分享:
分享到微信朋友圈
X
临床研究
DTI和ASL联合成像在评估成人无症状烟雾病认知障碍中的价值
付林 秦元林 李昕 牛若欣 袁雪霞 刘德国

本文引用格式:付林, 秦元林, 李昕, 等. DTI和ASL联合成像在评估成人无症状烟雾病认知障碍中的价值[J]. 磁共振成像, 2026, 17(2): 23-30. DOI:10.12015/issn.1674-8034.2026.02.004.


[摘要] 目的 探讨扩散张量成像(diffusion tensor imaging, DTI)联合动脉自旋标记(arterial spin labeling, ASL)在成人无症状烟雾病(Moyamoya disease, MMD)认知障碍(cognitive impairment, CI)中的应用价值。材料与方法 81例MMD患者[40例MMD伴CI(MMD-CI),41例MMD不伴CI(MMD-NCI)]和43名健康对照(healthy control, HC)者均行DTI及ASL扫描。比较分析各组不同脑区DTI及ASL参数值的差异及相关性。结果 MMD-CI组较MMD-NCI组、HC组双侧额叶皮层下、放射冠、侧脑室前角及侧脑室三角区白质、胼胝体及右半卵圆中心、左扣带回的表观扩散系数(apparent diffusion coefficient, ADC)升高(P<0.05),双侧额叶皮层下、放射冠、胼胝体及右侧脑室前角区的各向异性分数(fractional anisotropy, FA)降低(P<0.05),双侧半卵圆中心、放射冠及右额叶皮层下、右扣带回的脑血流量(cerebral blood flow, CBF)降低(P<0.05)。左放射冠、胼胝体、右侧脑室前角、左侧脑室前角及右侧脑室三角区的ADC值与CBF值呈负相关(r=-0.47、-0.44、-0.38、-0.27、-0.26);左放射冠、胼胝体、右侧脑室前角及左侧脑室三角区、右海马头的FA值与CBF值呈正相关(r=0.44、0.42、0.39、0.37、0.33)。MMD-CI组双放射冠、胼胝体、左额叶皮层下及右侧脑室前角FA值均低于MMD-NCI组,差异均有统计学意义(P<0.05)。结论 DTI及ASL能够揭示成人MMD患者脑白质的异常改变,FA值可能是识别成人MMD患者CI的敏感影像学指标。
[Abstract] Objective To explore the application value of diffusion tensor imaging (DTI) combined with arterial spin labeling (ASL) in cognitive impairment (CI) of asymptomatic Moyamoya disease (MMD) in adults.Materials and Methods DTI and ASL were performed in 81 patients with MMD (40 patients with MMD-CI and 41 patients with MMD-NCI) and 43 healthy controls (HC). The differences and correlations of DTI and ASL parameters in different brain regions of each group were compared and analyzed.Results Compared with MMD-NCI group and HC group, the apparent diffusion coefficient (ADC) of white matter, corpus callosum, right semi-oval center and left cingulate gyrus in bilateral frontal subcortex, corona radiata, anterior horn of lateral ventricle and trigone of lateral ventricle in MMD-CI group increased (P < 0.05), the fractional anisotropy (FA) of bilateral frontal subcortex, corona radiata, corpus callosum and right anterior horn of lateral ventricle decreased (P < 0.05), and the cerebral blood flow (CBF) of bilateral semi-oval center, corona radiata, right frontal subcortex and right cingulate gyrus decreased (P < 0.05). The ADC values of left corona radiata, corpus callosum, right anterior horn of ventricle, left anterior horn of ventricle and right trigone of ventricle were negatively correlated with CBF values (r = -0.47, -0.44, -0.38, -0.27, -0.26). The FA values of left corona radiata, corpus callosum, right anterior horn of ventricle, left trigone of ventricle and right hippocampal head were positively correlated with CBF values (r = 0.44, 0.42, 0.39, 0.37, 0.33). The FA values of double corona radiata, corpus callosum, left frontal subcortical and right ventricular anterior horn in MMD-CI group were lower than those in MMD-NCI group, and the differences were statistically significant (P < 0.05).Conclusions DTI and ASL can reveal the abnormal changes of white matter in adult MMD patients. FA value may be a sensitive imaging index to identify cognitive impairment in adult MMD patients.
[关键词] 成人无症状烟雾病;认知障碍;磁共振成像;扩散张量成像;动脉自旋标记
[Keywords] asymptomatic Moyamoya disease in adults;cognitive impairment;magnetic resonance imaging;diffusion tensor imaging;arterial spin labeling

付林 1, 2   秦元林 1   李昕 3   牛若欣 3   袁雪霞 1   刘德国 1*  

1 济宁医学院附属医院医学影像科,济宁 272029

2 滕州市中心人民医院影像中心,枣庄 277599

3 济宁医学院临床医学院,济宁 272013

通信作者:刘德国,E-mail:sdjnliudeguo@163.com

作者贡献声明::刘德国设计本研究的方案,对稿件重要内容进行了修改,获得了山东省自然科学基金项目、山东省医药卫生科技项目和济宁市重点研发计划项目资助;付林起草和撰写稿件,获取、分析和解释本研究的数据;秦元林、李昕、牛若欣分析或解释本研究的数据,对稿件重要内容进行了修改;袁雪霞负责数据的收集,分析本研究的数据,对稿件重要内容进行了修改;全体作者都同意发表最后的修改稿,同意对本研究的所有方面负责,确保本研究的准确性和诚信。


基金项目: 山东省自然科学基金项目 ZR2021MH109 山东省医药卫生科技项目 202309010645 济宁市重点研发计划项目 2024YXNS045
收稿日期:2025-10-13
接受日期:2025-12-29
中图分类号:R445.2  R743 
文献标识码:A
DOI: 10.12015/issn.1674-8034.2026.02.004
本文引用格式:付林, 秦元林, 李昕, 等. DTI和ASL联合成像在评估成人无症状烟雾病认知障碍中的价值[J]. 磁共振成像, 2026, 17(2): 23-30. DOI:10.12015/issn.1674-8034.2026.02.004.

0 引言

       烟雾病(Moyamoya disease, MMD)是一种较为罕见的慢性闭塞性脑血管疾病[1],在我国的发病率和患病率有逐渐上升的趋势[2]。多项研究表明MMD患者在其病程中认知障碍(cognitive impairment, CI)的发生率约为23.0%~71.4%[3, 4, 5],并且CI的出现可能早于其他临床症状,已成为临床评估的重要内容[6, 7]。CI在MMD患者中具有多样性和进展性特点,通常表现为智力受损、记忆力下降和执行功能受损等[8, 9, 10, 11],并且不同年龄段CI的程度和主要表现也有差异,儿童主要表现为智力受损,成人主要表现为执行功能受损。MMD伴发CI的发生机制较为复杂,当前尚未完全明确,既往有研究发现慢性脑灌注不足及脑白质微结构的改变可能是导致CI的影响因素[12, 13]。然而,现有研究多局限于脑灌注或脑白质微结构等单一维度评价MMD脑白质的组织病理学变化,在一定程度上限制了对MMD伴发CI机制的整体理解。

       动脉自旋标记(arterial spin labeling, ASL)[14]无需对比剂能够评估脑血流动力学状态;扩散张量成像(diffusion tensor imaging, DTI)[13]可以定量评估脑白质微结构的完整性。上述两种技术的联合应用能够从脑血流动力学、脑微结构等角度揭示MMD患者脑内变化情况。鉴于此,本研究基于DTI和ASL联合成像评价成人无症状MMD患者脑白质的微循环灌注以及微结构的变化,探讨在成人MMD伴发CI中的应用价值,为成人MMD患者CI的早期干预提供理论依据。

1 材料与方法

1.1 研究对象

       本研究遵循《赫尔辛基宣言》原则,已获得济宁医学院附属医院医学伦理委员会的审查并批准,批准文号:2022-03-C012,所有参与者在参加研究前均已签署了书面知情同意。前瞻性纳入2023年1月至2024年10月在济宁医学院附属医院确诊的81例成人无症状MMD患者和43例健康志愿者的临床及影像学资料,纳入流程见图1

       本研究中无症状MMD定义为常规MRI示无脑梗死及脑出血证据,脑白质中未发现明确异常高信号病灶或在T2加权成像上异常高信号灶的最大径不超过8 mm,无囊性信号[15, 16]

       MMD患者纳入标准:(1)参考指南[1]及专家共识[2]确诊为MMD;(2)病变为双侧性;(3)无卒中史及颅脑手术史;(4)年龄≥18岁,右利手。排除标准:(1)存在交流障碍者;(2)继发于代谢异常、占位性病变、感染性病变或创伤性脑损伤的神经精神系统疾病者;(3)有精神病史及家族史或进行性认知功能障碍者;(4)有急性代谢并发症或有严重低血糖史者;(5)有酒精/药物滥用史者;(6)伴发慢性消耗性疾病者。

       MMD患者分组:根据蒙特利尔认知评估(Montreal Cognitive Assessment, MoCA)和简易精神状态检查(Mini-Mental State Examination, MMSE)量表进行认知评分,规定若受教育年限>12年则MoCA评分≥26分、MMSE≥27分为认知正常,若受教育年限≤12年,则临界值分别以25分、24分为标准(如果患者是文盲或文化水平过低,可以选择基础量表进行评估)[17, 18]

图1  纳入流程图。MMD:烟雾病;HC:健康对照;MoCA:蒙特利尔认知评估;MMSE:简易精神状态检查;CI:认知障碍;MMD-CI:MMD伴CI;MMD-NCI: MMD不伴CI。
Fig. 1  Inclusion flow chart. MMD: Moyamoya disease; HC: healthy control; MoCA: Montreal Cognitive Assessment; MMSE: Mini-Mental State Examination; CI: cognitive impairment; MMD-CI: MMD with CI; MMD-NCI: MMD without CI.

1.2 测量及收集指标

       (1)一般临床资料:年龄、性别、高血压以及高脂血症、糖尿病患病情况;

       (2)MoCA量表与MMSE量表评分:本研究所有受试者量表的评价及记录均在MRI检查前当日由专业人员完成。

1.3 MR设备及扫描参数

       所有研究对象均采用荷兰3.0 T Philips Ingenia CX磁共振扫描仪和32通道颅脑专用线圈。常规序列包括:T1WI、T2WI、T2液体衰减反转恢复(fluid attenuated inversion recovery, FLAIR)及扩散加权成像(diffusion weighted imaging, DWI)序列。DTI序列扫描参数[19, 20]:b值=0、1000 s/mm2,64个弥散敏感梯度方向,TR 3800 ms,TE 76 ms,矩阵128×128,FOV 256 mm×256 mm,层厚2 mm,层间隔0。ASL序列扫描参数:TR 4500 ms,TE 11 ms,层厚4 mm,层间隔0,矩阵128×128,标记后延迟时间2500 ms。

1.4 数据分析与数据测量

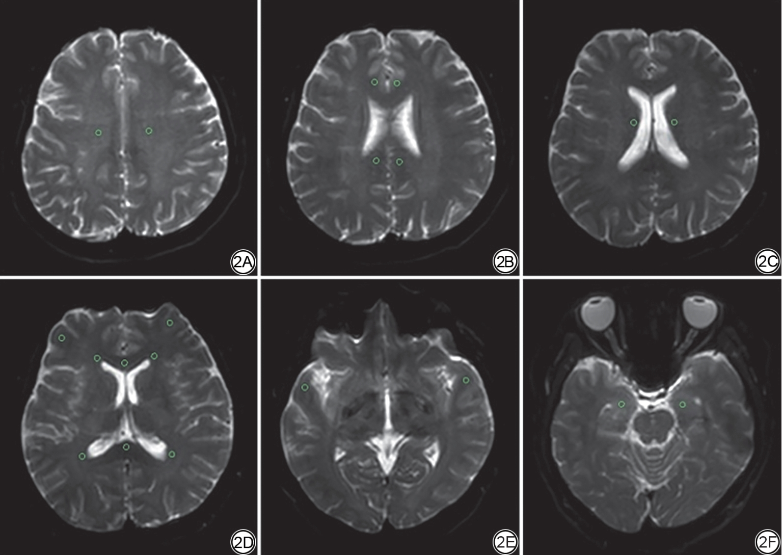
       数据重建及测量在Philips后处理工作站“IntelliSpace Portal(ISP)”version 6 (Philips Medical Systems)上进行。数据测量前利用Philips ISP工作站内置配准模块(如“Image Registration”)将ASL与DTI图像进行融合,从而确保ROI在CBF图、FA图和ADC图解剖位置一致。参考既往文献[3, 12, 21, 22, 23],两位经验丰富的影像医师依据T2WI图像独立双盲选取位置、大小、形态一致的感兴趣区(region of interest, ROI),包括双侧颞叶皮层下、额叶皮层下、半卵圆中心、放射冠、侧脑室前角及侧脑室三角区、扣带回、海马以及胼胝体(图2),ROI大小约8~10 mm2;各参数值最终定义为两位医师所有测量值的平均值。

       主要评价指标包括:CBF(用来表征脑组织葡萄糖代谢与氧摄取功能状态[24]);FA(用来评价神经纤维轴突结构的完整性及髓鞘化程度);ADC(用来反映水分子的运动受限特征)。

图2  以健康对照(HC)组为代表的图像中感兴趣区(ROI)所在位置。2A:半卵圆中心;2B:扣带回;2C:放射冠;2D:额叶、胼胝体、侧脑室前角及侧脑室三角区;2E:颞叶;2F:海马。
Fig. 2  The region of interest (ROI) locations in images represented by the healthy control (HC) group. 2A: Semi-oval center; 2B: Cingulate gyrus; 2C: Radioactive crown; 2D: Frontal lobe, corpus callosum, anterior horn of lateral ventricle and triangular area of lateral ventricle; 2E: Temporal lobe; 2F: Hippocampus.

1.5 统计学分析

       采用统计学软件SPSS 27.0进行统计学分析。组内相关系数(intra-class correlation coefficient, ICC)评估观察者内部及观察者间测量参数值的一致性,ICC>0.75认为数据具有良好的一致性。计数资料使用χ2检验分析。计量资料采用Kolmogorov-Smirnov检验、方差齐性检验确定数据资料的分布情况,如果资料服从正态分布且方差齐,采用单因素方差分析并行两两比较;如果资料呈偏态分布或方差不齐,采用非参数秩和检验比较;使用Bonferroni或Dunn's检验进行事后多重两两比较;将年龄、性别以及高血压、高脂血症、糖尿病患病情况作为协变量,选择偏相关性分析评价MMD患者ASL参数和DTI参数之间的相关性。P<0.05被认为差异具有统计学意义。

2 结果

2.1 临床基线信息

       本次研究最终共纳入124名研究对象,其中MMD伴CI(MMD-CI)组40例、MMD不伴CI(MMD-NCI)组41例、健康对照(healthy control, HC)组43例;经过方差分析,三组间年龄、性别、高血压以及高脂血症、糖尿病患病情况等一般临床资料差异均无统计学意义(均P>0.05)(表1)。MMD-CI组Suzuki分期较MMD-NCI组差异无统计学意义[3 (3, 4) vs. 3 (3, 4),Z=0.022,P=0.983]

表1  一般临床资料比较结果
Tab. 1  Results of comparative of general clinical data

2.2 DTI和ASL各参数值的一致性检验

       本研究随机选取右侧半卵圆中心的ADC值、FA值及CBF值采用ICC评估两位医师的一致性,ICC分别为0.898、0.917、0.896,结果表明各测量值具有较高的可重复性。

2.3 MMD-CI组、MMD-NCI组与HC组间各脑区ADC值、FA值及CBF值比较

       与MMD-NCI组、HC组相比,MMD-CI组双侧额叶皮层下、放射冠、侧脑室前角及侧脑室三角区白质、胼胝体、右侧半卵圆中心及左侧扣带回的ADC值均升高(均P<0.05);双侧额叶皮层下、放射冠、胼胝体及右侧侧脑室前角区的FA值均降低(均P<0.05);双侧半卵圆中心、放射冠及右侧额叶皮层下、右侧扣带回的CBF值均降低(均P<0.05)。对上述检验结果进行事后多重两两比较,MMD-CI组除左侧扣带回外其他脑区CBF、ADC及FA均较HC组差异有统计学意义(均P<0.05);MMD-NCI组FA值与HC组差异均无统计学意义(均P>0.05),左侧扣带回ADC值较HC组减低(P<0.05),右侧额叶皮层下CBF值较HC组减低(P<0.05);MMD-CI组FA值在双侧放射冠、胼胝体、左侧额叶皮层下及右侧侧脑室前角较MMD-NCI组差异均有统计学意义(均P<0.05),ADC值仅在胼胝体区域的差异有统计学意义(P<0.05),CBF值差异均无统计学意义(均P>0.05)(表2, 表3, 表4, 表5)。

表2  三组各脑区部位ADC值(×10-3 mm2/s)
Tab. 2  The ADC values (×10-3 mm2/s) of each brain region among the three groups
表3  三组各脑区部位FA值
Tab. 3  The FA values of each brain region in the three groups
表4  三组各脑区部位CBF值(mL/min•100 g)
Tab. 4  The CBF values (mL/min•100 g) of each brain region in the three groups
表5  三组间部分脑区ADC、FA及CBF值的两两比较结果
Tab. 5  The pairwise comparison results of ADC, FA and CBF values in some brain regions among the three groups

2.4 DTI和ASL参数的相关性分析

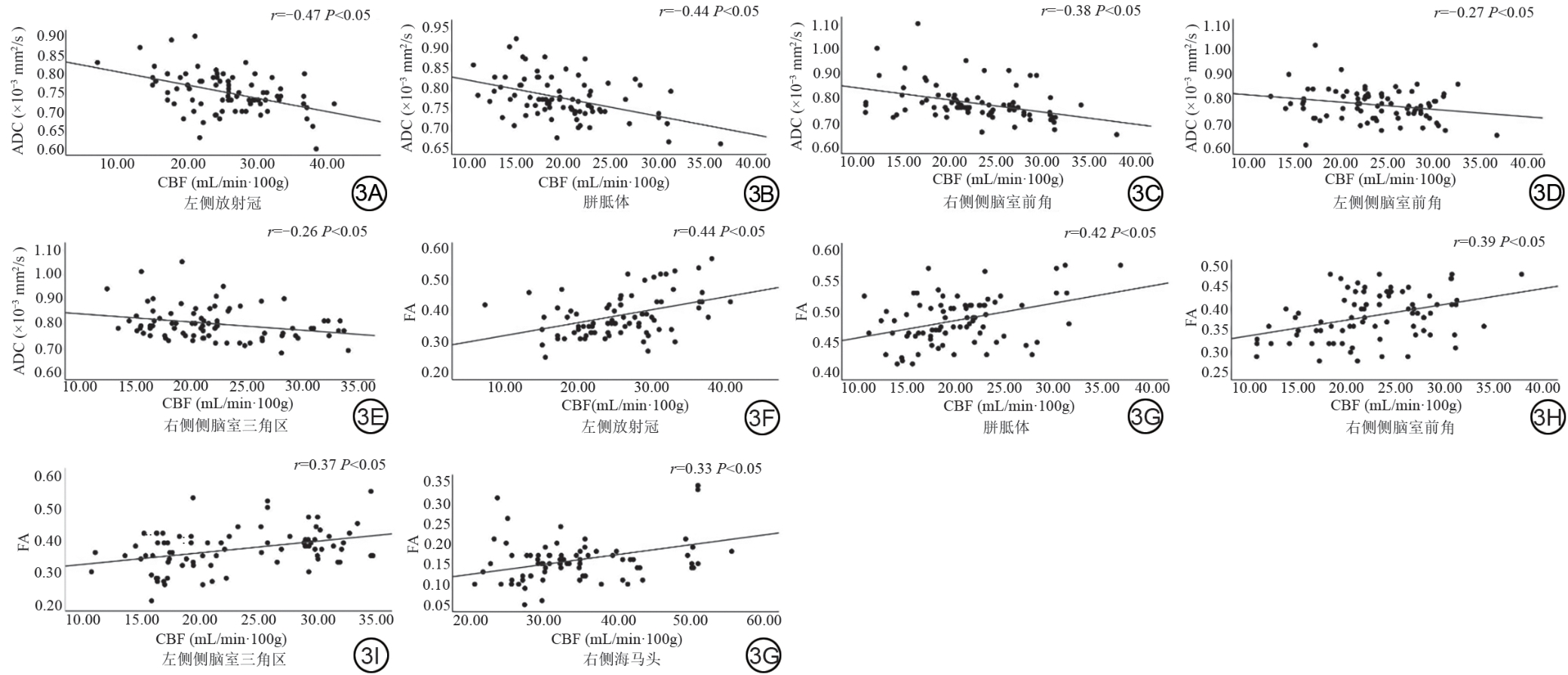
       将年龄、性别以及高血压、高脂血症、糖尿病患病情况作为协变量,对MMD患者(81例)的DTI及ASL参数进行偏相关分析。左侧放射冠、胼胝体、右侧侧脑室前角、左侧侧脑室前角及右侧侧脑室三角区的ADC值与CBF值呈负相关(r=-0.47、-0.44、-0.38、-0.27、-0.26),左侧放射冠、胼胝体、右侧侧脑室前角、左侧侧脑室三角区及右侧海马头的FA值与CBF值呈正相关(r=0.44、0.42、0.39、0.37、0.33),相关性最强的脑区均位于左侧放射冠(图3)。

图3  各感兴趣区的ADC、FA与CBF 关系的散点图。3A:左侧放射冠ADC与CBF 关系的散点图;3B:胼胝体ADC与CBF 关系的散点图;3C:右侧侧脑室前脚ADC 与CBF 关系的散点图;3D:左侧侧脑室前脚ADC 与CBF 关系的散点图;3E:右侧侧脑室三角区ADC与CBF 关系的散点图;3F:左侧放射冠FA与CBF 关系的散点图;3G:胼胝体FA与CBF 关系的散点图;3H:右侧侧脑室前脚FA与CBF 关系的散点图;3I:左侧侧脑室三角区FA与CBF 关系的散点图;3J:右侧海马头FA与CBF 关系的散点图。ADC:表观扩散系数;FA:部分各向异性;CBF:脑血流量。
Fig. 3  Scatter plots of the relationships between ADC, FA, and CBF in various regions of interest. 3A: Scatter plot of ADC and CBF in the left radiate crown; 3B: Scatter plot of ADC and CBF in the corpus callosum; 3C: Scatter plot of ADC and CBF in the anterior horn of the right lateral ventricle; 3D: Scatter plot of ADC and CBF in the anterior horn of the left lateral ventricle; 3E: Scatter plot of ADC and CBF in the triangular region of the right lateral ventricle; 3F: Scatter plot of FA and CBF in the left radiate crown; 3G: Scatter plot of FA and CBF in the corpus callosum; 3H: Scatter plot of FA and CBF in the anterior horn of the right lateral ventricle; 3I: Scatter plot of FA and CBF in the triangular region of the left lateral ventricle; 3J: Scatter plot of FA and CBF in the head of the right hippocampus. ADC: apparent diffusion coefficient; FA: fractional anisotropy; CBF: cerebral blood flow.

3 讨论

       本研究基于DTI和ASL技术联合评价成人无症状MMD患者脑白质微结构及脑微循环参数变化。研究发现,MMD-CI组及MMD-NCI组部分脑区的FA、ADC、CBF较HC组已发生异常改变,FA及ADC均与CBF具有一定的相关性;MMD-CI组部分脑区的FA值明显低于MMD-NCI组,提示FA值可能是识别成人无症状MMD患者CI的敏感影像学指标。

3.1 DTI评价成人MMD患者脑白质微结构变化

       DTI已被证明在评价神经认知功能障碍患者脑白质微结构方面有较高的应用价值[25, 26],白质纤维束显微结构的完整性受到破坏可致FA值降低,自由水含量增加和细胞完整性破坏则导致ADC值升高[27, 28]。本研究中ROI的选取是参考MMD研究领域内既往文献[3, 12, 21, 22, 23],确保了ROI选择的理论延续性与可比性。本研究发现,MMD-CI组及MMD-NCI组部分脑区的FA、ADC值较HC组已发生异常改变,结果与KAZUMATA等[29, 30]研究一致,提示MMD患者的脑白质结构完整性已出现破坏。但MMD两组患者海马区ADC、FA值与HC组未发现差异,与之不同的是文献表明阿尔茨海默病患者海马区白质纤维完整性出现改变[31],原因可能是MMD与其他神经退行性疾病具有不同的病理机制,需要进一步研究证实。

       在MMD-CI组与MMD-NCI组、HC组分别比较中,MMD-CI组双侧放射冠区、胼胝体、左侧额叶皮层下、右侧侧脑室前角的FA值均明显减低,但MMD-NCI组与HC组的比较中FA值差异均无统计学意义,结果表明MMD-CI组脑微结构的损伤程度大于MMD-NCI组,提示脑微结构损伤可能是导致MMD伴发CI的病理机制之一。MMD特点是前循环系统受累,因此额叶、放射冠等是脑损伤好发脑区,髓鞘和轴突的微观结构改变干扰了神经元间电信号的传递而引发CI,其中轴突损伤对认知功能的影响尤为显著[19]。KAZUMATA等[32]研究表明前额背外侧区、扣带回和顶下区白质束的FA值与MMD神经心理表现显著相关,HU等[33]发现MMD患者右侧弓状束的完整性与多种认知功能显著相关,尤其是工作记忆和视觉空间处理能力。探讨本研究与文献中责任脑区存在差异的原因,首先是研究群体不同,本研究侧重于MMD患者组间的比较,而既往研究均是MMD与HC组比较;其次评价手段的不同导致感兴趣脑区存在一定差异。另有研究表明MMD患者接受血管重建术后上放射冠、枕额下束和上纵束脑区的FA值较术前增加,认知得到改善[29],进一步验证了放射冠等脑区FA值与CI间的联系。

       此外,本研究还发现,右半卵圆中心、左扣带回、左侧脑室前角、双侧脑室三角区白质的ADC值在MMD-CI组与HC组、MMD-NCI组间存在显著差异,但FA值无明显差异,探讨其原因,首先ADC对于检测脑白质结构完整性方面可能比FA更敏感[21, 34],其次,半卵圆中心较高的髓磷脂有助于维持轴突髓鞘形成,可能会导致FA值变化阈值较高[35, 36];最后,不同脑区对各成像参数的区域特异性诊断效能可能会产生不同的影响[37]

3.2 ASL评价成人MMD患者脑血流灌注

       MMD患者因前循环为主的大血管进行性狭窄-闭塞导致脑组织长期处于低灌注状态,而ASL能通过CBF参数值无创反映脑血流动力学变化[38]。不同标记后延迟时间(post-labeling delay, PLD)在ASL评估MMD血管方面意义不同,PLD 1500 ms显示快速血流,可以间接反映血管的状态,但由于部分血运还未到达目标区域,CBF可能会被低估;而PLD 2500 ms可以显示延迟血流,间接反映MMD患者最终的灌注状态[39]

       本研究发现,MMD-CI组、MMD-NCI组部分脑区的CBF值均明显低于HC组,结果与既往文献一致,脑组织尤其是额叶的低灌注是MMD患者认知损害的危险因素[26]。但在MMD-CI与MMD-NCI两组比较中差异无统计学意义,提示CBF值在识别MMD患者是否伴发CI中的价值有限,而MMD两组患者之间FA、ADC值部分脑区却存在差异,尤其是FA值在MMD两组患者中存在诸多差异,上述结果表明DTI尤其是FA值更能反映成人MMD伴发CI患者的脑内异常变化,提示FA值可能是识别成人MMD患者CI的敏感影像学指标。

3.3 DTI联合ASL评价MMD患者脑白质异常改变

       DTI或ASL独立应用仅能从单一角度反映脑白质的组织病理学变化,而这些区域结构及功能异常通常是多维度病理生理机制的叠加效应。对MMD患者的DTI及ASL参数进行相关性分析结果显示,部分脑区ADC值与CBF值呈负相关,FA值与CBF值呈正相关,结果提示MMD患者脑白质微结构完整性与脑血流动力学具有相关性。脑白质易受慢性缺血的影响,在长期低灌注损伤的作用下,局部脑白质可能发生脱髓鞘改变,造成轴突不可逆损害,白质纤维束的完整性受到破坏后导致FA值降低,而自由水含量增加和细胞完整性破坏则导致ADC值升高[27, 28]

       脑白质是各种神经纤维聚集而成的区域,在维持神经信号传导完整性方面至关重要。脑白质微结构损伤后可导致脑功能网络连接发生紊乱,降低神经元间的电信号传导效率甚至导致电信号传导中断,从而对认知功能产生不良影响[40]。因此慢性低灌注损伤导致脑白质脱髓鞘、轴突丢失和胶质变性等变化可能是导致CI的病理学基础[41]

       值得注意的是,本研究中CBF与ADC的关联性高于FA,探讨原因可能是在低脑灌注损伤时,局部脑组织因缺血缺氧发生的细胞毒性水肿是最初的反映,但随着病程的发展,则会进展为脱髓鞘和神经元损伤[42, 43]

       此外,依据MMD患者外科血管重建术的有效性及脑白质微结构部分可逆的研究结果[44, 45],如果MMD患者早期接受血管重建手术,伴随脑血流动力学的改善,脑白质微结构损伤将在一定程度上获得减轻或甚至逆转。因此两种技术的联合应用能多维度揭示脑白质隐匿性损伤的信息,从而实现对MMD患者的个性化早期检测与量化评价。

3.4 本研究的局限性

       本研究存在一定的局限性:(1)本研究基于T2WI手动勾画 ROI存在一定程度依赖性偏差,空间分辨率、成像伪影等影像学技术的限制可能导致研究结果存在潜在偏移,未来研究中我们将考虑引入自动化或半自动化的方法采集3D-T1WI进行配准、对齐和融合以提高精确性和一致性;(2)本研究主要聚焦于脑白质异常改变,由于病例数量限制未能进一步分组细化和分析不同认知功能领域的具体损伤情况;(3)未对CI程度进一步分组统计分析,需要在随后的研究中进一步探讨。

4 结论

       DTI及ASL联合成像能够揭示成人无症状MMD患者脑白质的异常改变,脑白质微结构完整性与血流动力学有一定的相关性,FA值可能是识别成人无症状MMD患者CI的敏感影像学指标,在MMD伴发CI患者早期筛查、手术决策等方面能提供客观参考依据。

[1]
FUJIMURA M, TOMINAGA T, KURODA S, et al. 2021 Japanese Guidelines for the Management of Moyamoya Disease: Guidelines from the Research Committee on Moyamoya Disease and Japan Stroke Society[J]. Neurol Med Chir (Tokyo), 2022, 62(4): 165-170. DOI: 10.2176/jns-nmc.2021-0382.
[2]
中华医学会神经外科学分会. 烟雾病和烟雾综合征诊断与治疗中国专家共识(2024版)[J]. 中华神经外科杂志, 2024, 40(3): 220-229. DOI: 10.3760/cma.j.cn112050-20231119-00177.
Neurosurgical Branch of Chinese Medical Association. Chinese expert consensus on the diagnosis and treatment of Moyamoya disease and Moyamoya syndrome (2024 edition)[J]. Chin J Neurosurg, 2024, 40(3): 220-229. DOI: 10.3760/cma.j.cn112050-20231119-00177.
[3]
LI J, LIU X, ZHANG D, et al. Cognitive Performance Profile in Pediatric Moyamoya Disease Patients and Its Relationship With Regional Cerebral Blood Perfusion[J/OL]. Front Neurol, 2019, 10: 1308 [2025-10-13]. https://doi.org/10.3389/fneur.2019.01308. DOI: 10.3389/fneur.2019.01308.
[4]
GIROUD M, CALVIERE L, MACHADO C, et al. Prevalence and characteristics of vascular cognitive impairment in a European cohort of adult patients with Moyamoya angiopathy[J]. J Neurol, 2024, 271(9): 5976-5984. DOI: 10.1007/s00415-024-12555-2.
[5]
沈栩轩, 张厚地, 徐佳丽, 等. 成人烟雾病患者的心理和认知功能评估及认知功能的影响因素分析[J]. 中国脑血管病杂志, 2022, 19(4): 254-263. DOI: 10.3969/j.issn.1672-5921.2022.04.006.
SHEN X X, ZHANG H D, XU J L, et al. Assessment of psychological and cognitive funetion and influencing factors of cognitive function in adult patients with Moyamoya disease[J]. Chinese Journal of Cerebrovascular Diseases, 2022, 19(4): 254-263. DOI: 10.3969/j.issn.1672-5921.2022.04.006.
[6]
SHI Z, WEN Y J, HUANG Z, et al. Different aspects of cognitive function in adult patients with Moyamoya disease and its clinical subtypes[J]. Stroke Vasc Neurol, 2020, 5(1): 86-96. DOI: 10.1136/svn-2019-000309.
[7]
付林, 于昊, 刘德国. 功能磁共振成像在烟雾病认知障碍中的研究进展[J]. 磁共振成像, 2024, 15(1): 189-193. DOI: 10.12015/issn.1674-8034.2024.01.032.
FU L, YU H, LIU D G. Advances in functional magnetic resonance imaging in cognitive impairment of Moyamoya disease[J]. Chin J Magn Reson Imaging, 2024, 15(1): 189-193. DOI: 10.12015/issn.1674-8034.2024.01.032.
[8]
KRONENBURG A, VAN DEN BERG E, VAN SCHOONEVELD M M, et al. Cognitive Functions in Children and Adults with Moyamoya Vasculopathy: A Systematic Review and Meta-Analysis[J]. J Stroke, 2018, 20(3): 332-341. DOI: 10.5853/jos.2018.01550.
[9]
WANG X, LIU Z, ZHOU Z, et al. Cognitive dysfunction in Moyamoya disease: latest developments and future directions[J/OL]. Front Hum Neurosci, 2024, 18: 1502318 [2025-10-13]. https://doi.org/10.3389/fnhum.2024.1502318. DOI: 10.3389/fnhum.2024.1502318.
[10]
CHAN E, GAL A M, VAN HARSKAMP N, et al. Long-term study of the cognitive profile of Moyamoya Disease in adults [J/OL]. J Stroke Cerebrovasc Dis, 2023, 32(6): 107064 [2025-10-13]. https://doi.org/10.1016/j.jstrokecerebrovasdis.2023.107064. DOI: 10.1016/j.jstrokecerebrovasdis.2023.107064.
[11]
MAEHARA N, NAKAMIZO A, ARIMURA K, et al. Memory, Executive, and Intellectual Functions in Adults with Moyamoya Disease[J/OL]. World Neurosurg, 2023, 180: e474-e83 [2025-10-13]. https://doi.org/10.1016/j.wneu.2023.09.092. DOI: 10.1016/j.wneu.2023.09.092.
[12]
HE S, LIU Z, WEI Y, et al. Impairments in brain perfusion, executive control network, topological characteristics, and neurocognition in adult patients with asymptomatic Moyamoya disease[J/OL]. BMC Neurosci, 2021, 22(1): 35 [2025-10-13]. https://doi.org/10.1186/s12868-021-00638-z. DOI: 10.1186/s12868-021-00638-z.
[13]
HAO X, LIU Z, HE S, et al. Application of DTI and fMRI in Moyamoya disease[J/OL]. Front Neurol, 2022, 13: 948830 [2025-10-13]. https://doi.org/10.3389/fneur.2022.948830. DOI: 10.3389/fneur.2022.948830.
[14]
LI J, MENG Q, HUANG L, et al. Pseudo-continuous and territorial arterial spin labeling MRI for assessment of cerebral perfusion in Moyamoya disease after revascularization: A comparative study with digital subtraction angiography[J/OL]. Heliyon, 2024, 10(17): e37368 [2025-10-13]. https://doi.org/10.1016/j.heliyon.2024.e37368. DOI: 10.1016/j.heliyon.2024.e37368.
[15]
KARZMARK P, ZEIFERT P D, BELL-STEPHENS T E, et al. Neurocognitive impairment in adults with Moyamoya disease without stroke[J]. Neurosurgery, 2012, 70(3): 634-638. DOI: 10.1227/NEU.0b013e3182320d1a.
[16]
JO K I, YEON J Y, HONG S C, et al. Clinical Course of Asymptomatic Adult Moyamoya Disease[J]. Cerebrovascular Diseases, 2014, 37(2): 94-101. DOI: 10.1159/000356350.
[17]
KHAW J, SUBRAMANIAM P, AZIZ N A ABD, et al. Current Update on the Clinical Utility of MMSE and MoCA for Stroke Patients in Asia: A Systematic Review[J/OL]. Int J Environ Res Public Health, 2021, 18(17): 8962 [2025-10-13]. https://doi.org/10.3390/ijerph18178962. DOI: 10.3390/ijerph18178962.
[18]
LI H, JIA J, YANG Z. Mini-Mental State Examination in Elderly Chinese: A Population-Based Normative Study[J]. J Alzheimers Dis, 2016, 53(2): 487-496. DOI: 10.3233/JAD-160119.
[19]
LIU Z, HE S, XU Z, et al. Association between white matter impairment and cognitive dysfunction in patients with ischemic Moyamoya disease[J/OL]. BMC Neurol, 2020, 20(1): 302 [2023-10-13]. https://doi.org/10.1186/s12883-020-01876-0. DOI: 10.1186/s12883-020-01876-0.
[20]
ZHU H, ZHU C, LIU T, et al. Alterations in the Glymphatic System and Association with Brain Structure and Cognitive Function in Moyamoya Disease[J]. Transl Stroke Res, 2024, 16(4): 1173-1184. DOI: 10.1007/s12975-024-01296-z.
[21]
SHEN X X, ZHANG H D, FU H G, et al. Association of cognitive function and hypoperfusion in Moyamoya disease patients without stroke[J]. J Cereb Blood Flow Metab, 2023, 43(4): 542-551. DOI: 10.1177/0271678X221140349.
[22]
SU J B, XI S D, ZHOU S Y, et al. Microstructural damage pattern of vascular cognitive impairment: a comparison between Moyamoya disease and cerebrovascular atherosclerotic disease[J]. Neural Regen Res, 2019, 14(5): 858-867. DOI: 10.4103/1673-5374.249234.
[23]
ZHENG W, QIN X, MU R, et al. Prediction models for cognitive impairment in middle-aged patients with cerebral small vessel disease[J/OL]. Front Neurol, 2025, 16: 1462636 [2025-10-13]. https://doi.org/10.3389/fneur.2025.1462636. DOI: 10.3389/fneur.2025.1462636.
[24]
HUANG H, ZHAO K, ZHU W, et al. Abnormal Cerebral Blood Flow and Functional Connectivity Strength in Subjects With White Matter Hyperintensities[J/OL]. Front Neurol, 2021, 12: 752762 [2025-10-13]. https://doi.org/10.3389/fneur.2021.752762. DOI: 10.3389/fneur.2021.752762.
[25]
TAE W S, HAM B J, PYUN S B, et al. Current Clinical Applications of Diffusion-Tensor Imaging in Neurological Disorders[J]. J Clin Neurol, 2018, 14(2): 129-140. DOI: 10.3988/jcn.2018.14.2.129.
[26]
GIROUD M, PLANTON M, DARCOURT J, et al. MRI hypoperfusion as a determinant of cognitive impairment in adults with Moyamoya angiopathy[J]. Eur Stroke J, 2024, 9(3): 732-742. DOI: 10.1177/23969873241240829.
[27]
LOPE-PIEDRAFITA S. Diffusion Tensor Imaging (DTI)[J]. Methods Mol Biol, 2018, 1718: 103-116. DOI: 10.1007/978-1-4939-7531-0_7.
[28]
李晓桐, 王凯, 艾林. 弥散张量成像和18F-AV1451 PET tau蛋白脑显像对MCI诊断及鉴别诊断的初步研究[J]. 磁共振成像, 2022, 13(4): 5-14. DOI: 10.12015/issn.1674-8034.2022.04.002.
LI X T, WANG K, AI L. Preliminary study of diffusion tensor imaging and 18F-AV1451 PET tau protein brain imaging in the diagnosis and differential diagnosis of MCI[J]. Chin J Magn Reson Imaging, 2022, 13(4): 5-14. DOI: 10.12015/issn.1674-8034.2022.04.002.
[29]
KAZUMATA K, THA K K, TOKAIRIN K, et al. Brain Structure, Connectivity, and Cognitive Changes Following Revascularization Surgery in Adult Moyamoya Disease[J/OL]. Neurosurgery, 2019, 85(5): E943-E952 [2025-10-13]. https://doi.org/10.1093/neuros/nyz176. DOI: 10.1093/neuros/nyz176.
[30]
KAZUMATA K, TOKAIRIN K, ITO M, et al. Combined structural and diffusion tensor imaging detection of ischemic injury in Moyamoya disease: relation to disease advancement and cerebral hypoperfusion[J]. J Neurosurg, 2020, 134(3): 1155-1164. DOI: 10.3171/2020.1.JNS193260.
[31]
CHEN Y, WANG Y, SONG Z, et al. Abnormal white matter changes in Alzheimer's disease based on diffusion tensor imaging: A systematic review[J/OL]. Ageing Res Rev, 2023, 87: 101911 [2025-10-13]. https://doi.org/10.1016/j.arr.2023.101911. DOI: 10.1016/j.arr.2023.101911.
[32]
KAZUMATA K, THA K K, NARITA H, et al. Chronic ischemia alters brain microstructural integrity and cognitive performance in adult Moyamoya disease[J]. Stroke, 2015, 46(2): 354-360. DOI: 10.1161/STROKEAHA.114.007407.
[33]
HU J, LI Y, TONG Y, et al. Moyamoya Disease With Initial Ischemic or Hemorrhagic Attack Shows Different Brain Structural and Functional Features: A Pilot Study[J/OL]. Front Neurol, 2022, 13: 871421 [2023-10-13]. https://doi.org/10.3389/fneur.2022.871421. DOI: 10.3389/fneur.2022.871421.
[34]
CALVIERE L, CATALAA I, MARLATS F, et al. Correlation between cognitive impairment and cerebral hemodynamic disturbances on perfusion magnetic resonance imaging in European adults with Moyamoya disease. Clinical article[J]. J Neurosurg, 2010, 113(4): 753-759. DOI: 10.3171/2010.4.JNS091808.
[35]
李卫萍, 王芳芳, 张鑫, 等. 基于纤维束自动定量法对正常老龄化脑白质纤维完整性改变的观察[J]. 中华医学杂志, 2017, 97(13): 976-981. DOI: 10.3760/cma.j.issn.0376-2491.2017.13.003.
LI W P, WANG F F, ZHANG X, et al. Study on age and white matter neuronal integrity in healthy volunteers based on automating fiber-tract quantification[J]. Natl Med J China, 2017, 97(13): 976-981. DOI: 10.3760/cma.j.issn.0376-2491.2017.13.003.
[36]
KATO D, AOYAMA Y, NISHIDA K, et al. Regulation of lipid synthesis in myelin modulates neural activity and is required for motor learning[J]. Glia, 2023, 71(11): 2591-2608. DOI: 10.1002/glia.24441.
[37]
DOLUI S, TISDALL D, VIDORRETA M, et al. Characterizing a perfusion-based periventricular small vessel region of interest[J/OL]. Neuroimage Clin, 2019, 23: 101897 [2025-10-13]. https://doi.org/10.1016/j.nicl.2019.101897. DOI: 10.1016/j.nicl.2019.101897.
[38]
MARTIN-NOGUEROL T, KIRSCH C F E, MONTESINOS P, et al. Arterial spin labeling for head and neck lesion assessment: technical adjustments and clinical applications[J]. Neuroradiology, 2021, 63(12): 1969-1983. DOI: 10.1007/s00234-021-02772-1.
[39]
HARA S, TANAKA Y, UEDA Y, et al. Noninvasive Evaluation of CBF and Perfusion Delay of Moyamoya Disease Using Arterial Spin-Labeling MRI with Multiple Postlabeling Delays: Comparison with 15O-Gas PET and DSC-MRI[J]. AJNR Am J Neuroradiol, 2017, 38(4): 696-702. DOI: 10.3174/ajnr.A5068.
[40]
许梦丽, 李乐军. 成人烟雾病相关认知障碍的研究进展[J]. 中国脑血管病杂志, 2025, 22(4): 256-263. DOI: 10.3969/j.issn.1672-5921.2025.04.005.
XU M L, LI L J. Research progress of cognitive impairment associated with Moyamoya disease in adults[J]. Chinese Journal of Cerebrovascular Diseases, 2025, 22(4): 256-263. DOI: 10.3969/j.issn.1672-5921.2025.04.005.
[41]
HARA S, HORI M, UEDA R, et al. Unraveling Specific Brain Microstructural Damage in Moyamoya Disease Using Diffusion Magnetic Resonance Imaging and Positron Emission Tomography[J]. J Stroke Cerebrovasc Dis, 2019, 28(4): 1113-1125. DOI: 10.1016/j.jstrokecerebrovasdis.2018.12.038.
[42]
FERRIS J K, GREELEY B, VAVASOUR I M, et al. In vivo myelin imaging and tissue microstructure in white matter hyperintensities and perilesional white matter[J/OL]. Brain Commun, 2022, 4(3): fcac142 [2025-10-13]. https://doi.org/10.1093/braincomms/fcac142. DOI: 10.1093/braincomms/fcac142.
[43]
HUANG H T, TUNG T H, LIN M, et al. Characterizing spatiotemporal progression and prediction of infarct lesion volumes in experimental acute ischemia using quantitative perfusion and diffusion imaging[J/OL]. Appl Radiat Isot, 2021, 168: 109522 [2025-10-13]. https://doi.org/10.1016/j.apradiso.2020.109522. DOI: 10.1016/j.apradiso.2020.109522.
[44]
YU S, MA S J, LIEBESKIND D S, et al. Reperfusion Into Severely Damaged Brain Tissue Is Associated With Occurrence of Parenchymal Hemorrhage for Acute Ischemic Stroke[J/OL]. Front Neurol, 2020, 11: 586 [2025-10-13]. https://doi.org/10.3389/fneur.2020.00586. DOI: 10.3389/fneur.2020.00586.
[45]
袁雪霞, 薛晓丽, 李美芹, 等. CT灌注对不同血管重建术式治疗成人缺血型烟雾病疗效评估的价值[J]. 中国医师杂志, 2025, 27(2): 189-194. DOI: 10.3760/cma.j.cn431274-20240129-00202.
YUAN X X, XUE X L, LI M Q, et al. Value of CT perfusion in evaluating the efficacy of different vascular reconstruction methods in the treatment of adult ischemic Moyamoya disease[J]. J Chin Physician, 2025, 27(2): 189-194. DOI: 10.3760/cma.j.cn431274-20240129-00202.

上一篇 多发性硬化症一致性脑功能异常:一项荟萃分析研究
下一篇 慢性心力衰竭患者皮层下核团结构及功能的磁共振成像研究
  
诚聘英才 | 广告合作 | 免责声明 | 版权声明
联系电话:010-67113815
京ICP备19028836号-2