分享:
分享到微信朋友圈
X
基础研究
新生大鼠生发基质出血后白质损伤的动态演变:一项基于扩散张量成像的纵向研究
郭辰茜 秦池 张小安 苗晨旭 李梦然 刘凌越 张鹏华 杨金泽 赵鑫

Cite this article as: GUO C X, QIN C, ZHANG X A, et al. Dynamic evolution of white matter injury following germinal matrix hemorrhage in neonatal rats: A longitudinal study based on diffusion tensor imaging[J]. Chin J Magn Reson Imaging, 2026, 17(3): 68-77.本文引用格式:郭辰茜, 秦池, 张小安, 等. 新生大鼠生发基质出血后白质损伤的动态演变:一项基于扩散张量成像的纵向研究[J]. 磁共振成像, 2026, 17(3): 68-77. DOI:10.12015/issn.1674-8034.2026.03.010.


[摘要] 目的 应用多模态磁共振成像(magnetic resonance imaging, MRI),探究生发基质出血(germinal matrix hemorrhage, GMH)后脑白质损伤的时空演变规律,并探索损伤后的神经炎症反应及运动功能。材料与方法 将38只5日龄SD大鼠随机分为GMH组(胶原酶诱导)和假手术对照组。于术后12小时、1、3、5及30天进行纵向MRI扫描,序列包括T2加权成像(T2-weighted imaging, T2WI),磁敏感加权成像(susceptibility-weighted imaging, SWI)及扩散张量成像(diffusion tensor imaging, DTI)。基于DTI数据定量分析7个感兴趣区(region of interest, ROI)的各向异性分数(fractional anisotropy, FA)、平均扩散系数(mean diffusivity, MD)、轴向扩散系数(axial diffusivity, AD)和径向扩散系数(radial diffusivity, RD)值。通过蛋白质印迹(Western blot, WB)、实时荧光定量逆转录聚合酶链反应(quantitative real-time polymerase chain reaction, qRT-PCR)及免疫组织化学(immunohistochemistry, IHC)检测急性期神经炎症反应。采用爬杆实验评估远期运动功能。结果 DTI分析显示,GMH组多个脑区FA值显著降低,MD及RD值升高,表明白质完整性受损。其中,纹状体FA值在术后1 d即低于对照组(P<0.001),并持续至30 d(P=0.004),伴MD和RD值升高(P<0.05);海马FA值自术后3 d起低于对照组(P<0.05),并持续至30 d(P<0.05),伴MD、AD和RD值升高(P<0.05)。至术后30 d,GMH组损伤侧所有7个ROI的FA值均低于对侧(P<0.05),表明白质损伤具有明确的偏侧性分布。分子生物学检测发现GMH后急性期促炎因子IL-6、IL-1β和TNF-α表达显著上调(P<0.001),小胶质细胞与星形胶质细胞明显活化。行为学测试表明GMH组大鼠爬杆时间延长(P<0.05),提示白质结构损伤与运动功能障碍密切相关。结论 DTI能够灵敏捕捉GMH后白质微观结构的动态演变特征,该结构性改变与急性神经炎症反应及远期运动功能障碍相关。本研究为深入理解GMH病理进程提供了重要的影像学依据。
[Abstract] Objective To investigate the spatiotemporal progression of white matter injury following germinal matrix hemorrhage (GMH) using multimodal magnetic resonance imaging (MRI), and to explore the neuroinflammatory response and motor function outcomes.Materials and Methods A total of 38 postnatal day 5 Sprague-Dawley rats were randomly assigned to either a GMH group (induced by collagenase injection) or a sham-operated control group. Longitudinal MRI scans, including T2-weighted imaging (T2WI), susceptibility-weighted imaging (SWI), and diffusion tensor imaging (DTI), were performed at 12 hours, and 1, 3, 5, and 30 days post-surgery. Quantitative analysis of DTI parameters, fractional anisotropy (FA), mean diffusivity (MD), axial diffusivity (AD), and radial diffusivity (RD), was conducted in 7 regions of interest (ROI): the striatum, hippocampus, internal capsule, external capsule, corpus callosum, motor cortex, and somatosensory cortex. Acute neuroinflammation was assessed via Western blot (WB), quantitative real-time polymerase chain reaction (qRT-PCR), and immunohistochemistry (IHC). Long-term motor function was evaluated using the pole test.Results DTI analysis revealed significantly decreased FA values accompanied by increased MD and RD values in multiple brain regions in the GMH group, indicating compromised white matter integrity. FA values in the striatum declined significantly from 1 day post-GMH onward (P < 0.001), and this decrease was sustained through 30 days (P = 0.004), along with elevated MD and RD values (P < 0.05). In the hippocampus, FA values began to decline at 3 days post-GMH compared with controls (P < 0.05) and remained lower until 30 days (P < 0.05), with concurrent elevations in MD, AD, and RD (P < 0.05). By 30 days post-GMH, FA values in all seven ROIs on the injured side were significantly lower than those on the contralateral side (P < 0.05), indicating clear lateralization of white matter injury. Molecular analyses showed a significant upregulation of pro-inflammatory cytokines (IL-6, IL-1β, TNF-α; P < 0.001) and marked activation of both microglia and astrocytes during the acute phase post-GMH. Behavioral testing showed a significantly prolonged descent time in the pole test for the GMH group (P < 0.05), demonstrating a correlation between white matter structural damage and motor dysfunction.Conclusions DTI sensitively captures dynamic microstructural alterations in white matter following GMH. These structural alterations are significantly associated with neuroinflammatory responses and long-term motor deficits. Our findings provide crucial imaging evidence for understanding the underlying mechanisms of GMH pathology.
[关键词] 生发基质出血;扩散张量成像;磁共振成像;新生大鼠;白质损伤;神经炎症
[Keywords] germinal matrix hemorrhage;diffusion tensor imaging;magnetic resonance imaging;neonatal rats;white matter injury;neuroinflammation

郭辰茜 1, 2, 3   秦池 1, 3   张小安 1, 3   苗晨旭 1, 3   李梦然 2   刘凌越 1, 3   张鹏华 1, 3   杨金泽 1, 3   赵鑫 1, 2, 3*  

1 郑州大学第三附属医院影像科,郑州 450052

2 天健先进生物医学实验室/郑州大学生物医药高等研究院,郑州 450000

3 郑州大学第三附属医院临床研究与转化医学部,河南省神经医学影像国际联合实验室,郑州 450052

通信作者:赵鑫,E-mail: zdsfyzx@zzu.edu.cn

作者贡献声明::赵鑫设计本研究的方案,对稿件重要内容进行了修改;郭辰茜起草和撰写稿件,获取、分析和解释本研究的数据;秦池、张小安、苗晨旭、李梦然、刘凌越、张鹏华、杨金泽获取、分析或解释本研究的数据,对稿件的重要内容进行了修改。赵鑫获得了国家自然科学基金项目(编号:82472046)资助;张小安获得了国家自然科学基金项目(编号:82371929)资助;全体作者都同意发表最后的修改稿,同意对本研究的所有方面负责,确保本研究的准确性和诚信。


基金项目: 国家自然科学基金项目 82472046,82371929
收稿日期:2025-12-01
接受日期:2026-03-09
中图分类号:R445.2  R-332 
文献标识码:A
DOI: 10.12015/issn.1674-8034.2026.03.010
本文引用格式:郭辰茜, 秦池, 张小安, 等. 新生大鼠生发基质出血后白质损伤的动态演变:一项基于扩散张量成像的纵向研究[J]. 磁共振成像, 2026, 17(3): 68-77. DOI:10.12015/issn.1674-8034.2026.03.010.

0 引言

       生发基质出血(germinal matrix hemorrhage, GMH)是早产儿中常见的严重颅内出血类型,起源于脑室周围未成熟的生发基质区[1]。该区域作为神经干细胞和胶质前体细胞的主要储备区,其损伤不仅破坏大脑发育的细胞基础[1],还可引发一系列复杂的继发性病理过程,神经炎症级联反应介导神经炎症细胞激活及炎症因子释放[2],最终导致出血性脑积水(posthemorrhagic hydrocephalus, PHH)、脑性瘫痪、认知功能障碍和学习障碍等神经发育后遗症[2, 3]。据统计,我国每年约有20万名胎龄小于32周的超早产儿出生,其中重度生发基质-脑室内出血(germinalmatrix-intraventricular hemorrhage, GM-IVH)或脑室周围白质软化的整体发病率为10.4%[4];在胎龄小于28周的极早产儿中,该比例进一步升至13.7%[5]。目前临床尚缺乏能够有效阻断GMH病理进程的特异性治疗策略,因此,深入探究GMH后的脑损伤动态演变过程,对揭示其病理机制及探寻治疗靶点具有重要意义[6, 7]

       磁共振成像(magnetic resonance imaging, MRI)是评估新生儿脑损伤及其预后的重要手段[8]。常规MRI序列,如T2加权成像(T2-weighted imaging, T2WI)和磁敏感加权成像(susceptibility-weighted imaging, SWI),可有效地识别出血部位、范围以及脑室形态变化[9, 10],但对白质纤维的完整性与结构性变化的敏感度有限。扩散张量成像(diffusion tensor imaging, DTI)作为一种无创的先进MRI技术,能灵敏检测轴索损伤、髓鞘脱失及细胞毒性水肿等微观结构改变[11, 12, 13]。通过分析各向异性分数(fractional anisotropy, FA)、平均扩散系数(mean diffusivity, MD)、轴向扩散系数(axial diffusivity, AD)和径向扩散系数(radial diffusivity, RD)等关键DTI参数,可定量评估水分子扩散特性及白质纤维完整性[14, 15]。尽管DTI已广泛应用于缺氧缺血性脑病(hypoxic-ischemic encephalopathy, HIE)等模型[16],但在GMH模型中,对脑白质损伤系统性、纵向的DTI评估研究尚不充分。

       动物模型是研究GMH病理生理的有效方法。通过立体定向注射胶原酶诱导的GMH模型,能可靠模拟临床新生儿的脑出血病理过程[17]。然而,现有研究多基于该模型进行横断面观察,缺乏对GMH后脑白质损伤从急性期到慢性期的纵向追踪。鉴于此,本研究利用新生5日龄大鼠构建GMH模型,整合多模态MRI并重点应用纵向DTI,并结合病理与分子生物学技术,系统揭示新生大鼠GMH后脑白质损伤的动态演变规律,为临床早期诊断和评估提供影像学依据。

1 材料与方法

1.1 实验动物

       选择5日龄SP级Sprague-Dawley(SD)大鼠38只,体质量9~12 g(北京维通利华实验动物技术有限公司)。所有大鼠雌雄各半,在此基础上随机分为GMH组(n=22)与对照组(n=16),雌雄各半。GMH模型构建过程中共排除死亡及建模后未见明显出血的大鼠2只。实验设计结合纵向影像与终点分析(图1)。

       为比较序列敏感性,成功建模的GMH组大鼠(n=20)均被纳入建模后12 h及1 d的T2WI及SWI扫描分析。其中,随机数字表法选取10只GMH大鼠及10只对照大鼠,于术后12 h、1、3、5及30 d进行纵向DTI扫描,并于术后34 d进行爬杆实验。未进行纵向DTI扫描的GMH组10只大鼠及对照组6只大鼠于术后1 d处死,用于终点分析。所有大鼠饲养于12 h光暗循环,温度控制在(22±2)℃,相对湿度维持在55%~65%,自由获取食物和水。本研究的样本量设计遵循3R原则(减少、优化、替代),并参考领域内及本课题组既往基础实验研究的标准方案[16, 18]。所有实验程序均经郑州大学第三附属医院动物护理机构与使用委员会批准(批件编号:2023-300-01)。

图1  实验动物分配与使用流程图。GMH:生发基质出血;T2WI:T2加权成像;SWI:磁敏感加权成像;DTI:扩散张量成像。
Fig. 1  Flowchart of experimental animal allocation and usage. GMH: germinal matrix hemorrhage; T2WI: T2-weighted imaging; SWI: susceptibility-weighted imaging; DTI: diffusion tensor imaging.

1.2 动物模型制备

       GMH组大鼠用异氟烷(RWD,深圳)麻醉(诱导浓度3.5%,维持浓度1.5%~2.0%)后固定于脑立体定位仪(68803,RWD,深圳),调整头位使前囟、后囟处于同一水平面。沿失状缝作约5 mm的正中切口,钝性分离皮下组织暴露前囟。采用28号针头连接25 μL Hamilton微量注射器(65460-10,Hamilton,瑞士),吸取0.3 U溶于2 μL无菌生理盐水的Ⅶ型胶原酶(Sigma-Aldrich,美国),固定于微量注射泵。以前囟为原点,定位坐标为前囟后1.0 mm,中线右侧4.0 mm处,钻孔后垂直进针至深度3.4 mm。以1 μL/min速度缓慢注射。为防止倒流,注射完毕后留针5 min,然后缓慢退针。术后将幼鼠放置于37 ℃保温垫恢复,苏醒后送回母鼠笼。对照组除注射等量生理盐水外,其余操作同GMH组。

1.3 大鼠磁共振成像

1.3.1 图像采集

       于GMH建模后12 h及1 d取GMH雌雄大鼠共20只进行T2WI、SWI扫描。同时在上述GMH大鼠中,采用随机数字表法,在GMH后12 h、1、3、5及30 d分别取雌鼠和雄鼠各5只(即雌雄大鼠共10只)进行DTI扫描,设相同数量对照组大鼠。所有成像均在4.7 T小动物磁共振系统(MR Solutions,英国)上完成。扫描序列:T2WI(TR 4000 ms,TE 51 ms,层厚1.0 mm,无间隔,FOV 25 mm× 25 mm,矩阵256×238),总扫描时间7 min;SWI(TR 800 ms,TE 10 ms,层厚1.0 mm,无间隔,FOV 20 mm×20 mm,矩阵280×210),总扫描时间8 min 24 s;DTI(1个b0和66个方向b=1000 s/mm2,TR 5000 ms,TE 27 ms,层厚1.0 mm,无间隔,矩阵100×70,重构矩阵128×128,接收器带宽200 kHz,δ=5 ms,△=13 ms,平均值=1),总扫描时间22 min 40 s。扫描前大鼠均经异氟烷麻醉机麻醉(诱导浓度3.5%,维持浓度2%)。

1.3.2 MRI图像处理及参数计算

       标准化采集T2WI和SWI图像后,导出为DICOM格式。随后采用ITK-SNAP(v2019),在GMH后12 h分别基于T2WI和SWI量化病灶体积。

       DTI数据导出为Nifiti格式,使用DSI Studio(v2021)导入未加权的b0图像,将每个扩散梯度方向的图像与之配准,然后按照软件内置流程进行涡流电流校正,最后利用软件内置的脑提取算法,基于校正后的b0图像生成脑组织二值掩膜,获得基于线性最小二乘法拟合体素级的DTI模型。处理完成后首先在术后1 d对双侧纹状体区白质纤维进行三维重建,以评估其结构完整性。所有大脑感兴趣区(region of interest, ROI)的勾画均在预处理后的原始DTI空间进行,以保留个体因脑水肿、萎缩或占位效应导致的解剖结构变形。

       ROI的界定严格按照The Rat Brain in Stereotaxic Coordinates[19]图谱,由两名具有5年影像诊断经验的放射科副主任医师独立勾画,随后由一名具有10年影像诊断经验的放射科主任医师进行确认。勾画过程需同步打开同一大鼠的FA图、MD图、AD图、RD图以及同次扫描的T2WI图像。T2WI提供清晰的脑室、皮层沟回及血肿、水肿边界,用于辅助辨识因GMH而变形的解剖结构。对于边界在影像上定位较模糊的皮层区域,采用基于图谱坐标的几何定义法进行勾画。以皮层表面和胼胝体为上下界参照图谱:初级运动皮层(primary motor cortex, M1)定位于Bregma -0.3~2.7 mm范围内,中线外侧1.5~3.5 mm的皮层区域;初级体感皮层(primary somatosensory cortex, S1)定位于Bregma -1.8~0.2 mm范围内,中线外侧2.0~4.5 mm的皮层区域。所有ROI的DTI参数由两名副主任医师分别重复测量3次,使用类间相关系数(intra-class correlation coefficient, ICC)进行一致性测试。

1.4 组织学染色

       于GMH后1 d随机选取GMH组及对照组完成MRI扫描的大鼠各3只,深度麻醉后依次经心脏灌注5% PBS(Servicebio,武汉)和4%多聚甲醛(Biosharp,安徽)固定,取全脑置于4%多聚甲醛固定24 h,随后以30%的蔗糖溶液脱水至脑组织完全沉底,PBS清洗后,OTC包埋,液氮速冻,-80℃超低温冰箱保存。复温后使用Leica CM1950冰冻切片机(Leica,德国)制备25 μm纹状体层面冠状切片,分别进行尼氏染色、TUNEL染色及免疫组织化学检测。

1.4.1 尼氏染色

       将切片室温复温干燥后,在37 ℃恒温箱中,尼氏染色液(Beyotime,上海)染色30 min。染色后用蒸馏水轻轻漂洗,随后在95%乙醇中进行分色,镜下控制至尼氏体清晰、背景透明为止。最后依次经过100%乙醇脱水、二甲苯透明,最后用中性树胶封片后镜检。

1.4.2 TUNEL染色

       切片在室温下经4%多聚甲醛固定1 h后用PBS清洗3次。按照试剂盒说明书配制TUNEL反应液(Beyotime,上海),每张切片滴加50 μL反应液以完全覆盖脑组织,置于湿盒中,37 ℃避光孵育60 min。DAPI(Solarbio,北京)染色5 min,抗荧光淬灭封片剂(Servicebio,武汉)封片后镜检。

1.4.3 免疫组织化学检测

       切片经PBS冲洗后,10%驴血清溶液(Servicebio,武汉)室温封闭1 h。随后与一抗Iba1(1∶200,Abcam,美国)或GFAP(1∶300,Abcam,美国)4 ℃孵育过夜。次日复温,PBS清洗3次,然后用相应的荧光二抗(1∶5000,Abcom,美国)室温避光孵育2 h,DAPI染色5 min,抗荧光淬灭封片剂封片后镜检。

1.5 蛋白免疫印迹

       GMH后1 d随机选取GMH组及对照组大鼠各3只,深度麻醉后经心脏灌注5%PBS,取右侧纹状体组织称重后平均分为两份,一份进行蛋白免疫印迹(Western blot, WB)检测,另一份用于qRT-PCR检测。对于WB检测的脑组织,使用RIPA裂解液提取总蛋白,BCA法测定蛋白浓度,取10 μg样品进行SDS-PAGE电泳分离,然后转移至PVDF膜。膜与以下一抗在4 ℃孵育过夜:IL-6(1∶1000,proteintech,武汉),IL-1β(1∶1000,Immunoway,美国),TNF-α(1∶1000,Immunoway,美国),GAPDH(1∶5000,proteintech,武汉)。随后与HRP标记的山羊抗兔二抗(1∶1000,proteintech,武汉)室温孵育1 h。ECL化学发光试剂显影,Tanon-5200化学发光成像系统采集图像。

1.6 实时荧光定量逆转录聚合酶链反应

       于GMH后1 d,取一分为二的剩余右侧纹状体组织,使用RNA提取试剂盒(Vazyme,南京)从纹状体中提取总RNA。按照Vazyme制造商的说明进行实时荧光定量逆转录聚合酶链反应(quantitative real-time polymerase chain reaction, qRT-PCR)实验。阈值循环数(cycle threshold, Ct)代表荧光超过固定阈值的循环数。通过2-ΔΔCt方法计算相对mRNA表达水平,以β-actin为内参基因进行标准化。所使用的引物序列(Tsingke,北京)见表1

表1  qRT-PCR引物序列
Tab. 1  Primer sequences for qRT-PCR

1.7 爬杆实验

       GMH后第31天,将已完成MRI扫描的对照组与GMH组各10只大鼠进行爬杆测试。实验采用一根直径4 cm、长50 cm的表面粗糙的垂直木杆,杆顶固定一个直径20 cm的圆形平台,杆底周围铺设柔软垫料以防大鼠跌落受伤。正式测试前,进行连续3天的适应性训练,每日训练3次,引导大鼠从杆顶平台自主完成转身并迅速爬至杆底。于GMH后第34 d进行正式测试,记录其从开始下爬至双前爪接触杆底的总时间。每只大鼠测试3次,每次间隔不少于10 min,取平均值进行统计分析。所有行为学实验均由不知晓分组情况的实验人员执行。

1.8 统计学分析

       采用IBM SPSS Statistics version 27.0软件进行统计学分析处理。采用Shapiro-Wilk检验对数据进行正态性检验。符合正态分布的连续变量以x¯±s表示,两组间比较采用独立样本t检验。对损伤周边四个脑区(纹状体、海马、内囊与外囊)的DTI参数(FA、MD、AD、RD)进行重复测量方差分析,以检验时间效应、GMH效应及其交互效应。P<0.05为差异有统计学意义。

2 结果

2.1 新生大鼠GMH模型的多模态MRI特征

       所有成功建模的大鼠在34 d观察期内均存活。术后12 h,20只GMH组新生大鼠T2WI及SWI均显示纹状体区形成边界清晰的低信号血肿。至术后1 d,血肿中心在T2WI出现片状高信号,而SWI上血肿边缘显示模糊(图2A)。术后12 h对血肿体积量化的结果显示,SWI测得的出血体积显著大于T2WI(t=2.085,P=0.044)(图2B),两名医师组内ICC分别为0.921、0.926,组间ICC为0.903,提示SWI检测急性出血的敏感性更高。

       白质纤维束三维重建显示,对照组大鼠双侧白质纤维束走行自然、连续且对称,结构完整;GMH组大鼠损伤侧(右侧)纹状体区纤维束出现部分缺失(箭头示)(图2C)。大脑的7个ROI见图2D。纵向MRI追踪发现,血肿区在T2WI上早期呈低信号,随后逐渐演变为高信号,并逐渐突破侧脑室,至GMH后30 d呈均匀高信号。DTI参数中,MD、AD与RD图显示出与T2WI相似的信号演变趋势,而FA图与方向编码彩色图(directionally encoded colormap, DEC)提示损伤侧纹状体区白质纤维方向性紊乱(图2E)。

图2  GMH后早期影像学特征、ROI定位及损伤演变。2A:GMH后12 h及1 d冠状位T2WI及SWI图像示血肿信号演变。2B:GMH后12 h基于T2WI与SWI测量的病灶体积统计(n=20)。2C:GMH后1 d纹状体区白质纤维束三维重建示意图。2D:代表性大脑ROI示意图。2E:GMH后不同时间点T2WI与DTI参数FA、MD、AD、RD和DEC的图像变化趋势。*:P<0.05。GMH:生发基质出血;ROI:感兴趣区;T2WI:T2加权成像;SWI:磁敏感加权成像;DTI:扩散张量成像;FA:各向异性分数;MD:平均扩散率;AD:轴向扩散率;RD:径向扩散率;DEC:方向编码彩色图。
Fig. 2  Early imaging features, ROI localization, and injury evolution following GMH. 2A: Coronal T2WI and SWI at 12 h and 1 d post-GMH, showing signal evolution of the hematoma. 2B: Quantitative lesion volumes measured from T2WI and SWI at 12 h post-GMH (n = 20). 2C: Representative three-dimensional reconstruction of white matter tracts in the striatal region at 1 d post-GMH. 2D: Schematic diagram of representative brain ROI. 2E: Serial images of T2WI and DTI metrics, FA, MD, AD, RD, and DEC, across different time points post-GMH. *: P < 0.05. ROI: region of interest; GMH: germinal matrix hemorrhage; T2WI: T2-weighted imaging; SWI: susceptibility-weighted imaging; DTI: diffusion tensor imaging; FA: fractional anisotropy; MD: mean diffusivity; AD: axial diffusivity; RD: radial diffusivity; DEC: directionally encoded colormap.

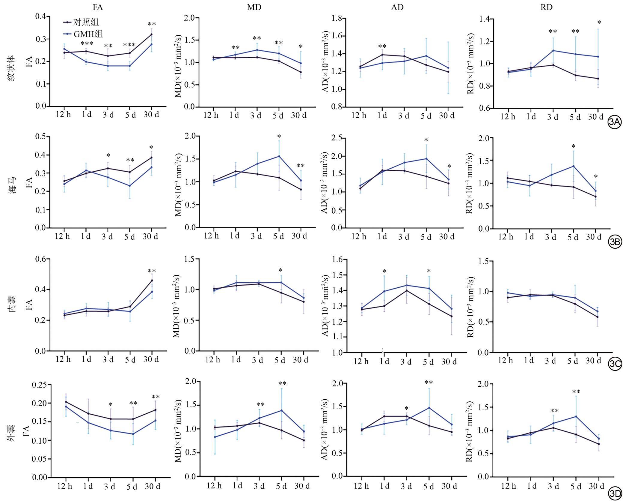
2.2 GMH诱导新生大鼠损伤中心及邻近脑区白质DTI参数的时序变化

       所有ROI的DTI参数测量一致性良好(表2)。重复测量方差分析结果显示,在纹状体区域,FA、MD与RD值表现出显著的时间效应(P<0.001)、GMH效应(P<0.001)和时间*GMH交互效应(FA:P<0.001;MD:P<0.001;RD:P=0.004),AD值表现出显著的时间效应(P=0.004)。详细统计量见表3

       GMH组大鼠纹状体FA值在术后1 d显著低于对照组(t=-8.847,P<0.001),并持续至30 d(t=-3.290,P=0.004),伴MD和RD值升高(MD:t=2.151,P=0.045;RD:t=2.372,P=0.029)(图3A)。在海马区域,GMH组FA值自术后3 d下降(t=-2.802,P=0.012),持续至30 d(t=-2.668,P=0.016),伴MD、AD和RD值的升高(MD:t=2.961,P=0.008;AD:t=2.262,P=0.036;RD:t=2.114,P=0.045)(图3B)。术后30 d,GMH组内囊FA值显著低于对照组(t=3.784,P=0.001)(图3C);而外囊FA值在术后3 d开始降低(t=-2.558,P=0.020),伴MD、AD及RD值升高(MD:t=3.019,P=0.007;AD:t=2.745,P=0.013;RD:t=3.025,P=0.007)(图3D)。

图3  损伤核心及邻近脑区白质DTI参数的动态演变。于GMH后12 h、1、3、5及30 d,分别检测双侧纹状体(3A)、海马(3B)、内囊(3C)、外囊(3D)四个脑区的FA、MD、AD和RD数值(n = 10)。*:P<0.05;**:P<0.01;***:P<0.001。DTI:扩散张量成像;GMH:生发基质出血;FA:各向异性分数;MD:平均扩散率;AD:轴向扩散率;RD:径向扩散率。
Fig. 3  Dynamic evolution of DTI metrics in white matter of the injury core and adjacent regions. Quantitative measurements of FA, MD, AD, and RD in the bilateral striatum (3A), hippocampus (3B), internal capsule (3C), and external capsule (3D) are performed at 12 h, 1, 3, 5, and 30 d post-GMH (n = 10). *: P < 0.05; **: P < 0.01; ***: P < 0.001. GMH: germinal matrix hemorrhage; DTI: diffusion tensor imaging; FA: fractional anisotropy; MD: mean diffusivity; AD: axial diffusivity; RD: radial diffusivity.
表2  各DTI参数的测量者内及测量者间一致性
Tab. 2  Intra- and inter-rater reliability of DTI metrics
表3  各组大鼠损伤核心及邻近白质区DTI参数重复测量方差分析结果
Tab. 3  Results of repeated-measures ANOVA for DTI metrics in core and peri-injury white matter regions across groups

2.3 GMH诱导新生大鼠损伤远隔脑区白质DTI参数的时序变化

       在胼胝体区域,GMH组FA值自术后5 d开始显著下降(t=-5.103,P<0.001),并持续至30 d(t=-2.902,P=0.010),同时该区域的MD、AD及RD值自5 d起升高(MD:t=3.840,P=0.001;AD:t=3.467,P=0.003;RD:t=3.994,P<0.001)(图4A)。在运动皮层及体感皮层区域,GMH后30 d均表现为FA值降低(运动皮层:t=-4.507,P<0.001;体感皮层:t=-2.575,P=0.019),伴MD、AD和RD值升高(P均<0.05)(图4B~4C)。此外,所有动物在术后5 d至30 d均表现出FA值的整体上升趋势(图3图4)。

图4  损伤远隔脑区白质DTI参数的动态演变。于GMH后12 h、1、3、5及30 d,分别检测双侧胼胝体(4A)、运动皮层(4B)、体感皮层(4C)三个脑区的FA、MD、AD和RD数值(n = 10)。*:P<0.05,**;P<0.01;***:P<0.001。DTI:扩散张量成像;GMH:生发基质出血;FA:各向异性分数;MD:平均扩散率;AD:轴向扩散率;RD:径向扩散率。
Fig. 4  Dynamic evolution of white matter DTI metrics in remote brain regions. Quantitative measurements of FA, MD, AD, and RD in the bilateral corpus callosum (4A), motor cortex (4B), and somatosensory cortex (4C) are performed at 12 h, 1 d, 3 d, 5 d, and 30 d post-GMH (n = 10). *: P < 0.05; **: P < 0.01; ***: P < 0.001. DTI: diffusion tensor imaging; GMH: germinal matrix hemorrhage; FA: fractional anisotropy; MD: mean diffusivity; AD: axial diffusivity; RD: radial diffusivity.

2.4 GMH后远期白质结构的不对称性及运动功能障碍

       术后30 d的T2WI显示,GMH组出现典型的PHH特征,表现为损伤侧(右侧)侧脑室明显扩张,严重者伴有同侧皮层萎缩及中线结构偏移(箭头示)(图5A)。DTI分析显示,GMH组损伤侧所有7个ROI的FA值均低于对侧(纹状体:t=-4.304,P<0.001;海马:t=-3.699,P=0.002;内囊:t=-7.159,P<0.001;外囊:t=-4.071,P<0.001;胼胝体:t=-4.383,P<0.001;运动皮层:t=-2.139,P=0.046;体感皮层:t=-2.601,P=0.018)(图5B~5H)。

       术后34 d进行的爬杆实验结果显示,GMH组大鼠完成测试的时间长于对照组(t=2.322,P=0.032)(图5I~5J)。

图5  GMH远期白质结构偏侧性改变与运动功能。5A:GMH后30 d,代表性T2WI示损伤侧脑室扩张。5B~5H:同期GMH大鼠左侧与右侧纹状体(5B)、海马(5C)、内囊(5D)、外囊(5E)、胼胝体(5F)、运动皮层(5G)及体感皮层(5H)七个脑区的FA、MD、AD和RD数值的差异(n=10)。5I:爬杆实验示意图。5J:GMH组大鼠爬杆耗时较对照组延长(n=10)。*:P<0.05;**:P<0.01;***:P<0.001。GMH:生发基质出血;T2WI:T2加权成像;FA:各向异性分数;MD:平均扩散率;AD:轴向扩散率;RD:径向扩散率。
Fig. 5  Lateralized changes in white matter structure and motor function following GMH. 5A: Representative T2WI at 30 d post-GMH, showing ipsilateral ventricular dilation. 5B to 5H: Comparison of FA, MD, AD, and RD values between the left and right sides of seven bilateral regions—striatum (5B), hippocampus (5C), internal capsule (5D), external capsule (5E), corpus callosum (5F), motor cortex (5G), and somatosensory cortex (5H)—in the GMH group at the same time point( n = 10). 5I: Schematic diagram of the pole test. 5J: Rats in the GMH group took longer to complete the pole test than those in the control group (n = 10). *: P < 0.05; **: P < 0.01; ***: P < 0.001. GMH: germinal matrix hemorrhage; T2WI: T2-weighted imaging; FA: fractional anisotropy; MD: mean diffusivity; AD: axial diffusivity; RD: radial diffusivity.

2.5 新生大鼠GMH后急性期神经炎症反应与神经元损伤

       术后1 d的WB及qRT-PCR结果显示,GMH组纹状体中促炎细胞因子IL-6、IL-1β和TNF-α的蛋白及mRNA水平的表达均上调(IL-6:t=11.026,P<0.001;IL-1β:P=10.785,P<0.001;TNF-α:t=9.631,P<0.001)(图6A~6B)。尼氏染色显示对照组纹状体神经元排列紧密、形态完整,胞核清晰,尼氏体丰富;而GMH组血肿周围区域神经元排列松散紊乱,细胞轮廓模糊,尼氏体溶解(图6C)。TUNEL染色表明GMH组TUNEL阳性细胞数量明显增多(图6D)。免疫荧光染色显示GMH组Iba1(小胶质细胞标志物)与GFAP(星形胶质细胞标志物)的荧光强度均较对照组增强(图6E~6F)。

图6  新生大鼠GMH后1 d诱导神经炎症和细胞凋亡。6A:纹状体炎症因子IL-6、IL-1β和TNF-α的代表性WB条带。6B:IL-6、IL-1β和TNF-αmRNA表达的定量分析。数值以β-actin为内参进行标准化(n=3)。6C:对照组与GMH组纹状体尼氏染色代表图(比例尺:50 μm)(n=3)。6D:纹状体区域TUNEL(红色)和DAPI(蓝色)的代表性荧光染色(比例尺:50 μm)(n=3)。6E:纹状体DAPI(蓝色)和Iba1(红色)的代表性荧光染色(比例尺:100 μm)(n=3)。6F:纹状体中DAPI(蓝色)和GFAP(绿色)的代表性荧光染色(比例尺:100 μm)(n=3)。***:P<0.001。GMH:生发基质出血;IL-6:白细胞介素-6;IL-1β:白细胞介素-1β;TNF-α:肿瘤坏死因子-α;WB:蛋白免疫印迹;mRNA:信使RNA;β-actin:β-肌动蛋白;TUNEL:末端脱氧核苷酸转移酶dUTP缺口末端标记法;DAPI:4',6-二脒基-2-苯基吲哚;Iba1:离子钙结合衔接分子1;GFAP:胶质纤维酸性蛋白。
Fig. 6  GMH-induced neuroinflammation and apoptosis at 1 d post-GMH in neonatal rats. 6A: Representative Western blots of striatal inflammatory factors IL-6, IL-1β and TNF-α. 6B: Quantitative analysis of IL-6, IL-1β, and TNF-α mRNA levels. Values were normalized to β-actin(n = 3). 6C: Representative micrographs of Nissl staining in the striatum of control and GMH groups (scale bar: 50 μm) (n = 3). 6D: Representative fluorescence staining of TUNEL (red) and DAPI (blue) in the striatum (scale bar: 50 μm) (n = 3). 6E: Representative fluorescence staining of DAPI (blue) and Iba1 (red) in the striatum (scale bar: 100 μm) (n = 3). 6F: Representative fluorescence staining of DAPI (blue) and GFAP (green) in the striatum (scale bar: 100 μm) (n = 3). ***: P < 0.001. GMH: germinal matrix hemorrhage; IL-6: interleukin-6; IL-1β: interleukin-1 beta; TNF-α: tumor necrosis factor-alpha; WB: Western blot; β-actin: beta-actin; TUNEL: terminal deoxynucleotidyl transferase dUTP nick-end labeling; DAPI: 4′, 6-diamidino-2-phenylindole; Iba1: ionized calcium-binding adapter molecule 1; GFAP: glial fibrillary acidic protein.

3 讨论

       本研究通过构建新生大鼠GMH模型,结合多模态MRI,系统揭示了GMH后脑损伤的动态演变规律。结果显示,SWI在检测急性期出血方面较T2WI更敏感;DTI能精准捕捉损伤周边白质微观结构的持续性、进行性改变。此外,研究发现GMH可导致远期白质结构不对称及运动功能障碍。分子生物学证据进一步表明,GMH急性期可激活神经炎症反应,最终引发神经元损伤。这些发现为深入理解GMH的病理生理进程提供了重要的影像学与病理学依据。

3.1 多模态MRI在评估新生大鼠GMH后脑损伤中的价值

       早期准确评估GMH后继发性脑损伤是早产儿神经发育研究中的重大挑战。传统影像学方法虽能识别宏观出血与脑室扩张,但对早期微出血灶及白质微观结构变化的检测能力有限,难以完整揭示GMH的病理进程[20]。本研究选用出生后5 d的大鼠幼崽作为实验对象,该发育阶段在皮质发育特征上与人类妊娠26~32周的新生儿具有可比性[21]。MRI具备无创、可重复观察的优势,能对脑损伤实现精确的时空定位分析。然而,目前在GMH临床前模型中使用MRI评估脑出血及其后脑损伤的研究尚不足[22]

       SWI基于血氧水平依赖效应,对脱氧血红蛋白等顺磁性物质具有独特敏感性,可清晰显示常规序列难以检测的微小静脉和点状出血[23]。本研究发现,在GMH后12 h,SWI测得的出血体积显著大于T2WI,这与新生儿颅内出血的临床研究结论高度吻合[24]。同时,血肿在T2WI随时间逐渐由低信号向高信号的演变,反映了血红蛋白从脱氧血红蛋白向正铁血红蛋白的转化过程[18]。这种具有明确时间规律的影像学演变特征,为无创动态监测颅内血肿转归提供了重要的时间窗口。

       进一步地,本研究系统验证了DTI在揭示新生大鼠GMH后白质微观结构动态损伤进程中的独特价值。DTI通过量化水分子扩散的各向异性,能够灵敏检测出轴索损伤、髓鞘脱失等微观病理变化[25]。纵向追踪显示,在GMH后30 d,当出血趋于慢性期,多个脑区的DTI参数(包括FA、MD、AD及RD)仍呈现持续性异常,表明白质损伤是一个动态进展的过程。同时,本研究发现GMH后5 d至30 d,所有动物的FA值呈现整体上升趋势,这表明GMH诱导微观结构改变的同时,所有动物均伴随着与大脑自然发育相关的白质成熟过程。

       上述发现提示,在临床上对GMH患儿的影像评估也不应局限于急性期出血和慢性期脑积水的诊断,而应建立长期、连续性的影像监测方案,这对全面评估神经发育预后及指导个体化临床干预具有重要价值。

3.2 新生大鼠GMH后白质微观结构改变的时空演变及其病理基础

       通过DTI纵向观测,本研究首次系统揭示了GMH后脑白质微观结构改变具有明确的时空演变规律。在空间上,损伤从血肿核心区(纹状体)向邻近(海马、内囊、外囊)及远隔(胼胝体、感觉运动皮层)脑区扩散;在时间上,不同脑区的微观结构改变呈现出动态演变的规律。FA反映白质纤维结构的整体完整性与方向一致性,是AD与RD的综合体现,MD则反映组织内整体水分子扩散水平[26]。对DTI特异性参数的深入分析,为阐述不同阶段潜在的病理机制提供了关键的影像学依据。

       在GMH后急性期(1 d),损伤中心区(纹状体)的FA值明显下降,伴随MD、AD与RD值的升高。在此时间点,血肿的机械压迫与占位效应可能是损伤纹状体的主要原因[12, 27]。出血导致的急性占位效应及血脑屏障破坏,引发了以细胞外自由水增多为特征的血管源性水肿。此时轴突与髓鞘虽处于受压和紊乱的微环境中,但可能尚未发生广泛的不可逆结构断裂。进入亚急性期(3~5 d),损伤呈现出区域特异性。除纹状体外,胼胝体、海马和外囊也出现FA值下降伴MD、AD、RD值升高,这可能特异性地指向了以少突胶质细胞损伤和髓鞘脱失为核心的病理改变,并与本研究证实的急性期神经炎症反应在机制上相关联。GMH后1 d促炎细胞因子(IL-6,IL-1β和TNF-α)表达显著上调,小胶质细胞和星形胶质细胞被广泛激活。这些炎症介质可破坏血脑屏障、直接损伤少突胶质细胞前体细胞、并抑制髓鞘再生,从而引发并加剧广泛的白质损害[28, 29]。至慢性期(30 d),损伤进一步演进。纹状体、海马、胼胝体表现为FA值持续下降伴MD值升高,这提示白质结构的退行性改变。此外,在皮层区域也观察到了延迟性的FA值下降伴MD、AD、RD值升高,其机制可能包括:(1)PHH的继发影响。既往研究均证实GMH是PHH的重要诱因[30, 31],扩张的脑室不仅压迫周围脑实质,造成其结构性变薄及FA值降低,还可能通过影响脑脊液动力学和间质液引流,间接损害远离血肿的脑区[32, 33]。(2)Wallerian变性。血肿破坏神经元轴突引发的顺向变性,可导致其投射靶区(如皮层下白质通路)发生继发性退化[34]。这也解释了体感运动皮层的损伤在远期才显著显现,并与爬杆实验中的运动功能障碍相对应。

3.3 新生大鼠脑白质结构不对称与运动功能障碍的关联

       本研究发现GMH后30 d,损伤侧(右侧)多个脑区FA值的显著降低,表明白质损伤具有明确的偏侧性。这种偏侧性可能是由原发性和继发性脑损伤在时间和空间上共同作用的结果。

       首先,原发灶的直接机械压迫是偏侧性损伤的始动因素。GMH后血肿对同侧纹状体及邻近的海马、外囊等造成的机械压迫,导致局部细胞毒性水肿与炎症浸润,可能是GMH后早期损伤侧FA值即显著下降的原因。其次,PHH的不对称发展加剧了偏侧性损伤。在GMH后30 d,损伤侧侧脑室明显扩张。这种不对称的PHH对同侧侧脑室旁脑实质产生持续的机械压迫,并可能干扰脑脊液-间质液循环,导致局部的代谢废物清除障碍和慢性缺血,造成远期的偏侧性结构改变。此外,Wallerian变性可能是连接原发灶与远端白质损伤的途径。血肿直接破坏神经元,轴突发生顺向变性,可能沿皮质脊髓束等主要下行通路向同侧内囊、皮层等延伸,导致了双侧大脑半球的发育差异。内囊作为运动传导束集中区域,其完整性受损可直接引发运动控制异常[35, 36]。胼胝体作为连接双侧半球的主要通路,其完整性受损可能影响半球间的信息整合与协调[8]

       在行为学层面,GMH组大鼠爬杆时间的显著延长,为上述结构性损伤导致的功能性障碍提供了直接证据。这一发现与临床观察相符,即GMH幸存患儿常出现运动协调障碍及脑性瘫痪等远期神经功能缺损。

3.4 新生大鼠GMH后急性神经炎症与远期白质损伤的潜在联系

       本研究证实,新生大鼠GMH后急性期(1 d)即出现显著的神经炎症反应。促炎因子在转录水平的显著上调,为炎症反应的持续存在提供了分子基础。活化的小胶质细胞和星形胶质细胞是神经炎症的核心效应细胞,它们释放的炎性因子能够直接损伤神经元。越来越多的证据表明,早期的神经炎症是驱动远期白质损伤和神经发育后遗症的关键环节[37, 38]。因此,针对GMH后早期神经炎症的干预策略,已成为阻断病理进程、改善神经功能远期预后的有效途径。

3.5 局限性

       本研究存在若干局限性。首先,尽管胶原酶诱导的GMH模型被广泛使用且能稳定模拟临床病理过程,但其出血量及炎症反应程度可能较自发性出血更为剧烈,这在一定程度上限制了其与临床病理的完全对等性。其次,DTI虽能灵敏检测白质微观结构的改变,但其特异性有限,FA值的降低难以精确区分轴索损伤、髓鞘脱失或胶质增生等具体病理过程,且急性出血灶产生的磁敏感伪影可能影响邻近区域参数的准确性。未来研究可结合更具特异性的影像技术,以进一步阐释微观结构改变的细胞学基础。第三,本研究采用的手动ROI勾画虽经一致性验证,仍存在主观性;未来采用基于图谱的自动分割方法可能有助于减少偏差。第四,本研究观察到了新生大鼠FA值随发育的自然上升以及GMH诱导的广泛白质微观结构改变,但未能深入探讨其背后具体的分子机制,例如少突胶质细胞谱系分化、髓鞘相关蛋白表达的变化等,这将是未来研究的重要方向。最后,本研究主要关注与运动传导白质通路完整性直接相关的运动协调功能(爬杆实验),未来有必要结合更多行为学测试,以全面揭示GMH的长期神经发育后遗症。

4 结论

       本研究综合利用多模态MRI与分子病理学方法,系统揭示了新生大鼠GMH后脑损伤的动态演变规律。DTI能灵敏地捕捉到大鼠白质纤维完整性的早期损害及其时序性演变,且这种结构性改变与早期神经炎症反应和远期运动功能障碍密切相关。上述发现为深入理解GMH的病理进程提供了重要的影像学依据,提示DTI或可作为评估GMH远期神经预后的有效工具,也为临床早期诊断与干预策略的制定提供了实验依据。

[1]
CHEN J P, CHOI J J, LIN P Y, et al. Pathogenesis of germinal matrix hemorrhage: insights from single-cell transcriptomics[J/OL]. Annu Rev Pathol Mech Dis, 2025, 20: 221-243 [2025-11-30]. DOI: 10.1146/annurev-pathmechdis-111523-023446.
[2]
ATIENZA-NAVARRO I, DEL MARCO A, ALVES-MARTINEZ P, et al. Glycogen synthase kinase-3β inhibitor VP3.15 ameliorates neurogenesis, neuronal loss and cognitive impairment in a model of germinal matrix-intraventricular hemorrhage of the preterm newborn[J]. Transl Stroke Res, 2025, 16(2): 467-483. DOI: 10.1007/s12975-023-01229-2.
[3]
RODRIGUEZ-PEREZ L M, OJEDA-PÉREZ B, LÓPEZ-DE-SAN-SEBASTIÁN J, et al. Design of a stem cell-based therapy for ependymal repair in Hydrocephalus Associated with germinal matrix hemorrhages[J]. Stroke, 2024, 55(4): 1062-1074. DOI: 10.1161/STROKEAHA.123.044677.
[4]
CAO Y, JIANG S Y, SUN J H, et al. Assessment of neonatal intensive care unit practices, morbidity, and mortality among very preterm infants in China[J/OL]. JAMA Netw Open, 2021, 4(8): e2118904 [2025-11-30]. https://pubmed.ncbi.nlm.nih.gov/34338792/. DOI: 10.1001/jamanetworkopen.2021.18904.
[5]
ZHU Z C, YUAN L, WANG J, et al. Mortality and morbidity of infants born extremely preterm at tertiary medical centers in China from 2010 to 2019[J/OL]. JAMA Netw Open, 2021, 4(5): e219382 [2025-11-30]. https://pubmed.ncbi.nlm.nih.gov/33974055/. DOI: 10.1001/jamanetworkopen.2021.9382.
[6]
SONG J, WANG Y, XU F L, et al. Erythropoietin improves poor outcomes in preterm infants with intraventricular hemorrhage[J]. CNS Drugs, 2021, 35(6): 681-690. DOI: 10.1007/s40263-021-00817-w.
[7]
LUO J Q, LUO Y J, ZENG H H, et al. Research advances of germinal matrix hemorrhage: an update review[J]. Cell Mol Neurobiol, 2019, 39(1): 1-10. DOI: 10.1007/s10571-018-0630-5.
[8]
BALLABH P, DE VRIES L S. White matter injury in infants with intraventricular haemorrhage: mechanisms and therapies[J]. Nat Rev Neurol, 2021, 17(4): 199-214. DOI: 10.1038/s41582-020-00447-8.
[9]
JAIN N, KUMAR S, SINGH A, et al. Blood in the brain on susceptibility-weighted imaging[J]. Indian J Radiol Imaging, 2023, 33(1): 89-97. DOI: 10.1055/s-0042-1758880.
[10]
KO J S, CHOI Y, JEONG E S, et al. Automated quantification of cerebral microbleeds in SWI: association with vascular risk factors, white matter hyperintensity burden, and cognitive function[J]. AJNR Am J Neuroradiol, 2025, 46(5): 1007-1015. DOI: 10.3174/ajnr.A8552.
[11]
戚群雅, 陈楠. 磁共振扩散张量成像在脊髓损伤疾病中的研究进展[J]. 磁共振成像, 2023, 14(12): 151-155. DOI: 10.12015/issn.1674-8034.2023.12.027.
QI Q Y, CHEN N. Research progress of diffusion tensor imaging in spinal cord injury[J]. Chin J Magn Reson Imaging, 2023, 14(12): 151-155. DOI: 10.12015/issn.1674-8034.2023.12.027.
[12]
SCHWARZ G, KANBER B, PRADOS F, et al. Whole-brain diffusion tensor imaging predicts 6-month functional outcome in acute intracerebral haemorrhage[J]. J Neurol, 2023, 270(5): 2640-2648. DOI: 10.1007/s00415-023-11592-7.
[13]
TAOKA T, ITO R, NAKAMICHI R, et al. Diffusion tensor image analysis ALong the perivascular space (DTI-ALPS): revisiting the meaning and significance of the method[J]. Magn Reson Med Sci, 2024, 23(3): 268-290. DOI: 10.2463/mrms.rev.2023-0175.
[14]
CHEN W J, DENG S M, LI H, et al. Alterations of white matter microstructure in primary aldosteronism patients with normal cognitive functioning using diffusion tensor imaging[J/OL]. Int J Gen Med, 2025, 18: 1089-1102 [2025-11-30]. https://pubmed.ncbi.nlm.nih.gov/40026812/. DOI: 10.2147/IJGM.S499346.
[15]
YUAN X R, YU Q W, LIU Y Y, et al. Microstructural alterations in white matter and related neurobiology based on the new clinical subtypes of Parkinson's disease[J/OL]. Front Neurosci, 2024, 18: 1439443 [2025-11-30]. https://pubmed.ncbi.nlm.nih.gov/39148522/. DOI: 10.3389/fnins.2024.1439443.
[16]
BAO J, ZHANG X A, ZHAO X. MR imaging and outcome in neonatal HIBD models are correlated with sex: the value of diffusion tensor MR imaging and diffusion kurtosis MR imaging[J/OL]. Front Neurosci, 2023, 17: 1234049 [2025-11-30]. https://pubmed.ncbi.nlm.nih.gov/37790588/. DOI: 10.3389/fnins.2023.1234049.
[17]
JINNAI M, KONING G, SINGH-MALLAH G, et al. A model of germinal matrix hemorrhage in preterm rat pups[J/OL]. Front Cell Neurosci, 2020, 14: 535320 [2025-11-30]. https://pubmed.ncbi.nlm.nih.gov/33343300/. DOI: 10.3389/fncel.2020.535320.
[18]
ZHANG X L, YUAN J, ZHANG S, et al. Germinal matrix hemorrhage induces immune responses, brain injury, and motor impairment in neonatal rats[J]. J Cereb Blood Flow Metab, 2023, 43(2_suppl): 49-65. DOI: 10.1177/0271678X221147091.
[19]
PAXINOS G,WATSON C. The Rat Brain in Stereotaxic Coordinates[M]. Amsterdam, Boston: Elsevier Academic Press, 2014.
[20]
RIORDAN K, BARNESS B, SUMDANI H, et al. Utility of diffusion tensor imaging in preterm infants with germinal matrix hemorrhage and intraventricular hemorrhage: a systematic review[J/OL]. World Neurosurg, 2024, 190: e1038-e1060 [2025-11-30]. https://pubmed.ncbi.nlm.nih.gov/39151695/. DOI: 10.1016/j.wneu.2024.08.056.
[21]
WISNOWSKI J L, WINTERMARK P, BONIFACIO S L, et al. Neuroimaging in the term newborn with neonatal encephalopathy[J/OL]. Semin Fetal Neonatal Med, 2021, 26(5): 101304 [2025-11-30]. https://pubmed.ncbi.nlm.nih.gov/34736808/. DOI: 10.1016/j.siny.2021.101304.
[22]
MISHRA A, CHENG B K, RATHORE A S, et al. Histopathological and functional Characterization of a neonatal mouse model of intraventricular hemorrhage[J/OL]. Neuroscience, 2025, 572: 56-67 [2025-11-30]. https://pubmed.ncbi.nlm.nih.gov/40054597/. DOI: 10.1016/j.neuroscience.2025.03.007.
[23]
罗震, 刘志博, 刘晶哲. MR常规序列联合SWI、DWI在新生儿颅内出血疾病中的诊断价值[J]. 中国CT和MRI杂志, 2022, 20(4): 22-24, 114. DOI: 10.3969/j.issn.1672-5131.2022.04.008.
LUO Z, LIU Z B, LIU J Z. Diagnostic value of MR routine sequences combined with SWI and DWI in intracranial hemorrhage in neonates[J]. Chin J CT MRI, 2022, 20(4): 22-24, 114. DOI: 10.3969/j.issn.1672-5131.2022.04.008.
[24]
LEKIC T, KLEBE D, POBLETE R, et al. Neonatal brain hemorrhage (NBH) of prematurity: translational mechanisms of the vascular-neural network[J]. Curr Med Chem, 2015, 22(10): 1214-1238. DOI: 10.2174/0929867322666150114152421.
[25]
陈贵杰, 杨安强, 陈有林, 等. 应用磁共振弥散张量成像评估高血压性脑出血患者预后不良风险的有效性研究[J]. 中国CT和MRI杂志, 2025, 23(7): 35-38. DOI: 10.3969/j.issn.1672-5131.2025.07.010.
CHEN G J, YANG A Q, CHEN Y L, et al. The effectiveness of magnetic resonance diffusion tensor imaging in evaluating the risk of poor prognosis in patients with hypertensive intracerebral hemorrhage[J]. Chin J CT MRI, 2025, 23(7): 35-38. DOI: 10.3969/j.issn.1672-5131.2025.07.010.
[26]
LEE J, HAN W, KIM H. Diffusion tensor imaging biomarkers for assessing cognitive and physical function in aging[J/OL]. J Neuroeng Rehabil, 2025, 22(1): 157 [2025-11-30]. https://pubmed.ncbi.nlm.nih.gov/40640846/. DOI: 10.1186/s12984-025-01698-6.
[27]
FAN S J, LEE F Y, CHEUNG M M, et al. Bilateral substantia nigra and pyramidal tract changes following experimental intracerebral hemorrhage: an MR diffusion tensor imaging study[J]. NMR Biomed, 2013, 26(9): 1089-1095. DOI: 10.1002/nbm.2922.
[28]
LI P, ZHAO G, DING Y, et al. Rh-IFN-α attenuates neuroinflammation and improves neurological function by inhibiting NF-κB through JAK1-STAT1/TRAF3 pathway in an experimental GMH rat model[J/OL]. Brain Behav Immun, 2019, 79: 174-185 [2025-11-30]. https://pubmed.ncbi.nlm.nih.gov/30711510/. DOI: 10.1016/j.bbi.2019.01.028.
[29]
ALMANSOURI T, WALLER R, WHARTON S B, et al. The microglial transcriptome of age-associated deep subcortical white matter lesions suggests a neuroprotective response to blood-brain barrier dysfunction[J/OL]. Int J Mol Sci, 2024, 25(8): 4445 [2025-11-30]. https://pubmed.ncbi.nlm.nih.gov/38674030/. DOI: 10.3390/ijms25084445.
[30]
ELLENBOGEN J R, WAQAR M, PETTORINI B. Management of post-haemorrhagic Hydrocephalus in premature infants[J/OL]. J Clin Neurosci, 2016, 31: 30-34 [2025-11-30]. https://pubmed.ncbi.nlm.nih.gov/27369088/. DOI: 10.1016/j.jocn.2016.02.026.
[31]
BLEIL C, VITULLI F, MIRZA A B, et al. Ventriculosubgaleal shunts in the management of neonatal post-haemorrhagic Hydrocephalus: technical note[J]. Childs Nerv Syst, 2023, 39(11): 3263-3271. DOI: 10.1007/s00381-023-06125-6.
[32]
LI R, ZENG K H, LIU J S, et al. Choroid plexus enlargement correlates with cognitive impairment and brain atrophy in patients with temporal lobe epilepsy[J/OL]. Neuroscience, 2025, 588: 84-91 [2025-11-30]. https://pubmed.ncbi.nlm.nih.gov/41057131/. DOI: 10.1016/j.neuroscience.2025.09.046.
[33]
CHEN L, LI J, SHI Y, et al. Clinical characteristics and outcomes in neonates with perinatal acute respiratory distress syndrome in China: a national, multicentre, cross-sectional study[J/OL]. EClinicalMedicine, 2023, 55: 101739 [2025-11-30]. https://pubmed.ncbi.nlm.nih.gov/36386029/. DOI: 10.1016/j.eclinm.2022.101739.
[34]
TIAN R Q, ZHOU Y Y, REN Y, et al. Wallerian degeneration: From mechanism to disease to imaging[J/OL]. Heliyon, 2025, 11(1): e40729 [2025-11-30]. https://pubmed.ncbi.nlm.nih.gov/39811315/. DOI: 10.1016/j.heliyon.2024.e40729.
[35]
BROWN J A, LEE A J, FERNHOFF K, et al. Functional network collapse in neurodegenerative disease[J/OL]. Nat Commun, 2025, 16(1): 10273 [2025-11-30]. https://pubmed.ncbi.nlm.nih.gov/41271684/. DOI: 10.1038/s41467-025-65156-6.
[36]
TEO K C, FONG S M, LEUNG W C Y, et al. Location-specific hematoma volume cutoff and clinical outcomes in intracerebral hemorrhage[J]. Stroke, 2023, 54(6): 1548-1557. DOI: 10.1161/STROKEAHA.122.041246.
[37]
XIAO J, CAI T, FANG Y J, et al. Activation of GPR40 attenuates neuroinflammation and improves neurological function via PAK4/CREB/KDM6B pathway in an experimental GMH rat model[J/OL]. J Neuroinflammation, 2021, 18(1): 160 [2025-11-30]. https://pubmed.ncbi.nlm.nih.gov/34275493/. DOI: 10.1186/s12974-021-02209-9.
[38]
LIU S P, DENG S X, DING Y, et al. Secukinumab attenuates neuroinflammation and neurobehavior defect via PKCβ/ERK/NF-κB pathway in a rat model of GMH[J/OL]. Exp Neurol, 2023, 360: 114276 [2025-11-30]. https://pubmed.ncbi.nlm.nih.gov/36402169/. DOI: 10.1016/j.expneurol.2022.114276.

上一篇 血氧水平依赖MRI在评估宫颈鳞癌新辅助化疗治疗反应及预后危险因素中的价值
下一篇 基于多参数MRI的大鼠急性胰腺炎微循环与组织异质性多维表征的前瞻性随机对照动物干预研究
  
诚聘英才 | 广告合作 | 免责声明 | 版权声明
联系电话:010-67113815
京ICP备19028836号-2