-022-04794-9. DOI: 10.1186/s12859-022-04794-9.
[22]
MILLETARI F, NAVAB N, AHMADI S A. V-net: fully convolutional neural networks for volumetric medical image segmentation[C]//2016 Fourth International Conference on 3D Vision (3DV). October 25-28, 2016, Stanford, CA, USA. IEEE, 2016: 565-571. DOI: 10.1109/3DV.2016.79.
[23]
ISENSEE F, JAEGER P F, KOHL S A A, et al. nnU-Net: a self-configuring method for deep learning-based biomedical image segmentation[J]. Nat Methods, 2021, 18(2): 203-211. DOI: 10.1038/s41592-020-01008-z.
[24]
ZHENG R C, WANG Q D, LV S Z, et al. Automatic liver tumor segmentation on dynamic contrast enhanced MRI using 4D information: deep learning model based on 3D convolution and convolutional LSTM[J]. IEEE Trans Med Imag, 2022, 41(10): 2965-2976. DOI: 10.1109/TMI.2022.3175461.
[25]
ZHANG G W, CHEN L, LIU A E, et al. Comparable performance of deep learning-based to manual-based tumor segmentation in KRAS/NRAS/BRAF mutation prediction with MR-based radiomics in rectal cancer[J/OL]. Front Oncol, 2021, 11: 696706 [2025-09-22]. https://www.frontiersin.org/journals/oncology/articles/10.3389/fonc.2021.696706/full. DOI: 10.3389/fonc.2021.696706.
[26]
ZHAO E D, YANG Y F, BAI M M, et al. MRI radiomics-based interpretable model and nomogram for preoperative prediction of Ki-67 expression status in primary central nervous system lymphoma[J/OL]. Front Med (Lausanne), 2024, 11: 1345162 [2025-09-22]. https://www.frontiersin.org/journals/medicine/articles/10.3389/fmed.2024.1345162/full. DOI: 10.3389/fmed.2024.1345162.
[27]
LIANG B C, PENG F F, LUO D D, et al. Automatic segmentation of 15 critical anatomical labels and measurements of cardiac axis and cardiothoracic ratio in fetal four chambers using nnU-NetV2[J/OL]. BMC Med Inform Decis Mak, 2024, 24(1): 128 [2025-09-22]. https://bmcmedinformdecismak.biomedcentral.com/articles/10.1186/s12911-024-02527-x. DOI: 10.1186/s12911-024-02527-x.
[28]
ZHANG Y, LIU J, WU C Y, et al. Preoperative prediction of microsatellite instability in rectal cancer using five machine learning algorithms based on multiparametric MRI radiomics[J/OL]. Diagnostics (Basel), 2023, 13(2): 269 [2025-09-22]. https://www.mdpi.com/2075-4418/13/2/269. DOI: 10.3390/diagnostics13020269.
[29]
SONG M Y, WANG Q, FENG H, et al. Preoperative grading of rectal cancer with multiple DWI models, DWI-derived biological markers, and machine learning classifiers[J/OL]. Bioengineering, 2023, 10(11): 1298 [2025-09-22]. https://www.mdpi.com/2306-5354/10/11/1298. DOI: 10.3390/bioengineering10111298.
[30]
FANG J J, SUN W, WU D, et al. Value of texture analysis based on dynamic contrast-enhanced magnetic resonance imaging in preoperative assessment of extramural venous invasion in rectal cancer[J/OL]. Insights Imaging, 2022, 13(1): 179 [2025-09-22]. https://insightsimaging.springeropen.com/articles/10.1186/s13244-022-01316-2. DOI: 10.1186/s13244-022-01316-2.
[31]
LEE C S, LEE A Y. Clinical applications of continual learning machine learning[J/OL]. Lancet Digit Health, 2020, 2(6): e279-e281 [2025-09-22]. https://linkinghub.elsevier.com/retrieve/pii/S2589-7500(20)30102-3. DOI: 10.1016/S2589-7500(20)30102-3.
[32]
ZHANG J H, LAI Z H, KONG H, et al. Learning the optimal discriminant SVM with feature extraction[J]. IEEE Trans Pattern Anal Mach Intell, 2025, 47(4): 2897-2911. DOI: 10.1109/TPAMI.2025.3529711.
[33]
KIREMIT B Y, ŞAHIN D Ö. Comparison of machine learning algorithms for predicting length of stay in chronic kidney disease patients[J/OL]. Comput Biol Med, 2025, 196(Pt B): 110825 [2025-09-22]. https://linkinghub.elsevier.com/retrieve/pii/S0010-4825(25)01176-X. DOI: 10.1016/j.compbiomed.2025.110825.
[34]
TABARI A, CHAN S M, OMAR O M F, et al. Role of machine learning in precision oncology: applications in gastrointestinal cancers[J/OL]. Cancers (Basel), 2022, 15(1): 63 [2025-09-22]. https://www.mdpi.com/2072-6694/15/1/63. DOI: 10.3390/cancers15010063.
[35]
NIU Y, YU X P, WEN L, et al. Comparison of preoperative CT- and MRI-based multiparametric radiomics in the prediction of lymph node metastasis in rectal cancer[J/OL]. Front Oncol, 2023, 13: 1230698 [2025-09-22]. https://linkinghub.elsevier.com/retrieve/pii/S2589-7500(20)30102-3. DOI: 10.3389/fonc.2023.1230698.
[36]
YUAN H, XU X R, TU S L, et al. The CT-based intratumoral and peritumoral machine learning radiomics analysis in predicting lymph node metastasis in rectal carcinoma[J/OL]. BMC Gastroenterol, 2022, 22(1): 463 [2025-09-22]. https://bmcgastroenterol.biomedcentral.com/articles/10.1186/s12876-022-02525-1. DOI: 10.1186/s12876-022-02525-1.
[37]
GÜRSES B, BÖGE M, ALTıNMAKAS E, et al. Multiparametric MRI in rectal cancer[J]. Diagn Interv Radiol, 2019, 25(3): 175-182. DOI: 10.5152/dir.2019.18189.
[38]
LIMKIN E J, SUN R, DERCLE L, et al. Promises and challenges for the implementation of computational medical imaging (radiomics) in oncology[J]. Ann Oncol, 2017, 28(6): 1191-1206. DOI: 10.1093/annonc/mdx034.
[39]
HE B, JI T, ZHANG H, et al. MRI-based radiomics signature for tumor grading of rectal carcinoma using random forest model[J]. J Cell Physiol, 2019, 234(11): 20501-20509. DOI: 10.1002/jcp.28650.

上一篇 DCE-MRI定量参数与肝外胆管癌病理分化程度及血管生成的相关性研究
下一篇 生境分析和瘤周影像组学预测前列腺癌患者去势抵抗
  
诚聘英才 | 广告合作 | 免责声明 | 版权声明
联系电话:010-67113815
京ICP备19028836号-2