分享:
分享到微信朋友圈
X
临床研究
基于DCE-MRI参数及临床危险因素构建的机器学习模型预测直肠癌微卫星不稳定状态的研究
田志玮 王世隆 毛锡金

本文引用格式:田志玮, 王世隆, 毛锡金. 基于DCE-MRI参数及临床危险因素构建的机器学习模型预测直肠癌微卫星不稳定状态的研究[J]. 磁共振成像, 2025, 16(12): 102-110. DOI:10.12015/issn.1674-8034.2025.12.015.


[摘要] 目的 探究动态对比增强磁共振成像(dynamic contrast-enhanced magnetic resonance imaging, DCE-MRI)参数联合临床危险因素构建的机器学习模型预测直肠癌微卫星不稳定(microsatellite instability, MSI)状态的价值。材料与方法 回顾性分析2022年5月至2024年7月滨州医学院附属医院150例直肠癌患者病例,以病理MSI状态分为MSI组27例,微卫星稳定(microsatellite stability, MSS)组123例。选取轴位T2WI、表观弥散系数(apparent diffusion coefficient, ADC)图及动态对比增强T1WI(dynamic contrast-enhanced T1WI, DCE-T1WI)图勾画肿瘤最大层面作为感兴趣区(region of interest, ROI),提取影像组学特征通过降维筛选出最佳特征,之后用多因素逻辑回归筛选MSI的临床独立预测因素及DCE参数,按7∶3比例分为训练集与验证集,同时使用XGBClassifier(extreme gradient boosting classifier, XGBoost)、逻辑回归(logistic regression, LR)、LGBMClassifier(light gradient boosting machine classifier, LGBM)、随机森林(random forest, RF)、决策树(decision tree classifier, DT)、高斯朴素贝叶斯(Gaussian naive Bayes, GNB)、支持向量机(support vector machine, SVM)、多层感知机分类器(multi-layer perceptron classifier, MLP)、自适应增强分类器(adaptive boosting classifier, AdaBoost)9种不同的机器算法构建模型,采用受试者工作特征(receiver operating characteristics, ROC)曲线和决策曲线分析(decision curve analysis, DCA)评估各模型预测直肠癌MSI状态效能及临床价值。此外,采集同一医院2024年12月至2025年6月的30例直肠癌病例建立时间验证集,绘制ROC曲线进行模型泛化能力的验证。结果 GNB模型表现最稳定,且基于临床独立危险因素、影像组学分数及DCE灌注参数构建的联合模型评估直肠癌MSI效果最佳,其中训练集、验证集及时间验证集曲线下面积(area under the curve, AUC)分别为0.920(95% CI:0.821~1.000)、0.900(95% CI:0.786~1.000)、0.817(95% CI:0.667~0.966)。结论 本研究中,9种机器学习算法中GNB在预测直肠癌MSI状态的效能最佳,并通过时间验证集进行了验证。基于DCE-MRI参数及临床危险因素构建的机器学习模型预测直肠癌MSI状态有一定价值。
[Abstract] Objective To explore the predictive value of a machine learning model integrating dynamic contrast-enhanced magnetic resonance imaging (DCE-MRI) parameters and clinical risk factors for microsatellite instability (MSI) status in rectal cancer.Materials and Methods A retrospective analysis was conducted on 150 rectal cancer patients treated at Binzhou Medical University Hospital between May 2022 and July 2024, including 27 with MSI and 123 with microsatellite stability (MSS). MRI axial T2WI, apparent diffusion coefficient (ADC) maps, and dynamic contrast-enhanced T1WI (DCE-T1WI) were used to delineate the tumor's largest cross-sectional area as the region of interest (ROI). Radiomic features were extracted and reduced to identify optimal features. Independent clinical predictors and DCE parameters for MSI were selected using multivariate logistic regression. The dataset was split into training and validation sets in a 7∶3 ratio. Nine machine learning algorithms, extreme gradient boosting classifier (XGBoost), logistic regression (LR), light gradient boosting machine classifier (LGBM), random forest (RF), decision tree classifier (DT), Gaussian naive Bayes (GNB), support vector classifier (SVM), multilayer perceptron classifier (MLP), and adaptive boosting classifier (AdaBoost) were employed to construct predictive models. The performance of each model in predicting MSI status was evaluated using receiver operating characteristic (ROC) curves and decision curve analysis (DCA). Additionally, a temporal validation set comprising 30 rectal cancer patients from the same hospital between December 2024 and June 2025 was used to assess model generalizability via ROC analysis.Results The GNB model demonstrated the most stable performance. The combined model, incorporating independent clinical risk factors, radiomics scores, and DCE perfusion parameters, demonstrated superior predictive performance for MSI status in rectal cancer, with area under the curve (AUC) values of 0.920 (95% CI: 0.821 to 1.000), 0.900 (95% CI: 0.786 to 1.000), and 0.817 (95% CI: 0.667 to 0.966) in the training set, validation set, and temporal validation set, respectively.Conclusions Among the nine machine learning algorithms evaluated, GNB exhibited the best performance in predicting MSI status in rectal cancer, which was further validated using a temporal validation set. Machine learning models incorporating DCE-MRI parameters and clinical risk factors show promising value in predicting MSI status in rectal cancer.
[关键词] 直肠癌;微卫星不稳定性;磁共振成像;动态对比增强;机器学习
[Keywords] rectal cancer;microsatellite instability;magnetic resonance imaging;dynamic contrast-enhanced;machine learning

田志玮 1   王世隆 1   毛锡金 1, 2*  

1 滨州医学院附属医院放射科,滨州 256600

2 滨州医学院医学影像学院,烟台 264003

通信作者:毛锡金,E-mail:mao2483000@163.com

作者贡献声明:毛锡金设计了本研究的方案,对稿件重要内容进行修改;田志玮起草和撰写稿件,获取、分析和解释本研究的数据;王世隆辅助收集本研究的数据,对稿件重要内容的修改提出建议;全体作者都同意发表最后的修改稿,同意对本研究的所有方面负责,确保本研究的准确性和诚信。


收稿日期:2025-07-17
接受日期:2025-12-06
中图分类号:R445.2  R735.37 
文献标识码:A
DOI: 10.12015/issn.1674-8034.2025.12.015
本文引用格式:田志玮, 王世隆, 毛锡金. 基于DCE-MRI参数及临床危险因素构建的机器学习模型预测直肠癌微卫星不稳定状态的研究[J]. 磁共振成像, 2025, 16(12): 102-110. DOI:10.12015/issn.1674-8034.2025.12.015.

0 引言

       直肠癌作为全球高发的消化道恶性肿瘤之一,其发病率和死亡率持续攀升,已成为公共卫生领域的重大挑战[1]。微卫星不稳定(microsatellite instability, MSI)是直肠癌发生的重要途径之一[2],主要由DNA错配修复(mismatch repair, MMR)基因突变或启动子甲基化引起,MSI状态对直肠癌的临床诊治、预后评估及治疗策略选择(如林奇综合征筛查、Ⅱ期预后判断、辅助化疗疗效预测、Ⅳ期治疗方案制定等)具有关键价值。因此,精准评估MSI状态是实现患者个性化治疗的重要环节[3, 4, 5]。目前,MSI状态评估的金标准依赖于组织病理学检测(肠镜活检或术后标本),常用的检测方式包括免疫组织化学染色(immunohistochemical, IHC)、聚合酶链式反应(polymerase chain reaction, PCR)等。IHC是最常用的方法,通过测量MLH1、MSH2、MSH6及PMS2的表达来确定错配修复蛋白缺陷(deficient mismatch repair, dMMR)的程度[6],其中任一MMR蛋白表达缺失即定义为MSI,全部表达则为MSS[7]。然而,有创的组织标本获取方法存在胃肠道出血和穿孔的潜在风险,同时肿瘤异质性也容易导致组织采样不足的问题。

       影像组学作为一种新的定量分析方法可无创地预测直肠癌的分子分型标志物,已有研究表明其在预测直肠癌的MSI状态有一定价值[8, 9],例如CHEN等[10]和YUAN等[11]都基于CT影像组学特征预测直肠癌的MSI状态上取得了一定进展,但仅限于单一CT模态图像,难以全面捕捉肿瘤异质性和复杂的病理生理特征(如血管生成、微循环状态)。相比之下,MRI的软组织分辨率较CT图像高,成为直肠癌患者无创性的首选检查方法[12, 13]。动态对比增强磁共振成像(dynamic contrast-enhanced magnetic resonance imaging, DCE-MRI)能够准确显示肿瘤区域血管内对比剂浓度随时间的变化特点,反映肿瘤的微循环状态、肿瘤的侵袭性及潜在MSI状态相关的微血管特征[14],从而为评估肿瘤生物学特性提供重要信息。然而,近几年少有研究将其系统性地与多序列MRI,如动态对比增强T1WI(dynamic contrast-enhanced T1WI, DCE-T1WI)、T2WI、表观弥散系数(apparent diffusion coefficient, ADC)的影像组学特征进行深度融合。本研究首次构建了融合临床独立危险因素、DCE-MRI灌注参数及DCE-T1WI、T2WI和ADC图构建三联联合预测模型,突破了单一模态或序列模型的局限性,为直肠癌MSI状态提供一种术前无创、高效且全面的评估新工具,有望提升直肠癌MSI状态预测的准确性,从而为指导直肠癌患者免疫治疗、个体化治疗决策的制定提供关键的分子依据,有力推动精准医疗的发展。

1 材料与方法

1.1 研究对象

       本研究为回顾性研究,遵守《赫尔辛基宣言》,并经滨州医学院附属医院科研伦理委员会审核通过,免除受试者知情同意,批准文号:[2025]伦理字(KYLL-065)号。收集2022年5月至2024年7月在滨州医学院附属医院因直肠占位行DCE-MRI扫描患者病例500例。纳入标准:(1)经病理证实为直肠癌;(2)术前接受DCE-MRI扫描;(3)临床资料及影像学检查完整。排除标准:(1)MRI检查前接受放化疗、手术等治疗的患者(97例);(2)图像资料不全(53例);(3)无MSI检测结果,缺少临床病理资料(116例);(4)MRI图像质量较差,病灶显示不清及无法测量DCE-MRI灌注参数(84例)。采集同一医院2024年12月至2025年6月的30例直肠癌建立时间验证集,验证模型的泛化应用能力。

1.2 临床资料

       收集患者相关临床资料,包括年龄、性别、术前TN分期、分化程度、淋巴结转移情况、肿瘤面积及长度[15]、肿瘤位置(根据直肠癌最下缘与肛缘距离≤5 cm、>5~10 cm将其分为下段、中上段)、病理形态(溃疡、隆起)[16]、神经侵犯及脉管浸润情况、KRAS基因[17]

1.3 仪器与方法

       使用美国GE公司3.0 T超导MRI机(Signa Greator, 750W)进行检查,配备8通道体部相控阵线圈。检查前要求患者禁食6~8 h,检查前30 min使用1支20 mL开塞露清洁肠道,并检查前15 min肌肉注射盐酸消旋山莨菪碱注射液20 mg以减少胃肠蠕动伪影。患者呈仰卧位,足先进。线圈中心置于耻骨联合水平,并根据肿瘤位置进行必要的调整。扫描序列及参数:(1)轴位T2WI,层厚5 mm,层间距1 mm,重复时间(repetition time, TR)4400 ms,回波时间(echo time, TE)22 ms,视野(field of view, FOV)256 mm×256 mm,矩阵256×320;(2)表观弥散系数(apparent diffusion coefficient, ADC),层厚5 mm,层间距1 mm,TR 6200 ms,TE 72 ms,FOV 360 mm×360 mm,矩阵256×640;(3)DCE:每期扫描时间约31 s,共扫描8~9期(1期蒙片+7~8期增强),FOV 256 mm×256 mm,层厚5 mm,层间距1 mm,TR 498 ms,TE 11 ms,FOV 260 mm×260 mm,矩阵256×256,翻转角15°,对比剂采用Gd-DTPA(钆喷酸葡胺)经静脉注射,速率为2.0 mL/s,剂量为0.1 mmol/kg,并用等剂量生理盐水冲洗。

1.4 MRI组学特征提取和筛选

       将轴位DCE-MRI、T2WI及ADC原始图像(DICOM)导入3D Slicer 4.11.0软件(https://github.com/Slicer/Slicer/releases)中,两位放射科医师(分别为具有5年工作经验的主治医师与15年以上工作经验的副主任医师)分别手动沿着肿瘤最大截面边缘勾画肿瘤最大层面感兴趣区(region of interest, ROI):(1)避开坏死、出血及气体等部分;(2)勾画区域不超过肿瘤边界;(3)选取动态增强最明显期像进行勾画,T2WI及ADC图勾画时,需参照增强序列进行匹配。详见图1

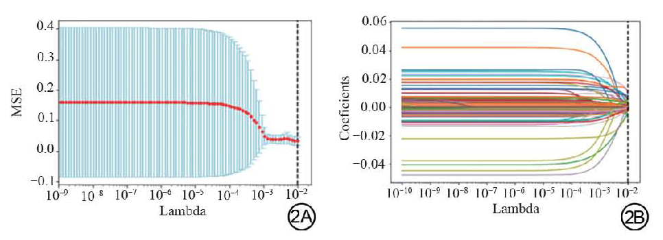
       采用组内相关系数(intra-class correlation coefficient, ICC)评估观察者勾画图像的一致性,并保留ICC>0.75(一致性较好)的影像组学特征。使用3D Slicer 4.1.1软件中的Radiomics对每个序列分别提取出838个影像组学特征,包括形特征、纹理特征和高阶滤波特征,在纹理特征提取之前先采用小波变换滤波(wavelet)进行预处理。然后利用Spearman秩相关分析和最小绝对收缩和选择算子(least absolute shrinkage and selection operator, LASSO)回归进行降维筛选,通过10倍交叉验证获取最优超参数λ(lambda),最终得到T2WI图6个特征(图2)、T1WI增强图4个特征、ADC图6个特征,成为最优特征值,并分别计算(式1~3)3组序列影像组学分数(radiomics score, Rad-score)。

       T2 Rad-score=-1.933 761 881 633 729+0.287 593 771 465 118 33× Correlation.1+2.327 888 384 473 703 7× Idn.1-0.000 574 168 047 437 784 92× ClusterShade.2-0.061 415 625 243 951 68× SmallDependenceEmphasis.2+ 0.039 733 766 829 578 08×Median.7 -0.232 458 998 554 347 57×Busyness.8(式1)

       DCE-T1 Rad-score=-2.814 128 389 125 387 7+1.513 760 050 837 540 4× Idn.1-0.104 281 728 484 622 4× Skewness.2-0.039 743 912 252 630 686× Skewness.3+1.825 986 014 895 656 8×Idn.7(式2)

       ADC Rad-score=0.434 587 214 108 837 8+4.828 216 349 021 078× ClusterShade.3+0.043 258 293 794 495 26× Median.7-1.070 878 920 713 835 2× Coarseness.4-0.693 129 205 918 455 7× Correlation.6-0.01 842 559 147 088 087 8× DifferenceVariance.6-0.573 331 614 694 268 4× SmallAreaLowGrayLevelEmphasis.6(式3)

       为了确保DCE-T1WI图像分辨率和体素大小的统一性,首先使用线性插值对其进行重新采样处理。随后,通过为绝对灰度离散化设置固定的bin大小,对灰度离散化进行归一化。将处理后的图像调入(syngo MMWP, VE40 A, Siemens AG)后处理工作站,应用Tissue4D由髂内动脉的时间-信号强度曲线(time-intensity curve, TIC)确定血流峰值期,由上述两位放射科医师在该期勾画灌注最高区域作为ROI,随后系统自动生成(图3图4)灌注图像和灌注参数值[18],其包括灌注参数对比剂增强比率(contrast enhancement ratio, CER)、钆对比剂浓度-时间曲线下初始面积(initial area under the gadolinium concentration-time curve, IAUCG)、最大斜率(Maxslope)、容积转运常数(volume transferconstant, Ktrans)、回流速率常数(rate constant, Kep)、细胞外血管外间隙容积分数(extracellular extravascular volume fraction, Ve)的数值。为了评估其测量结果的一致性和可靠性,上述两位放射科医师随机选取了30名患者,并在4周后重新测量这些参数,并保留ICC>0.75的灌注参数(表1)。然后取两组DCE-MRI灌注参数的平均值用于进一步分析。

图1  ROI 勾画示意图。女,68 岁,病理诊断为直肠中分化腺癌,图片红色区域分别为轴位DCE-T1WI 图ROI 区域(1A),匹配的T2WI 图ROI 区域(1B)及ADC图ROI 区域(1C)的示意图。ROI:感兴趣区;DCE:动态对比增强;ADC:表观弥散系数。
Fig. 1  ROI delineation diagram. A 68-year-old female patient with rectal moderately differentiated adenocarcinoma, the red areas in the images represent the ROI regions of the axial DCE-T1WI (1A), the corresponding T2WI (1B), and ADC (1C) images. ROI: region of interest; DCE: dynamic contrast-enhanced; ADC: apparent diffusion coefficient.
图2  LASSO回归10倍交叉验证过程。2A:基于T2WI图通过10折交叉验证并获取最优超参数λ(lambda);2B:随着λ值变化的特征系数曲线图,每条线代表一个特征的系数变化。
Fig. 2  The 10-fold cross-validation process for the LASSO regression. 2A: The optimal hyperparameter λ (lambda) was determined via 10-fold cross-validation based on T2WI; 2B: Coefficient profile plot showing the change in feature coefficients as λ varies, each line represents the coefficient path of an individual feature.
图4  DCE灌注图的ROI示意图。图中圈画的彩色区域分别是MSI状态DCE-MRI灌注图中的ROI(4A)、MSS状态DCE-MRI灌注图中的ROI(4B)。DCE:动态对比增强;ROI:感兴趣区;MSI:微卫星不稳定;MSS:微卫星稳定。
Fig. 4  The ROI delineation diagram of DCE perfusion parameters. The colored regions marked in the figure represent the ROI in the DCE-MRI perfusion images for the MSI state (4A) and the ROI in the DCE-MRI perfusion images for the MSS state (4B). ROI: region of interest; DCE: dynamic contrast-enhanced; MSI: microsatellite instability; MSS: microsatellite stability.
图3  DCE灌注参数的获取流程。DCE:动态对比增强;ROI:感兴趣区。
Fig. 3  The process of DCE perfusion parameters. DCE: dynamic contrast-enhanced; ROI: region of interest.
表1  DCE灌注参数的一致性检验
Tab. 1  The consistency test of DCE perfusion parameters

1.5 模型的构建与评估

       对上述降维筛选出的最优组学特征(T2 Rad-score+DCE-T1 Rad-score+ADC Rad-score)运用不同机器学习算法构建影像组学模型,包括XGBClassifier(extreme gradient boosting classifier, XGBoost)、逻辑回归(logistic regression, LR)、LGBMClassifier(light gradient boosting machine classifier, LGBM)、随机森林(random forest, RF)、决策树(decision tree classifier, DT)、高斯朴素贝叶斯(Gaussian naive Bayes, GNB)、支持向量机(support vector machine, SVM)、多层感知机分类器(multi-layer perceptron classifier, MLP)、自适应增强分类器(adaptive boosting classifier, AdaBoost)9种不同的机器学习算法。根据受试者工作特征(receiver operating characteristics, ROC)曲线的曲线下面积(area under the curve, AUC)选出最优机器学习模型(R1)。然后利用多因素logistic分析(逐步法),筛选出临床独立危险因素及DCE灌注参数,分别构建单一临床(年龄、性别、术前TN分期、分化程度等经logistic分析差异有统计学意义的临床指标)模型(R2),单一DCE灌注参数(Ktrans、Maxslope等经logistic分析有统计学差异的参数)的组学模型(R3),临床+DCE灌注参数(R4)、临床+影像组学(R5)、DCE灌注参数+影像组学(R6)的二联组学模型。然后根据临床独立危险因素、影像组学分数及DCE灌注参数构建三联的联合模型(R7)。绘制ROC曲线使用AUC及95%置信区间(confidence interval, CI)、敏感度和特异度等评估7种模型的诊断效能。采用DeLong检验评估7种模型的AUC差异,P<0.05为差异有统计学意义。绘制校准曲线并进行决策曲线分析(decision curve analysis, DCA),方便观察模型预测概率与真实概率之间的一致性,以及评估7种模型的实际临床应用价值。

1.6 统计学分析

       采用SPSS 26.0软件(version 26.0 IBM, Armonk, NY)对数据进行统计学分析。符合正态分布的计量资料等以(x¯±s)表示,组间比较采用独立样本t检验;对不符合正态分布的计量资料以MP25,P75)表示,采用Mann-Whitney U检验进行组间的差异对比;采用χ2检验或Fisher精确概率检验比较组间患者计数资料的差异。P<0.05为差异有统计学意义。

2 结果

2.1 一般临床资料

       研究共纳入150名直肠癌患者病例,按病理MSI状态分为MSS组123例,MSI组27例。其中有4例仅MLH1蛋白表达为阴性,2例部分MSH6蛋白、PMS2蛋白及MLH1蛋白表达为阴性,21例仅PMS2蛋白表达为阴性,归为MSI组;123例患者四种蛋白表达均为阳性,归为MSS组。MSI组与MSS组患者的肿瘤位置、分化程度差异有统计学意义(P<0.05);DCE灌注参数Ktrans、IAUCG差异有统计学意义(P<0.05),详见表2

表2  患者的基本情况统计表
Tab. 2  Statistical table of basic information of patients

2.2 组内及组间相关临床资料分析

       训练集105例中男57例,女48例,年龄65.66岁;验证集45例中男30例,女15例,年龄67.2岁,两组间肿瘤位置、分化程度差异和Ktrans、IAUCG差异有统计学意义(P<0.05)。训练集内MSI患者19例,男10例,女9例,年龄65.8岁;MSS患者86例,男47例,女39例,年龄65.6岁,训练集内一般资料比较差异无统计学意义(P>0.05)。训练集与验证集相关临床资料的平衡检验如表3。时间验证集中MSI患者7例、MSS患者23例。

表3  训练集与验证集患者临床资料的平衡检验
Tab. 3  The balance test of clinical data related to training and validation sets

2.3 机器学习模型的构建

       9种机器算法构建的影像组学机器学习模型中GNB表现出了最佳的稳定性及较好的预测性能(图5)。最终选择GNB算法构建的模型作为最佳组学模型。为了提高预测模型的准确度,联合临床危险因素及DCE灌注参数进一步构建联合模型。

图5  九种机器算法在训练集(5A)与验证集(5B)的受试者工作特征曲线。AUC:曲线下面积。
Fig. 5  Receiver operating characteristic curves of training set (5A) and validation set (5B) for 9 machine learning algorithms. AUC: area under the curve.

2.4 模型比较与验证

       logistic结果显示,肿瘤位置[OR=3.501(95% CI:1.005~12.199);P<0.05]、分化程度[OR=1.332(95% CI:1.036~1.713);P<0.05]为直肠癌MSI的临床独立危险因素,同时Ktrans[OR=2.189(95% CI:1.616~2.964);P<0.05]、IAUCG [OR=1.731(95% CI:1.241~2.416);P<0.05]为直肠癌MSI参数的影响因素。通过相互融合构建联合模型(R4~R7),结果示R7三联联合模型预测效果最佳,AUC(训练集0.920,验证集0.900,时间验证集0.817)均高于R1~R6模型(图6表4)。DeLong检验结果比较各模型之间的预测效能,差异均有统计学意义(P<0.05)。联合临床独立危险因素(包括肿瘤位置和分化程度)、Ktrans、IAUCG及影像组学分数,构建可视化SHAP图(图7)。绘制7种模型的校准曲线,展现出较好的拟合度(图8)。训练集的Brier score分数(图9)小于0.25。DCA展现了7种不同模型预测直肠癌MSI状态的临床实际价值(图10),其中R7三联联合模型展现出了最高净收益,提示其临床应用价值最大。

图6  七个模型在训练集(6A)、验证集(6B)和时间验证集(6C)的ROC 曲线。ROC:受试者工作特征;R1:影像组学模型;R2:单一临床指标模型;R3:单一DCE 灌注参数组学模型;R4:临床+DCE灌注参数联合模型;R5:临床+影像组学联合模型;R6:DCE 灌注参数+影像组学联合模型;R7:临床+影像组学+DCE 灌注参数联合模型。
Fig. 6  The ROC curve of seven models on the training set (6A), validation set (6B), and time-validation set (6C). ROC: receiver operating characteristic; R1: radiomics model; R2: single clinical indicator model; R3: single DCE perfusion parameter radiomics model; R4: clinical + DCE perfusion parameter combined model; R5: clinical + radiomics combined model; R6: DCE perfusion parameter + radiomics combined model; R7: clinical + radiomics + DCE perfusion parameter combined model.
图7  经筛选的最优特征及其权重(7A)和风险因素(7B)SHAP 图。IAUCG:钆对比剂浓度-时间曲线下初始面积;Ktrans:容积转运常数;ADC:表观弥散系数。
Fig. 7  SHAP diagram of the selected optimal features and weights (7A) and risk factors (7B). IAUCG: initial area under the gadolinium concentration-time curve; Ktrans: volume transport constant; ADC: apparent diffusion coefficient.
图8  各模型的校准曲线。R1:影像组学模型;R2:单一临床指标模型;R3:单一DCE 灌注参数组学模型;R4:临床+DCE 灌注参数联合模型;R5:临床+影像组学联合模型;R6:DCE 灌注参数+影像组学联合模型;R7:临床+影像组学+DCE灌注参数联合模型。
Fig. 8  Calibration curve of each model. R1: radiomics model; R2: single clinical indicator model; R3: single DCE perfusion parameter radiomics model; R4: clinical + DCE perfusion parameter combined model; R5: clinical + radiomics combined model; R6: DCE perfusion parameter + radiomics combined model; R7: clinical + radiomics + DCE perfusion parameter combined model.
图9  各模型在训练集与验证集的Brier评分。R1:影像组学模型;R2:单一临床指标模型;R3:单一DCE灌注参数组学模型;R4:临床+DCE灌注参数联合模型;R5:临床+影像组学联合模型;R6:DCE灌注参数+影像组学联合模型;R7:临床+影像组学+DCE灌注参数联合模型。
Fig. 9  Brier score of each model with training set and validation set. R1: radiomics model; R2: single clinical indicator model; R3: single DCE perfusion parameter radiomics model; R4: clinical + DCE perfusion parameter combined model; R5: clinical + radiomics combined model; R6: DCE perfusion parameter + radiomics combined model; R7: clinical + radiomics + DCE perfusion parameter combined model.
图10  模型对临床预测的决策分析曲线和临床影响曲线。R1:影像组学模型;R2:单一临床指标模型;R3:单一DCE灌注参数组学模型;R4:临床+DCE灌注参数联合模型;R5:临床+影像组学联合模型;R6:DCE灌注参数+影像组学联合模型;R7:临床+影像组学+DCE灌注参数联合模型。
Fig. 10  Models for clinical prediction decision analysis curve and clinical impact curve. R1: radiomics model; R2: single clinical indicator model; R3: single DCE perfusion parameter radiomics model; R4: clinical + DCE perfusion parameter combined model; R5: clinical + radiomics combined model; R6: DCE perfusion parameter + radiomics combined model; R7: clinical + radiomics + DCE perfusion parameter combined model.
表4  训练集、验证集、验证集模型效能比较
Tab. 4  Comparison of model performance between training set, validation set, and validation set

3 讨论

       本研究通过联合多序列MRI影像组学特征(T2WI、ADC、DCE-T1WI)、DCE-MRI灌注参数及临床独立危险因素,采用9种不同机器算法对比筛选最优机器算法来构建直肠癌MSI状态的7种预测模型。研究结果示,临床独立危险因素+影像组学+DCE灌注参数联合模型在训练集和验证集的AUC分别为0.920和0.900,高于其他6种预测模型。这反映了DCE灌注参数能有效获取MSI肿瘤的微血管密度特征,揭示其与肿瘤血管生成的生物学关联。本研究实现了DCE灌注参数、临床危险因素及多序列影像组学的融合,并加入SHAP可视化工具,进一步完善模型可解释性,对于直肠癌的诊断及精准治疗具有重要的临床应用价值。

3.1 临床危险因素与直肠癌MSI状态的相关性

       本研究中肿瘤位置差异具有统计学意义(P<0.05),这意味着肿瘤位置与结肠更接近的直肠癌患者更有可能患有MSI,这可能归因于结肠癌与MSI相关的倾向性高于直肠癌,这与既往研究报道一致[19]。在结直肠癌中,直肠癌MSI检出率约为15%[20, 21],常见于肿瘤级别低及年轻的患者,这与MSI状态直肠癌特定的生物学行为有关[22]。高度MSI(MSI-H)/dMMR较MSS低分化状态的直肠癌患者预后较好,究其原因是前者对PD-1抑制剂(如帕博利珠单抗)更敏感[23]。因此,明确直肠癌MSI状态对个体化治疗策略的制订及预后评估具有重要临床价值。本研究通过DCA与临床影响曲线验证,表明整合临床病理特征的联合预测模型提升了临床净获益率,进一步证明了本研究的重要性。

3.2 DCE-MRI灌注参数结合多序列MRI预测直肠癌MSI状态的可行性

       目前,已有基于MRI的T1WI、T2WI、ADC和DCE-T1WI等多序列模式评估直肠癌MSI状态的相关研究[24, 25, 26],提示其预测直肠癌患者的MSI状态性能良好。魏照坤等[27]研究ADC结合临床病理特征预测结直肠癌MSI状态的应用价值,采用logistic回归筛选独立预测因子,构建ADC单因素模型及ADC-临床病理联合模型,采用ROC曲线、校准曲线、DCA评估模型效能,发现联合模型的效能优于(AUC=0.901,敏感度=87.5%,特异度=93.0%)单一ADC模型(AUC=0.745,敏感度=75.0%,特异度=76.6%),校准曲线和DCA也表现出了良好的校准效能和临床实用性。LI等[28]也通过多参数MRI影像组学预测结直肠癌MSI状态,发现多序列联合模型效能高于单一序列模型,其原因可能是多个序列MRI的肿瘤图像信息更全面,可以更准确反映结直肠癌的异质性。

       本研究共纳入了T2WI、ADC及DCE-T1WI等MRI序列勾画ROI,综合3组序列及DCE参数构建的二联模型(R6模型)在训练集、验证集中AUC分别为0.919、0.899。加入临床独立危险因素后,R7模型AUC分别为0.920、0.900,高于以往多序列联合模型的预测能力[14, 29],其可能的原因是多个因素的纳入更加全面地展示了肿瘤的生物学行为信息,在预测直肠癌患者的MSI状态中具有较高的可行性。此外,本研究采用SHAP图对模型进行可视化解读,增强了其临床可解释性,有助于将模型的预测结果转化为具体的临床决策参考。

       本研究对7种模型进行比较,结果示R3模型在训练集及验证集的AUC值分别为0.837、0.822,高于R1模型(AUC=0.743、0.759)及R2模型(AUC=0.642、0.678);R7模型训练集与验证集的AUC值分别约0.920、0.900,高于R5模型(AUC=0.741、0.808),这种差异可能归因于MSI肿瘤中细胞凋亡与增殖的比例更高、活跃增殖的肿瘤细胞更少、肿瘤微血管密度降低以及血管内皮生长因子表达水平更低[30],表明了DCE灌注参数在预测直肠癌MSI状态中有着重要的预测价值。基于DCE-MRI灌注参数(Ktrans、Kep、IAUCG等)及临床危险因素的联合模型,可高效无创预测直肠癌患者的MSI状态,为术前个体化治疗策略提供重要工具。

3.3 DCE-MRI灌注参数预测直肠癌MSI状态的重要性及外部验证的必要性

       DCE-MRI技术不仅能反映肿瘤的形态特征,还能提供有关肿瘤灌注微环境的生物学信息[31]。基于DCE-MRI参数如Ktrans等能够反映对比剂在毛细血管与血管外细胞外空间之间的转移情况,而IAUCG则与肿瘤的血流灌注水平和间质空间密切相关,反映了肿瘤的血液供应和增殖率[32]。PENG等[18]利用DCE灌注参数联合临床病理特征构建nomogram预测结直肠癌MSI状态,取得了良好的结果。施柳言等[33]基于DCE-MRI及临床特征预测结直肠癌MSI的价值,结合影像组学特征、DCE灌注参数(Ktrans、Kep、Ve)的直方图特征、临床独立预测因素(身体质量指数、糖类抗原72-4、癌胚抗原)的影像组学nomogram可以预测MSI状态。这些结果证实了灌注参数联合应用可以更加准确全面评估肿瘤MSI状态,并且基于影像组学的预测模型可以有效地捕捉更深层次的定量图像信息,及时获取肿瘤的生物学特征。相较于PENG等[18]及施柳言等[33]研究中采用的单一时间点DCE参数或传统直方图分析,本研究首次系统整合了DCE-MRI灌注参数(Ktrans、IAUCG)、多序列成像与临床危险因素,更敏感地捕获了MSI肿瘤特有的微血管异常及细胞外基质改变。同时,我们在研究中同时比较了9种不同的常用机器学习算法,结果表明GNB算法的R1模型表现出了最佳的稳定性及较好的预测性能,训练集及验证集的AUC分别为0.743和0.759。证明稳定性较好的GNB算法在预测直肠癌MSI状态方面具有很大的潜力。值得注意的是,本研究中R7联合模型在内部验证中表现出良好效能(训练集AUC=0.920,验证集AUC=0.900),但在外部验证时出现显著衰减(AUC降至0.817),这一现象揭示了预测模型跨中心可迁移性的核心挑战,此现象本质源于单中心研究固有的技术异质性限制:扫描设备及参数设置差异、图像预处理不一致、ROI分割方法差异以及特征提取过程标准化不足[34],导致模型在不同机构间的可重复性受限,需要通过多中心外部验证整合多维成像信息,系统评估模型鲁棒性。然而,值得强调的是,即使在未来模型泛化性能得到提升之后,其根本的临床应用定位也应被清晰界定。本研究模型在验证集与时间验证集中均出现阳性预测值偏低的情况,侧面反映了该模型不适合作为一个独立的“确诊”工具。模型的真正价值在于其“筛查”与“分流”功能:即通过无创的方式,在术前从广大直肠癌患者中高效地筛选出MSI高危人群,从而为后续是否需要进行有创的组织活检或昂贵的基因检测决策提供依据。因此,本模型应被视为一个有力的辅助筛查工具,其目的是优化临床诊疗路径、提高金标准检测的针对性,而绝非替代病理检测的金标准。

3.4 联合模型阳性预测值的临床解读与意义

       本研究构建的R7联合模型在训练集、验证集及时间验证集中均展现出良好的鉴别效能,其AUC分别达到0.920、0.900和0.817,同时阴性预测值均高于93.7%,表明其预测MSI状态的能力较强。然而,该模型在验证集及时间验证集中的阳性预测值相对偏低,分别为45.5%和47.0%。这一现象主要与研究队列中MSI状态的基线患病率较低有关。本组患者中MSI阳性率为18%(27/150),属于低患病率人群。依据贝叶斯理论,在患病率较低的情况下,即使检测方法具备较高的特异性,其阳性结果中仍可能存在相当比例的假阳性病例,从而导致阳性预测值降低[35]

       在验证集人群中,MSI患病率为17.8%(8/45),R7模型在此数据集中的特异度为76.8%。尽管这一特异度水平具有一定的判别价值,但在低患病率背景下尚不足以实现较高的阳性预测值。这意味着,模型判读为“阳性”的结果更可能来源于实际为MSS的患者而非真正的MSI患者。上述特征提示,该模型更适用于临床筛查与分流,而非作为确诊依据。其较高的阴性预测值提示,若模型输出为“阴性”,则患者为MSS的可能性极大,这有助于规避一部分低危患者接受有创活检或费用较高的分子检测,从而优化医疗资源分配。另一方面,模型“阳性”结果应被视为一项重要提示,可将个体罹患MSI型直肠癌的验前概率由18%提高至约45%~55%,进而为后续开展IHC或PCR等金标准检测提供依据,有助于实现针对高危人群的精准筛查,提升诊断流程的效率与效益。

       综上所述,阳性预测值较低并不否定本模型的临床应用潜力,而是明确了其适用于筛查场景。今后的研究重点包括扩大样本规模、进一步优化特征选择流程、探索更先进的建模策略,以期在维持较高敏感度与阴性预测值的基础上提升模型特异度,从而改善阳性预测值,最终为直肠癌患者的术前MSI状态评估提供一种更可靠、无创的辅助工具。

3.5 不足与展望

       本研究存在一定的局限性:(1)本研究为单中心回顾性设计,且MSI阳性病例数量有限,可能影响模型的统计效能与稳健性;(2)本研究采用肿瘤最大层面二维ROI勾画方式,虽便于操作,但无法完整反映肿瘤的三维空间异质性,可能导致关键影像组学信息丢失,影响模型泛化能力;(3)本研究通过手动勾画ROI,难免存在观察者间的主观偏差。未来研究将从以下方面进行改进:(1)采用三维全肿瘤容积勾画技术,以更全面地表征肿瘤特征;(2)纳入多中心、前瞻性的大样本队列,系统验证模型在不同设备与扫描协议下的普适性与鲁棒性;(3)未来结合人工智能技术,探索基于深度学习的自动分割算法,实现ROI的精准、可重复分割,提升研究的客观性与标准化水平。

4 结论

       综上所述,本研究采用机器学习方法,构建了一个基于DCE-MRI灌注参数和临床独立危险因素的联合模型,并勾画SHAP图,使其可视化,联合模型可作为一种术前无创性预测直肠癌MSI状态的可靠工具,为患者的个性化治疗方案制订提供更精准的帮助。

[1]
SIEGEL R L, MILLER K D, FUCHS H E, et al. Cancer statistics, 2022[J]. CA A Cancer J Clinicians, 2022, 72(1): 7-33. DOI: 10.3322/caac.21708.
[2]
ZHANG X, WU T, CAI X Y, et al. Neoadjuvant immunotherapy for MSI-H/dMMR locally advanced colorectal cancer: new strategies and unveiled opportunities[J/OL]. Front Immunol, 2022, 13: 795972 [2025-05-20]. https://pubmed.ncbi.nlm.nih.gov/34307164/. DOI: 10.3389/fimmu.2022.795972.
[3]
MATSUBAYASHI H, OISHI T, SASAKI K, et al. Discordance of microsatellite instability and mismatch repair immunochemistry occurs depending on the cancer type[J]. Hum Pathol, 2023, 135: 54-64. DOI: 10.1016/j.humpath.2022.12.016.
[4]
BANDO H, TSUKADA Y, INAMORI K, et al. Preoperative chemoradiotherapy plus nivolumab before surgery in patients with microsatellite stable and microsatellite instability-high locally advanced rectal cancer[J]. Clin Cancer Res, 2022, 28(6): 1136-1146. DOI: 10.1158/1078-0432.CCR-21-3213.
[5]
TURNER K M, DELMAN A M, WIMA K, et al. Microsatellite instability is associated with worse overall survival in resectable colorectal liver metastases[J]. Am J Surg, 2023, 225(2): 322-327. DOI: 10.1016/j.amjsurg.2022.08.007.
[6]
刘坤, 罗瑞晨, 许惠娟, 等. 错配修复蛋白和微卫星不稳定在结直肠癌中检测中的对比分析[J]. 青岛医药卫生, 2024, 56(3): 177-180. DOI: 10.3969/j.issn.1006-5571.2024.03.005.
LIU K, LUO R C, XU H J, et al. Comparative analysis of mismatch repair proteins and microsatellite instability detection in colorectal carcinoma[J]. Qingdao Med J, 2024, 56(3): 177-180. DOI: 10.3969/j.issn.1006-5571.2024.03.005.
[7]
GELSOMINO F, BARBOLINI M, SPALLANZANI A, et al. The evolving role of microsatellite instability in colorectal cancer: A review[J]. Cancer Treat Rev, 2016, 51: 19-26. DOI: 10.1016/j.ctrv.2016.10.005.
[8]
ZHANG W, HUANG Z X, ZHAO J, et al. Development and validation of magnetic resonance imaging-based radiomics models for preoperative prediction of microsatellite instability in rectal cancer[J/OL]. Ann Transl Med, 2021, 9(2): 134 [2025-05-20]. https://pubmed.ncbi.nlm.nih.gov/33569436/. DOI: 10.21037/atm-20-7673.
[9]
SAMMAD A, DING Z X. Harnessing multi-omics: integrating radiomics and pathomics for predicting microsatellite instability in rectal cancer[J]. Acad Radiol, 2025, 32(4): 1946-1948. DOI: 10.1016/j.acra.2025.02.015.
[10]
CHEN W C, ZHENG K Y, YUAN W J, et al. A CT-based deep learning for segmenting tumors and predicting microsatellite instability in patients with colorectal cancers: a multicenter cohort study[J]. Radiol Med, 2025, 130(2): 214-225. DOI: 10.1007/s11547-024-01909-5.
[11]
YUAN H, PENG Y, XU X R, et al. A tumoral and peritumoral CT-based radiomics and machine learning approach to predict the microsatellite instability of rectal carcinoma[J]. Cancer Manag Res, 2022, 14: 2409-2418. DOI: 10.2147/CMAR.S377138.
[12]
ZHANG W, YIN H K, HUANG Z X, et al. Development and validation of MRI-based deep learning models for prediction of microsatellite instability in rectal cancer[J]. Cancer Med, 2021, 10(12): 4164-4173. DOI: 10.1002/cam4.3957.
[13]
LI Z B, DAI H, LIU Y X, et al. Radiomics analysis of multi-sequence MR images for predicting microsatellite instability status preoperatively in rectal cancer[J/OL]. Front Oncol, 2021, 11: 697497 [2025-05-20]. https://pubmed.ncbi.nlm.nih.gov/34307164/. DOI: 10.3389/fonc.2021.697497.
[14]
CAI Z P, XU Z Y, CHEN Y F, et al. Multiparametric MRI subregion radiomics for preoperative assessment of high-risk subregions in microsatellite instability of rectal cancer patients: a multicenter study[J]. Int J Surg, 2024, 110(7): 4310-4319. DOI: 10.1097/JS9.0000000000001335.
[15]
BAI W Q, MA J F, LIU Y Y, et al. Screening of MSI detection loci and their heterogeneity in East Asian colorectal cancer patients[J]. Cancer Med, 2019, 8(5): 2157-2166. DOI: 10.1002/cam4.2111.
[16]
TAIEB J, SVRCEK M, COHEN R, et al. Deficient mismatch repair/microsatellite unstable colorectal cancer: Diagnosis, prognosis and treatment[J]. Eur J Cancer, 2022, 175: 136-157. DOI: 10.1016/j.ejca.2022.07.020.
[17]
CORNISH A J, GRUBER A J, KINNERSLEY B, et al. The genomic landscape of 2, 023 colorectal cancers[J]. Nature, 2024, 633(8028): 127-136. DOI: 10.1038/s41586-024-07747-9.
[18]
PENG L P, MA W T, ZHANG X L, et al. Predictive value of combined DCE-MRI perfusion parameters and clinical features nomogram for microsatellite instability in colorectal cancer[J/OL]. Discov Oncol, 2025, 16(1): 892 [2025-05-20]. https://pubmed.ncbi.nlm.nih.gov/40410525/. DOI: 10.1007/s12672-025-02705-x.
[19]
YANG S Y, CHO M S, KIM N K. Difference between right-sided and left-sided colorectal cancers: from embryology to molecular subtype[J]. Expert Rev Anticancer Ther, 2018, 18(4): 351-358. DOI: 10.1080/14737140.2018.1442217.
[20]
MA Y Q, XU X R, LIN Y, et al. An integrative clinical and CT-based tumoral/peritumoral radiomics nomogram to predict the microsatellite instability in rectal carcinoma[J]. Abdom Radiol (NY), 2024, 49(3): 783-790. DOI: 10.1007/s00261-023-04099-2.
[21]
VANGALA D, NILIUS-ELILIWI V. Novel treatment concepts in patients with colorectal carcinomas and high microsatellite instability[J]. Zentralbl Chir, 2023, 148(6): 475-482. DOI: 10.1055/a-2012-4047.
[22]
CERCEK A, DOS SANTOS FERNANDES G, ROXBURGH C S, et al. Mismatch repair-deficient rectal cancer and resistance to neoadjuvant chemotherapy[J]. Clin Cancer Res, 2020, 26(13): 3271-3279. DOI: 10.1158/1078-0432.CCR-19-3728.
[23]
LI J J, XU Q, LUO C, et al. Clinicopathologic characteristics of resectable colorectal cancer with mismatch repair protein defects in Chinese population: Retrospective case series and literature review[J/OL]. Medicine (Baltimore), 2020, 99(24): e20554 [2025-08-10]. https://pubmed.ncbi.nlm.nih.gov/32541478/. DOI: 10.1097/MD.0000000000020554.
[24]
XING X W, LI D X, PENG J X, et al. A combinatorial MRI sequence-based radiomics model for preoperative prediction of microsatellite instability status in rectal cancer[J/OL]. Sci Rep, 2024, 14(1): 11760 [2025-05-20]. https://pubmed.ncbi.nlm.nih.gov/38783014/. DOI: 10.1038/s41598-024-62584-0.
[25]
ZHANG Y, LIU J, WU C Y, et al. Preoperative prediction of microsatellite instability in rectal cancer using five machine learning algorithms based on multiparametric MRI radiomics[J/OL]. Diagnostics (Basel), 2023, 13(2): 269 [2025-05-20]. https://pubmed.ncbi.nlm.nih.gov/36673079/. DOI: 10.3390/diagnostics13020269.
[26]
YAO X Z, DENG S T, HAN X Y, et al. Deep learning algorithm-based MRI radiomics and pathomics for predicting microsatellite instability status in rectal cancer: a multicenter study[J]. Acad Radiol, 2025, 32(4): 1934-1945. DOI: 10.1016/j.acra.2024.09.008.
[27]
魏照坤, 康玉洁, 彭乐平, 等. MRI-ADC联合临床病理特征对结直肠癌微卫星不稳定性状态的研究[J]. 磁共振成像, 2025, 16(1): 48-53, 88. DOI: 10.12015/issn.1674-8034.2025.01.008.
WEI Z K, KANG Y J, PENG L P, et al. Prediction of microsatellite instability in colorectal cancer based on MRI-ADC and clinicopathological features[J]. Chin J Magn Reson Imag, 2025, 16(1): 48-53, 88. DOI: 10.12015/issn.1674-8034.2025.01.008.
[28]
LI Z, ZHANG J, ZHONG Q, et al. Development and external validation of a multiparametric MRI-based radiomics model for preoperative prediction of microsatellite instability status in rectal cancer: a retrospective multicenter study[J]. Eur Radiol, 2023, 33(3): 1835-1843. DOI: 10.1007/s00330-022-09160-0.
[29]
JING G D, CHEN Y K, MA X L, et al. Predicting mismatch-repair status in rectal cancer using multiparametric MRI-based radiomics models: A preliminary study[J/OL]. Biomed Res Int, 2022, 2022: 6623574 [2025-05-20]. https://pubmed.ncbi.nlm.nih.gov/27009765/. DOI: 10.1155/2022/6623574.
[30]
TOH J, CHAPUIS P H, BOKEY L, et al. Competing risks analysis of microsatellite instability as a prognostic factor in colorectal cancer[J]. Br J Surg, 2017, 104(9): 1250-1259. DOI: 10.1002/bjs.10542.
[31]
KIM H R, KIM S H, NAM K H. Association between dynamic contrast-enhanced MRI parameters and prognostic factors in patients with primary rectal cancer[J]. Curr Oncol, 2023, 30(2): 2543-2554. DOI: 10.3390/curroncol30020194.
[32]
AO W Q, ZHANG X, YAO X Z, et al. Preoperative prediction of extramural venous invasion in rectal cancer by dynamic contrast-enhanced and diffusion weighted MRI: a preliminary study[J/OL]. BMC Med Imaging, 2022, 22(1): 78 [2025-05-20]. https://pubmed.ncbi.nlm.nih.gov/35484509/. DOI: 10.1186/s12880-022-00810-9.
[33]
施柳言, 潘妮妮, 赵建新, 等. 基于DCE-MRI及临床特征预测结直肠癌微卫星不稳定性的研究[J]. 中国医学计算机成像杂志, 2024, 30(4): 473-484. DOI: 10.19627/j.cnki.cn31-1700/th.2024.04.013.
SHI L Y, PAN N N, ZHAO J X, et al. Study on the prediction of microsatellite instability in colorectal cancer based on DCE MRI and clinical features[J]. Chin Comput Med Imag, 2024, 30(4): 473-484. DOI: 10.19627/j.cnki.cn31-1700/th.2024.04.013.
[34]
ZHAO B S, TAN Y Q, TSAI W Y, et al. Reproducibility of radiomics for deciphering tumor phenotype with imaging[J]. Sci Rep, 2016, 6: 23428. DOI: 10.1038/srep23428.
[35]
WYNANTS L, VAN CALSTER B, COLLINS G S, et al. Prediction models for diagnosis and prognosis of covid-19: systematic review and critical appraisal[J/OL]. BMJ, 2020, 369: m1328 [2025-05-20]. https://pubmed.ncbi.nlm.nih.gov/32265220/. DOI: 10.1136/bmj.m1328.

上一篇 基于5.0 T超高场MRI SWI联合多回波T2<sup>*</sup> mapping在肝细胞癌微血管侵犯中的诊断价值
下一篇 基于IVIM-MRI影像组学的列线图无创评估慢性肾病肾纤维化的价值
  
诚聘英才 | 广告合作 | 免责声明 | 版权声明
联系电话:010-67113815
京ICP备19028836号-2