分享:
分享到微信朋友圈
X
临床研究
帕金森病患者体素水平网络节点度中心性及功能连接性改变与疾病严重程度关系的研究
李丽环 刘恒恒 徐晓露 陈飞 穆天池 朱海雪 董从松

本文引用格式:李丽环, 刘恒恒, 徐晓露, 等. 帕金森病患者体素水平网络节点度中心性及功能连接性改变与疾病严重程度关系的研究[J]. 磁共振成像, 2025, 16(11): 70-75, 108. DOI:10.12015/issn.1674-8034.2025.11.010.


[摘要] 目的 基于静息态功能磁共振成像(resting-state functional magnetic resonance imaging, rs-fMRI)探讨帕金森病(Parkinson's disease, PD)患者体素水平网络节点度中心性(degree centrality, DC)及功能连接(functional connectivity, FC)改变及其与疾病严重程度的关系。材料与方法 选择南通大学第六附属医院神经内科自2024年1月至2025年4月收治的46例PD患者及同期招募的24例健康对照(healthy control, HC)。采集2组受试者rs-fMRI数据,计算全脑体素水平的DC并进行组间比较。以DC差异脑区为种子点进行全脑FC分析并进行组间比较。提取PD患者差异脑区DC、FC值,分析其与病程、Hoehn-Yahr(H-Y)分级、统一帕金森病评定量表(Unified Parkinson's Disease Rating Scale, UPDRS)Ⅰ/Ⅱ/Ⅲ/Ⅳ评分及认知精神量表评分的相关性。结果 PD患者蒙特利尔认知评估量表评分低于HC组,汉密尔顿焦虑和抑郁量表评分均高于HC组,差异均有统计学意义(t=-5.559、8.218、7.249,P<0.001)。PD患者右侧豆状核苍白球、右侧颞上回和右侧中央前回的DC值低于HC组,左侧直回、左侧角回和左侧内侧额上回的DC值高于HC组,差异均有统计学意义(t=-5.677、-3.833、-4.752、5.827、4.218、5.063,P<0.001)。PD患者右侧豆状核苍白球与左侧脑岛、右侧豆状壳核及左侧顶下缘角回的FC,右侧颞上回与左侧楔前叶的FC,右侧中央前回与右侧距状裂周围皮层的FC,左侧直回与右侧梭状回及右侧颞上回的FC,左侧内侧额上回与两侧豆状壳核的FC均低于HC组,差异均有统计学意义(t=-4.884、-4.341、-3.961、-4.945、-4.809、-4.518、-4.541、-5.004、-4.535,P<0.001)。PD患者右侧中央前回的DC值、右侧豆状核苍白球-左侧脑岛、右侧颞上回-左侧楔前叶及左侧内侧额上回-左侧豆状壳核的FC值与UPDRS Ⅱ评分均呈负相关(r=-0.332、-0.342、-0.319、-0.406,P<0.05)。左侧内侧额上回的DC值与H-Y分级、UPDRS Ⅱ/Ⅲ评分均呈正相关(r=0.371、0.300、0.454,P<0.05)。右侧豆状核苍白球-右侧豆状壳核之间的FC值与病程呈负相关(r=-0.299,P=0.044)。结论 PD患者静息状态下表现出脑DC与FC的复杂改变模式,其中部分异常与疾病严重程度相关。这为寻找客观评估PD患者病情的神经影像标志物奠定了一定的基础。
[Abstract] Objective To investigate alterations in voxel-wise degree centrality (DC) and functional connectivity (FC) and their relationship with disease severity in Parkinson's disease (PD) patients using resting-state functional magnetic resonance imaging (rs-fMRI).Materials and Methods Forty-six PD patients admitted to the Department of Neurology, Affiliated Hospital 6 of Nantong University and 24 health controls (HC) between January 2024 and April 2025 were enrolled. Twenty-four age-, sex-, and education-matched HC were recruited concurrently. Data of rs-fMRI data were acquired from both groups. Whole-brain voxel-wise DC was calculated and compared between groups. Brain regions showing significant DC differences were used as seeds for whole-brain FC analysis, which was also compared between groups. Identify varying brain DC and FC values in PD patients, investigate their association with disease duration, Hoehn-Yahr (H-Y) staging, Unified Parkinson's Disease Rating Scale (UPDRS) Ⅰ/Ⅱ/Ⅲ/Ⅳ scores, and cognitive and psychiatric assessments.Results PD patients had significantly lower Montreal cognitive assessment scores and higher Hamilton anxiety rating scale and Hamilton depression rating scale scores compared to the HC group (t = -5.559, 8.218, 7.249, P < 0.001). Compared to HCs, PD patients exhibited significantly lower DC values in the right lenticular nucleus and pallidum, right superior temporal gyrus, and right precentral gyrus, and higher DC values in the left gyrus rectus, left angular gyrus, and left medial superior frontal gyrus (t = -5.677, -3.833, -4.752, 5.827, 4.218, 5.063, P < 0.001). Significant FC reductions were found in PD patients for the following connections: right lenticular nucleus and pallidum to left insula, right putamen, left inferior parietal but supramarginal and angular gyri; right superior temporal gyrus to left precuneus; right precentral gyrus to right calcarine fissure and surrounding cortex; left gyrus rectus to right fusiform gyrus and right superior temporal gyrus; and left medial superior frontal gyrus to bilateral lenticular nucleus and putamen (t = -4.884, -4.341, -3.961, -4.945, -4.809, -4.518, -4.541, -5.004, -4.535, P < 0.001). In PD patients, the DC value in the right precentral gyrus, and the FC values for right lenticular nucleus and pallidum - left insula, right superior temporal gyrus - left precuneus, and left medial superior frontal gyrus - left lenticular nucleus and putamen, were negatively correlated with UPDRS Ⅱ scores (r = -0.332, -0.342, -0.319, -0.406, P < 0.05). The DC value in the left medial superior frontal gyrus was positively correlated with H-Y stage and UPDRS Ⅱ/Ⅲ scores (r = 0.371, 0.300, 0.454, P < 0.05). The FC value of right lenticular nucleus and pallidum - right lenticular nucleus and putamen was negatively correlated with disease duration (r = -0.299, P = 0.044).Conclusions In PD patients, there are complex changes in brain DC and FC at rest, with some abnormalities correlating with disease severity. This provides a basis for finding neuroimaging biomarkers to objectively evaluate the condition of PD patients.
[关键词] 帕金森病;静息态功能磁共振成像;磁共振成像;功能连接;度中心性
[Keywords] Parkinson's disease;resting-state functional magnetic resonance imaging;magnetic resonance imaging;functional connectivity;degree centrality

李丽环 1   刘恒恒 2   徐晓露 3   陈飞 2, 4   穆天池 2   朱海雪 1   董从松 2, 4*  

1 南京大学医学院附属泰康仙林鼓楼医院放射科,南京 210046

2 南通大学第六附属医院(盐城市第三人民医院)影像科,盐城 224005

3 南通大学第六附属医院(盐城市第三人民医院)神经内科,盐城 224005

4 江苏医药职业学院医学影像研究所,盐城 224005

通信作者:董从松,E-mail:shuibin1988@ntu.edu.cn

作者贡献声明:董从松设计本研究的方案,对稿件重要内容进行了修改,获得盐城市基础研究计划(自然科学基金)项目、江苏医药职业学院校地协同创新研究项目和南通大学临床研究专项重点项目的资助;李丽环负责起草和撰写稿件,分析和解释本研究的数据;刘恒恒、徐晓露、陈飞、穆天池、朱海雪参与本研究数据获取、分析和解释,对稿件重要内容进行了修改;全体作者都同意发表最后的修改稿,同意对本研究全面负责,确保本研究的准确性和诚信。


基金项目: 盐城市基础研究计划(自然科学基金)项目 YCBK2024077 江苏医药职业学院校地协同创新研究项目 202490108 南通大学临床研究专项重点项目 2022LZ006
收稿日期:2025-07-21
接受日期:2025-10-31
中图分类号:R445.2  R742.5 
文献标识码:A
DOI: 10.12015/issn.1674-8034.2025.11.010
本文引用格式:李丽环, 刘恒恒, 徐晓露, 等. 帕金森病患者体素水平网络节点度中心性及功能连接性改变与疾病严重程度关系的研究[J]. 磁共振成像, 2025, 16(11): 70-75, 108. DOI:10.12015/issn.1674-8034.2025.11.010.

0 引言

       帕金森病(Parkinson's disease, PD)是发病率仅次于阿尔茨海默病的第二常见神经退行性疾病,具有明显异质性,包含众多运动和非运动症状,不仅影响患者生活质量,也造成严重的家庭和社会负担[1, 2, 3, 4]。目前对于PD疾病严重程度的评估主要依赖对患者临床表现的量表评估[5, 6, 7],而缺乏客观的生物学指标。因此,寻找能够反映PD病理生理改变的客观影像学指标对于疾病进展监测和疗效评估具有重要意义。

       静息态功能磁共振成像(resting-state functional magnetic resonance imaging, rs-fMRI)凭借其无创、无任务设计的特点,成为目前研究神经退行性疾病自发脑功能活动及网络改变的重要工具之一[8, 9, 10]。全脑体素水平度中心性(degree centrality, DC)是数据驱动的图论分析中一个重要的网络属性指标,用于衡量信息传递中脑网络节点的功能连接强度[11, 12, 13, 14]。而基于种子点的功能连接(functional connectivity, FC)分析,则是对局部感兴趣脑区与全脑其他体素间的功能活动一致性进行计算,从而对大脑不同区域间协同工作模式进行研究[15, 16, 17, 18]。已有研究表明,全脑体素水平的DC和基于种子点的FC分析在PD运动症状和非运动症状的评估中有一定的价值[19-22],然而并未获得一致性结论。本研究结合这两种分析方法,有助于研究PD患者局部脑网络节点连接强度及远端协同功能的整体改变,并探讨这种改变与疾病严重程度的关系。

1 材料与方法

1.1 研究对象

       本研究为前瞻性研究。采用G*Power 3.1软件进行样本量估算,具体参数设置为:效应大小为 0.75,显著性水平(α)为0.05,功效水平为0.80,第二类错误概率(β)值为0.20,分配比例(N2/N1)为2。计算得出PD组至少需要44例,健康对照(health control, HC)组至少需要22例。选择南通大学第六附属医院神经内科自2024年1月至2025年4月间收治的46例PD患者。记录PD患者性别、年龄、受教育年限及病程资料,并完成Hoehn-Yahr(H-Y)分级、统一帕金森病评定量表(Unified Parkinson's Disease Rating Scale, UPDRS)Ⅰ/Ⅱ/Ⅲ/Ⅳ评分、蒙特利尔认知评估量表(Montreal Cognitive Assessment, MoCA)、汉密尔顿焦虑量表(Hamilton Anxiety Scale, HAMA)和汉密尔顿抑郁量表(Hamilton Depression Scale, HAMD)评估。46例PD患者H-Y分级具体为:0级0例,1级17例,1.5级11例,2级11例,2.5级1例,3级5例,4级1例,5级0例。

1.2 纳入标准和排除标准

       PD患者纳入标准:(1)符合中国PD诊断标准[23];(2)无MRI检查禁忌证并能配合完成检查;(3)受教育年限≥6年,且能够理解并完成PD相关量表、认知和精神量表评估;(4)年龄18~80岁之间,且为右利手。PD患者排除标准:(1)MRI检查发现脑肿瘤、脑血管疾病等严重实质性病变;(2)合并其他类型的神经退行性疾病或精神疾病;(3)合并全身其他系统的严重疾病;(4)图像存在影响分析的各类伪影,其中运动伪影的剔除标准为图像平移>2 mm或旋转角度>3°。

       选择同期招募的24例HC,其年龄、性别及受教育年限与PD患者相匹配。记录HC性别、年龄、受教育年限资料,并完成MoCA、HAMA和HAMD量表评估。HC纳入标准:(1)受教育年限≥6年,且日常行为正常且量表评估均在正常范围内;(2)无MRI检查禁忌证并能配合完成检查;(3)年龄18~80岁之间,且为右利手。HC排除标准:(1)MRI检查发现脑肿瘤、脑血管疾病等严重实质性病变;(2)图像存在影响分析的各类伪影,其中运动伪影的剔除标准为图像平移>2 mm或旋转角度>3°。

       本研究遵守《赫尔辛基宣言》,经盐城市第三人民医院医学伦理委员会批准,全体受试者均签署MRI检查知情同意书,批准文号:2021-031-01。

1.3 MRI检查方法

       所有受试者均采用美国通用电器公司Discovery 750W 3.0 T MRI扫描仪检查,其中PD患者在停药12~24小时内完成MRI检查。检查序列包括冠状位T2液体衰减反转恢复序列,横断位T2加权成像、扩散加权成像、三维T1加权成像和rs-fMRI序列。其中rs-fMRI具体参数如下:重复时间2000 ms,回波时间30 ms,翻转角90°,矩阵64×64,扫描视野24 cm×24 cm,层厚4 mm,层数35,层间距0,激励次数1,扫描时间7分40秒。

1.4 rs-fMRI图像分析

       基于Matlab2022b平台,使用SPM12(http://www.fil.ionucl.ac.uk/spm)软件及Restplus(http://www.restfmri.net)软件分析rs-fMRI图像数据。图像预处理包括:(1)删除前10个时间点图像;(2)时间层校正;(3)头动校正,评估头动状况,获得头动参数并调整因此造成的图像错位;(4)基于蒙特利尔神经病学研究所(Montreal neurological institute, MNI)标准空间,通过两步法进行空间配准;(5)去除线性趋势;(6)低频滤波(0.01~0.08 Hz);(7)回归协变量(脑白质、脑脊液及头动参数等)。预处理完成后,计算全脑体素水平网络节点DC,设定r阈值为0.25,在6 mm×6 mm×6 mm半高全宽高斯空间上进行平滑,采用Z-score变换对DC进行归一化,用于后续统计分析。基于种子点的FC分析:将PD与HC两组DC分析中识别出的差异显著脑区定义为种子点。分别提取各种子点的平均时间序列,计算其与全脑各体素时间序列的Pearson相关系数。对所得相关系数进行Fisher-Z变换,最终获得每个种子点对应的全脑FC图。最后提取PD与HC组间存在差异脑区的DC和FC值与量表评分进行相关性分析。

1.5 统计学分析

       基于Matlab2022b平台的SPM12软件包对两组受试者全脑体素水平网络节点DC和基于种子点的FC进行比较,以年龄、性别、受教育年限、MoCA、HAMA和HAMD评分为协变量,进行逐个体素的独立样本t检验,使用团块水平全族错误率(family-wise error rate, FWE)校正(P<0.001)方法进行多重比较校正。

       采用SPSS 25.0软件对临床及量表数据进行统计学分析。首先,对计量资料(包括年龄、受教育年限、病程及量表评分)执行正态性及方差齐性检验。符合正态分布的数据采用均值±标准差描述,使用独立样本t检验进行组间比较;不符合者则采用中位数(第一四分位数,第三四分位数)[MQ1, Q3)]表示,使用Mann-Whitney U检验进行组间比较。计数资料以例(百分率)呈现,组间差异通过卡方(χ2)检验评估。针对PD患者中存在差异的脑区DC及FC值,其与病程及量表评分的关系采用Pearson相关(正态数据)或Spearman秩相关(非正态数据)进行分析。以P<0.05为差异具有统计学意义。

2 结果

2.1 PD组与HC组临床基线特征对比

       两组受试者的年龄、性别分布及受教育年限差异无统计学意义(P>0.05)。PD组患者的MoCA评分显著低于HC组,HAMA和HAMD评分则显著高于HC组,差异均有统计学意义(P<0.05)。两组临床资料对比数据及PD患者病程、H-Y分级、UPDRS Ⅰ/Ⅱ/Ⅲ/Ⅳ评分具体内容见表1

表1  PD患者与HC组临床资料对比
Tab. 1  Comparison of clinical data of PD and HC groups

2.2 PD与HC两组受试者全脑体素水平网络节点DC比较

       PD与HC两组受试者全脑DC差异有统计学意义的脑区有6个团块(团块1~6,团块水平FWE校正,P<0.001),其中团块1~3表现为PD患者低于HC组,团块4~6则表现为PD患者高于HC组。基于MNI自动解剖标记(automatic anatomical labeling, AAL)模板,团块1峰值点坐标位于右侧豆状核苍白球;团块2峰值点坐标位于右侧颞上回,余主要位于右侧中央沟盖;团块3峰值点坐标位于右侧中央前回,余主要位于右侧中央后回;团块4峰值点坐标位于左侧直回,余主要位于左侧眶部额上回和两侧眶部额中回;团块5峰值点坐标位于左侧角回;团块6峰值点坐标左侧内侧额上回,余主要位于左侧额中回和左侧背外侧额上回。具体内容见表2图1

图1  PD患者与HC组受试者全脑DC差异脑区示意图。蓝色代表PD组低于HC 组,红色代表PD组高于HC组。PD:帕金森病;HC:健康对照;DC:度中心性。
Fig. 1  Whole-brain map of DC differences between PD patients and HC subjects. Blue indicates the PD group is lower than the HC group, while red indicates the PD group is higher than the HC group. PD: Parkinson's disease; HC: healthy control; DC: degree centrality.
表2  PD患者与HC组受试者全脑DC的比较
Tab. 2  Comparison of whole brain DC in PD and HC groups

2.3 PD与HC两组受试者基于DC差异脑区的FC分析比较

       基于PD与HC两组DC存在差异脑区(团块1~6)为种子点,分别进行种子点至全脑体素的FC分析,并进行两组间比较。发现PD患者团块1(右侧豆状核苍白球)与左侧脑岛、右侧豆状壳核及左侧顶下缘角回的FC,团块2(右侧颞上回)与左侧楔前叶的FC,团块3(右侧中央前回)与右侧距状裂周围皮层的FC,团块4(左侧直回)与右侧梭状回及右侧颞上回的FC,团块6(左侧内侧额上回)与两侧豆状壳核的FC均低于HC组(团块水平FWE校正,P<0.001)。具体内容见表3图2

图2  基于PD与HC两组DC差异脑区为种子点的全脑FC差异脑区示意图。蓝色代表PD组低于HC组。PD:帕金森病;HC:健康对照;DC:度中心性。蓝色代表PD组低于HC组。
Fig. 2  Whole-brain map of FC differences derived from seed regions showing DC differences between PD patients and HC subjects. The blue color indicates that the PD group is lower than the HC group.PD: Parkinson's disease; HC: healthy control; DC: degree centrality. The blue color indicates that the PD group is lower than the HC group.
表3  基于PD与HC两组DC差异脑区为种子点的全脑FC组间比较
Tab. 3  Comparison of FC between PD and HC groups using seeds with differences in DC

2.4 PD患者差异脑区DC、FC值与病程及量表评分的相关性分析

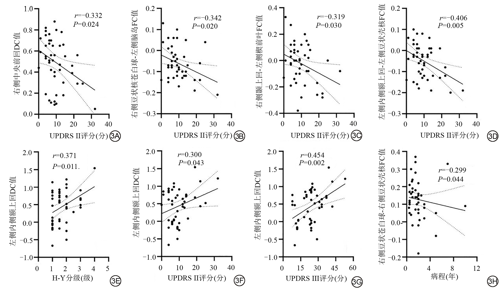
       PD患者右侧中央前回的DC值,右侧豆状核苍白球-左侧脑岛、右侧颞上回-左侧楔前叶及左侧内侧额上回-左侧豆状壳核之间的FC值均与UPDRS Ⅱ评分呈负相关(r=-0.332,P=0.024;r=-0.342,P=0.020;r=-0.319,P=0.030;r=-0.406,P=0.005),具体内容见图3A~3D。左侧内侧额上回的DC值与H-Y分级、UPDRS Ⅱ和UPDRS Ⅲ评分均呈正相关(r=0.371,P=0.011;r=0.300,P=0.043;r=0.454,P=0.002),具体内容见图3E~3G。右侧豆状核苍白球-右侧豆状壳核之间的FC值与病程呈负相关(r=-0.299,P=0.044),具体内容见图3H。余各差异脑区DC、FC值与病程及量表评分均未见明确统计学相关性(P>0.05)。

图3  PD患者差异脑区DC、FC值与病程及量表评分的相关性分析。PD:帕金森病; DC:度中心性;FC:功能连接;H-Y分级:Hoehn-Yahr分级;UPDRS Ⅱ/Ⅲ:统一帕金森病评定量表第二/三部分。
Fig. 3  Correlations of altered brain DC and FC with clinical measures in PD patients. PD: Parkinson's disease; DC: degree centrality; FC: functional connectivity; H-Y: Hoehn-Yahr; UPDRS: Unified Parkinson's Disease Rating Scale.

3 讨论

       本研究将量化全脑体素水平网络节点连接强度的DC和代表局部感兴趣脑区与远端协同功能的FC分析方法相结合,探讨PD患者整体脑功能连接网络的改变及其与疾病严重程度的潜在关系。研究发现,PD患者存在多个DC值异常增高或降低的脑区,并且以其为种子点进行的FC分析显示,这些DC异常脑区与全脑多个脑区之间的FC受损。这些异常脑区的DC值和FC值,其中一部分与PD患者的临床严重程度指标存在相关性。

3.1 PD患者DC值异常与疾病严重程度的关系

       本研究中,PD患者右侧豆状核苍白球、右侧颞上回和右侧中央前回的DC值低于HC组,这与既往研究部分一致[19, 24, 25, 26]。豆状核苍白球是基底神经节-丘脑-皮层环路的关键节点,参与运动控制、认知和情感等多种功能[27]。PD患者该区域DC值降低可能反映了多巴胺能神经元变性导致基底节环路功能障碍,进而影响其信息整合和传递能力。右侧颞上回参与听觉处理、语言理解和社会认知等功能,其DC值降低可能与PD患者出现的听觉处理异常或社交障碍有关[19, 28]。右侧中央前回是初级运动皮层的主要组成部分,直接调控对侧肢体的运动[29]。该区域DC值降低可能直接反映了PD患者运动执行能力的受损。这与以往研究报道的PD患者运动相关皮层功能连接性减弱相一致[22, 24]。在一项PD病患者重复经颅磁刺激的研究中,发现中央前回的基线DC值与治疗后运动改善密切相关[30]。本研究中,右侧中央前回DC值与UPDRS Ⅱ评分(反映患者日常生活自理能力)呈负相关,进一步支持了该区域功能受损越严重,则PD患者受运动障碍而导致生活能力下降的越严重。

       另一方面,本研究观察到PD患者左侧直回、左侧角回和左侧内侧额上回的DC值高于HC组,这同样与既往研究结果部分一致[20, 24]。左侧直回和内侧额上回属于额叶皮层,参与执行功能、情绪调节和决策等高级认知过程。这些区域DC值的升高可能是一种代偿机制,即在主要功能网络受损的情况下,大脑试图通过增强其他区域的连接来维持认知和运动功能,在前人关于PD全脑DC的部分研究中,已证实这种类似的代偿机制存在[9, 31]。左侧角回是默认模式网络的关键枢纽,与语言处理、空间认知和记忆提取等功能相关[32]。本研究中PD患者的MoCA评分低于HC组,表明患者认知功能受损。PD患者左侧角回DC值升高也可能反映了在认知功能方面的代偿性增强或病理性过度激活[33]。值得注意的是,本研究中左侧内侧额上回的DC值与H-Y分级、UPDRS Ⅱ和UPDRS Ⅲ评分均呈正相关,这提示该区域DC值的升高可能与疾病的整体严重程度和运动功能受损程度相关。这种正相关关系可能反映了随着疾病进展,代偿机制的过度激活或失调与更差的临床表现相关联。

3.2 PD患者FC异常与疾病严重程度的关系

       在基于种子点的FC分析中,以右侧豆状核苍白球为种子点,发现其与左侧脑岛、右侧豆状壳核及左侧顶下缘角回的FC均减弱。脑岛参与内感受、情绪处理和认知控制,一项基于图论分析方法的研究证实其在PD认知功能损伤中的关键作用[34]。豆状壳核是基底节的主要输入结构,其与苍白球的连接是运动调控通路的重要组成部分[22]。这些连接的减弱进一步证实了基底节内部及与其他脑区之间信息传递的障碍。顶下缘角回是顶枕颞叶交界区的核心组成部分,接收并整合来自视觉、听觉、体感觉等多种感觉通道的信息,在运动执行过程中,负责将运动意图与感觉反馈进行实时匹配,确保动作执行的准确性[35]。PD患者右侧豆状核苍白球-左侧顶下缘角回的FC减弱,意味着感觉反馈信号与运动指令的匹配效率下降,可解释PD患者常见的动作-感觉失匹配、运动迟缓加重等症状。

       研究还发现右侧颞上回-左侧楔前叶、左侧内侧额上回-两侧豆状壳核、左侧直回-右侧梭状回/右侧颞上回、右侧中央前回-右侧距状裂周围皮层的FC均受损降低。并且右侧豆状核苍白球-左侧脑岛FC值、右侧颞上回-左侧楔前叶FC值以及左侧内侧额上回-左侧豆状壳核FC值均与UPDRS Ⅱ评分呈负相关,提示这些特定功能连接的减弱与患者日常生活能力的下降密切相关。此外,右侧豆状核苍白球-右侧豆状壳核之间的FC值与病程呈负相关,表明随着病程的延长,基底节内部的功能连接完整性可能进一步受损。这些结果与以往研究发现的PD患者存在广泛而复杂的FC改变观点相符,并且这些FC异常中的部分与临床症状相关[15, 16, 35]

3.3 本研究的优势和局限性

       本研究的优势在于结合了全脑体素水平的DC分析和基于种子点的FC分析。DC分析作为一种数据驱动的方法,能够全面评估每个体素在全脑网络节点中的连接强度和重要性,避免了预先选择感兴趣区域的主观性。随后,再以DC差异脑区为种子点进行FC分析,可以更深入地探究这些核心节点的远程连接模式改变。这种结合策略有助于更全面地揭示PD患者脑功能网络的局部和整体异常。然而,本研究也存在一些局限性。首先,本研究为单中心、小样本的横断面研究,因此未对PD进行亚型分类,这限制了结果的推广性并且未能动态观察PD患者脑功能随疾病进展的演变过程。后续可设计多中心纵向研究,并持续搜集病例资料,以探索不同分类标准下的PD亚型特有的脑功能改变模式与特定症状严重程度之间的关系。其次,本研究仅关注了DC和FC这两种功能网络指标,未来可以结合其他图论分析参数以及更多模态的影像技术来更全面地刻画PD的影像改变与疾病严重程度的关系。

4 结论

       综上所述,本研究通过DC和FC分析揭示了PD患者脑功能网络的复杂改变模式,并发现部分改变与疾病严重程度相关。这些发现加深了我们对PD病理生理机制的理解,并为寻找客观评估PD疾病严重程度和进展的影像学标志物提供了新的线索。

[1]
RYU D W, HAN K, CHO A H. Mortality and causes of death in patients with Parkinson's disease: a nationwide population-based cohort study[J/OL]. Front Neurol, 2023, 14: 1236296 [2025-07-01]. https://pubmed.ncbi.nlm.nih.gov/37719757/. DOI: 10.3389/fneur.2023.1236296.
[2]
ZHAO N, YANG Y, ZHANG L, et al. Quality of life in Parkinson's disease: A systematic review and meta-analysis of comparative studies[J]. CNS Neurosci Ther, 2021, 27(3): 270-279. DOI: 10.1111/cns.13549.
[3]
ZÚÑIGA-RAMÍREZ C, FARÍAS-MORENO K C, MORENO G, et al. The costs and benefits of deep brain stimulation in Parkinson's disease: a review and social network analysis[J]. Arq Neuropsiquiatr, 2025, 83(7): 1-11. DOI: 10.1055/s-0045-1809996.
[4]
LI Y, ZHUANG R, ZHANG J, et al. The effect of different exercise training modes on improving quality of life in patients with Parkinson's disease: a network analysis[J/OL]. Front Neurol, 2025, 16: 1601080 [2025-07-01]. https://pubmed.ncbi.nlm.nih.gov/40672448/. DOI: 10.3389/fneur.2025.1601080.
[5]
LI T, ZOU X, KANG Y, et al. A meta-analysis of the effect of multidisciplinary comprehensive care on health-related quality of life and Unified Parkinson's Disease Rating Scale in Parkinson's disease[J]. Adv Clin Exp Med, 2023, 32(6): 623-631. DOI: 10.17219/acem/157241.
[6]
SHUQAIR M, JIMENEZ-SHAHED J, GHORAANI B. Shared-task Self-supervised Learning for Estimating Free Movement Unified Parkinson's Disease Rating Scale Ⅲ[J]. Annu Int Conf IEEE Eng Med Biol Soc, 2024, 2024: 1-4. DOI: 10.1109/EMBC53108.2024.10782431.
[7]
ABDRAIMOVA S, MYRZAYEV Z, KARIMOVA A, et al. Validation of the Kazakh version of the movement disorder Society-Unified Parkinson's disease rating scale[J/OL]. Clin Park Relat Disord, 2024, 10: 100232 [2025-07-02]. https://pubmed.ncbi.nlm.nih.gov/38292815/. DOI: 10.1016/j.prdoa.2024.100232.
[8]
PIRAMIDE N, DE MICCO R, SICILIANO M, et al. Resting-State Functional MRI Approaches to Parkinsonisms and Related Dementia[J]. Curr Neurol Neurosci Rep, 2024, 24(10): 461-477. DOI: 10.1007/s11910-024-01365-8.
[9]
LI X, PANG H, BU S, et al. Stage-dependent differential impact of network communication on cognitive function across the continuum of cognitive decline in Parkinson's disease[J/OL]. Neurobiol Dis, 2024, 199: 106578 [2025-07-02]. https://pubmed.ncbi.nlm.nih.gov/38925316/. DOI: 10.1016/j.nbd.2024.106578.
[10]
崔佳琪, 余前娥, 张体江. 帕金森病功能MRI影像组学研究进展[J]. 磁共振成像, 2025, 16(6): 132-138. DOI: 10.12015/issn.1674-8034.2025.06.020.
CUI J Q, YU Q E, ZHANG T J. Research progress of functional MRI radiomics in Parkinson's disease[J]. Chin J Magn Reson Imaging, 2025, 16(6): 132-138. DOI: 10.12015/issn.1674-8034.2025.06.020.
[11]
WANG Y, SUN Z, ZHOU Z. Aberrant changes of dynamic global synchronization in patients with Parkinson's disease[J]. Acta Radiol, 2023, 64(2): 784-791. DOI: 10.1177/02841851221094967.
[12]
LUO B, QIU C, CHANG L, et al. Altered brain network centrality in Parkinson's disease patients after deep brain stimulation: a functional MRI study using a voxel-wise degree centrality approach[J]. J Neurosurg, 2022, 138(6): 1712-1719. DOI: 10.3171/2022.9.JNS221640.
[13]
GAO Y J, MENG L L, LU Z Y, et al. Degree centrality values in the left calcarine as a potential imaging biomarker for anxious major depressive disorder[J/OL]. World J Psychiatry, 2025, 15(4): 100289 [2025-07-02]. https://pubmed.ncbi.nlm.nih.gov/40309609/. DOI: 10.5498/wjp.v15.i4.100289.
[14]
QIAN S, DI H, PEI H, et al. Alterations in degree centrality and functional connectivity associated with cognitive Impairment in myotonic dystrophy type 1: A Preliminary functional MRI study[J]. Neuroscience, 2025, 572: 49-55. DOI: 10.1016/j.neuroscience.2025.02.040.
[15]
SHAN A, ZHANG H, GAO M, et al. Aberrant voxel-based degree centrality and functional connectivity in Parkinson's disease patients with fatigue[J]. CNS Neurosci Ther, 2023, 29(9): 2680-2689. DOI: 10.1111/cns.14212.
[16]
CHEN Z, HE C, ZHANG P, et al. Brain network centrality and connectivity are associated with clinical subtypes and disease progression in Parkinson's disease[J]. Brain Imaging Behav, 2024, 18(3): 646-661. DOI: 10.1007/s11682-024-00862-1.
[17]
LI G, JIANG M, CHEN X, et al. Clinical and Functional Connectivity Markers in Prediction of Hallucinations in Parkinson's Disease[J/OL]. CNS Neurosci Ther, 2025, 31(6): e70432 [2025-07-02]. https://pubmed.ncbi.nlm.nih.gov/40485236/. DOI: 10.1111/cns.70432.
[18]
DAI X, ZHANG Y, FU C, et al. Investigating glymphatic function and bed nucleus of the stria terminalis-based functional connectivity in Parkinson's disease with and without depression[J/OL]. NPJ Parkinsons Dis, 2025, 11(1): 129 [2025-07-02]. https://pubmed.ncbi.nlm.nih.gov/40379669/. DOI: 10.1038/s41531-025-00985-2.
[19]
SHAN A D, ZHANG H, GAO M X, et al. Altered effective connectivity in Parkinson's disease patients with rapid eye movement sleep behavior disorder: a resting-state functional magnetic resonance imaging study and support vector machine analysis[J]. Quant Imaging Med Surg, 2025, 15(1): 352-369. DOI: 10.21037/qims-24-1196.
[20]
黄俊霖, 范万峰, 祖涵瑜, 等. 多模态磁共振成像在震颤为主型帕金森病中的研究进展[J]. 磁共振成像, 2024, 15(12): 181-186. DOI: 10.12015/issn.1674-8034.2024.12.028.
HUANG J L, FAN W F, ZU H Y, et al. Research progress of multimodal MRI in tremor-dominant Parkinson's disease[J]. Chin J Magn Reson Imaging, 2024, 15(12): 181-186. DOI: 10.12015/issn.1674-8034.2024.12.028.
[21]
TANG C, SUN R, XUE K, et al. Distinct serum GDNF coupling with brain structural and functional changes underlies cognitive status in Parkinson's disease[J/OL]. CNS Neurosci Ther, 2024, 30(3): e14461 [2025-07-02]. https://pubmed.ncbi.nlm.nih.gov/37718594/. DOI: 10.1111/cns.14461.
[22]
SONG C, SHEN Q, TAN C, et al. Distinct changes in global brain synchronization in different motor subtypes of Parkinson's disease[J/OL]. Front Neurosci, 2023, 17: 1170225 [2025-07-02]. https://pubmed.ncbi.nlm.nih.gov/37920294/. DOI: 10.3389/fnins.2023.1170225.
[23]
LI J, JIN M, WANG L, et al. MDS clinical diagnostic criteria for Parkinson's disease in China[J]. J Neurol, 2017, 264(3): 476-481. DOI: 10.1007/s00415-016-8370-2.
[24]
栾炜, 张杨, 陈飞, 等. 脑功能连接密度对不同运动亚型帕金森病的鉴别诊断价值及其与临床症状评分的相关性分析[J]. 中华神经医学杂志, 2023, 22(12): 1213-1219. DOI: 10.3760/cma.j.cn115354-20231008-00148.
LUAN W, ZHANG Y, CHEN F, et al. Value of brain functional connectivity density in differentially diagnosing different motor subtypes of Parkinson's disease and its correlation with clinical symptom scores[J]. Chin J Neuromed, 2023, 22(12): 1213-1219. DOI: 10.3760/cma.j.cn115354-20231008-00148.
[25]
JIN C, QI S, YANG L, et al. Abnormal functional connectivity density involvement in freezing of gait and its application for subtyping Parkinson's disease[J]. Brain Imaging Behav, 2023, 17(4): 375-385. DOI: 10.1007/s11682-023-00765-7.
[26]
王琦, 孙海华, 刘恒恒, 等. 帕金森病患者轻度认知障碍导致的脑功能连接密度改变及其与不同认知域评分的关系[J]. 中华神经医学杂志, 2024, 23(8): 777-784. DOI: 10.3760/cma.j.cn115354-20240703-00392.
WANG Q, SUN H H, LIU H H, et al. Alterations in functional connectivity density resulted from mild cognitive impairment and their correlations with cognitive scores in various cognitive domains in Parkinson's disease patients[J]. Chin J Neuromed, 2024, 23(8): 777-784. DOI: 10.3760/cma.j.cn115354-20240703-00392.
[27]
LEE G Y, KWON H Y, PARK K, et al. Medication versus globus pallidus internus deep brain stimulation in Parkinson's disease with deep learning video analysis of finger tapping[J/OL]. Sci Rep, 2025, 15(1): 17557 [2025-07-10]. https://pubmed.ncbi.nlm.nih.gov/40394036/. DOI: 10.1038/s41598-025-02098-5.
[28]
VIKENE K, SKEIE G O, SPECHT K. Compensatory task-specific hypersensitivity in bilateral planum temporale and right superior temporal gyrus during auditory rhythm and omission processing in Parkinson's disease[J/OL]. Sci Rep, 2019, 9(1): 12623 [2025-07-10]. https://pubmed.ncbi.nlm.nih.gov/31477742/. DOI: 10.1038/s41598-019-48791-0.
[29]
ZAMPIER V C, MOCHIZUKI L, BERETTA V S, et al. Verbal arm swing instructions alter arm-leg interlimb coordination but not prefrontal cortex hemodynamics in people with Parkinson's disease[J/OL]. Hum Mov Sci, 2025, 101: 103367 [2025-07-10]. https://pubmed.ncbi.nlm.nih.gov/40451039/. DOI: 10.1016/j.humov.2025.103367.
[30]
CHI S, WEN X, YU Y, et al. Sensorimotor network connectivity correlates with motor improvement after repetitive transcranial magnetic stimulation in patients with Parkinson's disease[J/OL]. Parkinsonism Relat Disord, 2023, 106: 105218 [2025-07-11]. https://pubmed.ncbi.nlm.nih.gov/36442365/. DOI: 10.1016/j.parkreldis.2022.11.010.
[31]
ZHANG L, YANG T, CHEN Y, et al. Cognitive Deficit and Aberrant Intrinsic Brain Functional Network in Early-Stage Drug-Naive Parkinson's Disease[J/OL]. Front Neurosci, 2022, 16: 725766 [2025-07-12]. https://pubmed.ncbi.nlm.nih.gov/35281494/. DOI: 10.3389/fnins.2022.725766.
[32]
GUO Z P, LIAO D, CHEN L, et al. Transcutaneous Auricular Vagus Nerve Stimulation Modulating the Brain Topological Architecture of Functional Network in Major Depressive Disorder: An fMRI Study[J/OL]. Brain Sci, 2024, 14(9): 945 [2025-07-12]. https://pubmed.ncbi.nlm.nih.gov/39335439/. DOI: 10.3390/brainsci14090945.
[33]
LUO B, ZOU Y, YAN J, et al. Altered Cognitive Networks Connectivity in Parkinson's Disease During the Microlesion Period After Deep Brain Stimulation[J/OL]. CNS Neurosci Ther, 2024, 30(12): e70184 [2025-07-12]. https://pubmed.ncbi.nlm.nih.gov/39722165/. DOI: 10.1111/cns.70184.
[34]
XING Y, ZHOU H, CHEN S, et al. Olfactory Network Disruptions as Mediators of Cognitive Impairment in De Novo Parkinson's Disease[J/OL]. CNS Neurosci Ther, 2025, 31(1): e70198 [2025-07-12]. https://pubmed.ncbi.nlm.nih.gov/39803685/. DOI: 10.1111/cns.70198.
[35]
LAN Y, YUAN H, MA X, et al. Resting-state functional connectivity of the occipital cortex in different subtypes of Parkinson's disease[J/OL]. CNS Neurosci Ther, 2024, 30(8): e14915 [2025-07-12]. https://pubmed.ncbi.nlm.nih.gov/39187974/. DOI: 10.1111/cns.14915.

上一篇 青少年重度抑郁症伴非自杀性自伤患者的CBF及CBF连接差异研究
下一篇 宫内生长受限胎儿海马发育的MRI研究
  
诚聘英才 | 广告合作 | 免责声明 | 版权声明
联系电话:010-67113815
京ICP备19028836号-2